Меню
Разработки
Разработки  /  Алгебра  /  Практикумы  /  9 класс  /  Решение неравенств и их систем

Решение неравенств и их систем

Практикум по теме "Неравенства"
16.08.2025

Содержимое разработки

Урок 3 Решение неравенств и их систем

Неравенства с одной переменной



Метод интервалов для решения квадратного неравенства



1

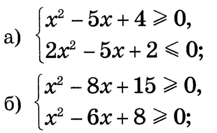
2 Решите систему неравенств

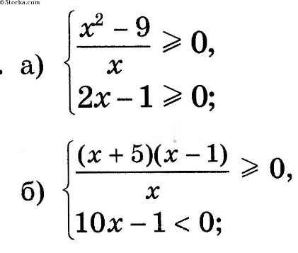
3 Решите систему неравенств



-80%
Курсы повышения квалификации

Организация профилактической работы по ВИЧ-инфекции: формы и методы работы

Продолжительность 72 часа
Документ: Удостоверение о повышении квалификации
4000 руб.
800 руб.
Подробнее
Скачать разработку
Сохранить у себя:
Решение неравенств и их систем (699.86 KB)

Комментарии 0

Чтобы добавить комментарий зарегистрируйтесь или на сайт