«Угол между прямыми в пространстве, прямой и плоскостью.
Координатный метод».
Учитель высшей категории МБОУ «СОШ №5» Быстрова Нина Николаевна
Урок по теме: «Угол между прямыми в пространстве, прямой и плоскостью. Координатный метод».
Тип урока. Урок обобщение и систематизация знаний, умений и навыков учащихся.
Цель урока:
повторить определение угла между прямыми в пространстве, угла между прямой и плоскостью;
повторить изученный ранее материал, необходимый при решении задач;
рассмотреть решение задач уровня №14;
вырабатывать навыки и умения решения задач на нахождение угла между прямыми в пространстве, угла между прямой и плоскостью, применяя метод координат.
Оборудование: компьютер, проектор, экран
Содержание урока:
Организационный момент. 2 мин.
Повторение теоретического материала. Фронтальная работа с классом по основным понятиям темы. 5 мин.
Обобщение и систематизация изученного. Решение двух задач. 20 мин.
Фронтальная работа с классом по основным понятиям темы.4 мин
Обобщение и систематизация изученного. Решение одной задачи разными методами. 10 мин.
Рефлексия. 1 мин
Итог урока. 1мин
Этап информации о домашнем задании. 2 мин
Ход урока
Организационный момент.
Задание №14 Единого государственного экзамена представляет собой стереометрическую задачу на определение расстояний или углов в пространстве между объектами, связанными с некоторыми многогранниками. (Слайд 1,2)
Сегодня на уроке мы повторим понятие угла между прямыми, угла между прямой и плоскостью. Цель нашего урока – приобрести опыт решения задач на нахождении угла между прямыми в пространстве, угла между прямой и плоскостью. Мы увидим, как отражается данная тема в вариантах ЕГЭ.
Повторение теоретического материала. Решение задач.
Фронтальная работа с классом по основным понятиям темы. Повторение теории с помощью презентации «Задания №14 на ЕГЭ. Координатный метод. Углы в пространстве».
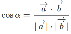
Координатный метод позволяет найти угол между прямыми в пространстве, используя их направляющие векторы. Для нахождения угла между двумя прямыми необходимо найти косинус угла между их направляющими векторами по формуле
. (слайд 3) Рассмотрим решение таких задач координатным методом. Обобщение и систематизация изученного. Решение двух задач с помощью презентации (исследовательская работа учащихся).
Задача 1. Ребро куба равно 4. Найдите косинус угла между прямыми PQ и EF, P – середина
, Q – середина
, Е – середина
, F – середина DC. (слайд 4)
Задача 2. В правильной шестиугольной призме все ребра равны 1. Найдите косинус угла между прямыми
и
(слайд 5).
Самостоятельная работа
Задача 3. В правильной треугольной призме все ребра равны 1. Найдите угол между прямыми
и
.
Фронтальная работа с классом по основным понятиям темы. Повторение теории с помощью презентации «Угол между прямой и плоскостью». (слайд 10,11).
Условия задач, в которых приходится отыскивать угол между прямой и плоскостью, разнообразны. Часто справиться с задачей нахождения угла между прямой и плоскостью помогают признаки равенства или подобия фигур, теорема косинусов, определения синуса, косинуса, тангенса и котангенса острого угла прямоугольного треугольника. Сегодня мы при решение такой задачи воспользуемся методом координат.
Задача4. В единичном кубе найдите угол между прямой AВ1 и плоскостью (А1EF), где Е – середина В1С1, BF =
. (слайд 12-14).
Задача 5. В правильной четырехугольной пирамиде ребро основания равно 4, а высота – 6. Найдите угол между прямой ВЕ, где Е- середина SC и плоскостью (АDS). (слайд 18-20).
Самостоятельная работа
Задача 6. В правильной шестиугольной призме все ребра равны 1. Найдите синус угла между прямой AВ1 и плоскостью (АСF1).
Рефлексия. Справились ли мы с поставленными задачами на урок? Чувствуете ли вы себя увереннее, готовым к сдаче ЕГЭ по теме «Угол между прямыми в пространстве, прямой и плоскостью».? Может быть, для кого-то из вас остались нерешенные проблемы, над которыми еще стоит поработать самостоятельно?
Комментарий домашнего задания и подведения итогов
На этом уроке мы:
Работали с такими понятиями, как угол между прямыми в пространстве, угол между прямой и плоскостью;
Решили задачи, где наглядно продемонстрировали использование определения угла между прямыми в пространстве, угла между прямой и плоскостью;
Рассмотрели геометрический метод решения задач и координатно – векторный метод. Координатно – векторный метод позволяет избежать трудностей в построении и вычислении углов и расстояний между объектами в пространстве. От выпускников требуется знание нескольких формул и навыки в решении простейших задач, основная нагрузка при решении задач приходится на вычислительную часть.


Урок обобщение и систематизация знаний, умений и навыков учащихся (8.71 MB)

