Практическая работа
Тема: «Вычисление пределов функции»
Цель: сформировать умение находить пределы функций, использовать замечательные пределы для нахождения пределов.
Теоретические сведения к практической работе.
Число А называют пределом функции f(x) при
(и пишут
), если для любого
найдется число
зависящее от , такое, что для всех
, удовлетворяющих условию
, выполняется неравенство
Теоремы о пределах:
1.
(c=const).
2. Если
то:
Первый замечательный предел:
Второй замечательный предел (число е = 2,718…):
или
Замечательные пределы:
Примеры решения:
Когда дан любой предел, сначала просто пытаемся подставить число в функцию
1)Пределы с неопределенностью вида
и метод их решения
1) деление на х в старшей степени:
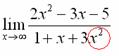
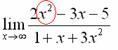
Пример 1:
Сначала мы смотрим на числитель и находим
в старшей степени:
Старшая степень в числителе равна двум.
Теперь смотрим на знаменатель и тоже находим
в старшей степени:
Старшая степень знаменателя равна двум.
Затем мы выбираем самую старшую степень числителя и знаменателя: в данном примере они совпадают и равны двойке.
Итак, метод решения следующий: для того, чтобы раскрыть неопределенность
необходимо разделить числитель и знаменатель на
в старшей степени.
Разделим числитель и знаменатель на
П
ример 2:
Найти предел
Снова в числителе и знаменателе находим
в старшей степени:
Максимальная степень в числителе: 3
Максимальная степень в знаменателе: 4
Выбираем наибольшее значение, в данном случае четверку.
Разделим числитель и знаменатель на
П
ример 3
Найти предел
Разделим числитель и знаменатель на
при раскрытии неопределенности вида
у нас может получиться конечное число, ноль или бесконечность.
2. Пределы с неопределенностью вида
и метод их решения
1) разложение числителя и знаменателя на множители.
Пример 4
Разложим числитель и знаменатель на множители
Для того чтобы разложить числитель на множители, нужно решить квадратное уравнение:
Сначала находим дискриминант:
И квадратный корень из него:
Далее находим корни:
Таким образом:
Всё. Числитель на множители разложен.
Знаменатель. Знаменатель
уже является простейшим множителем, и упростить его никак нельзя.
можно сократить на
:
Теперь и подставляем -1 в выражение, которое осталось под знаком предела:
2) умножение числителя и знаменателя на сопряженное выражение.
П
ример 5
Найти предел
Умножаем числитель и знаменатель на сопряженное выражение:
Применяем вверху формулу
:
Неопределенность
не пропала (попробуйте подставить тройку), да и корни тоже не исчезли. Но с суммой корней всё значительно проще, ее можно превратить в постоянное число. Как это сделать? Да просто подставить тройку под корни:
Число, как уже отмечалось ранее, лучше вынести за значок предела.
Теперь осталось разложить числитель и знаменатель на множители и сократить «виновников» неопределённости, ну а предел константы – равен самой константе:
Решение данного примера в чистовом варианте выглядит так:
Умножим числитель и знаменатель на сопряженное выражение.
3) использование 1-го замечательного предела
П
ример 6
Найти предел
Выражение под знаком предела похоже на первый замечательный предел, но это не совсем он, под синусом находится
, а в знаменателе
.В подобных случаях первый замечательный предел нам нужно организовать самостоятельно, используя искусственный прием. Ход рассуждений может быть таким: «под синусом 7х, значит, в знаменателе тоже нужно получить 7х».
А делается это очень просто:
Пример 7
Найти предел
Пример 8
Найти предел
Пример 9
Найти предел
Пример 10
Найти предел


Вычисление пределов функции (297.9 KB)

