Вариант-1
1.Какие пары чисел являются решением уравнения 2х-у=7.
А) (1; -5) В) (2; 3) С) (3; 2) D) (-5; 1) Е) (0; 7)
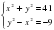
2. Решите систему уравнений: 
А) (6; -3); (-7; 10) В) (-3; 6); (10; -7) С) (6; 7); (-3; 10) D) (-7; 6); (10; -3) Е) (0; 6); (-7; 0)
3. Найти точки пересечения прямой у=2х+3 с параболой у=х2+4х.
А) (5; 1); (3; 3) В) (5; 3); (1;3) С) (1; 5); (-3; -3) D) (-1; -5); (3; -3) Е) (0; -4); (1; 0)
4. Периметр прямоугольника 26 см., площадь 42см2. найти стороны прямоугольника.
А) 5см и 10 см В) 7см и 6 см С) 2 см и11см D) 3 см и 9см Е) 10см и 3см
5. Решите систему уравнений: 
А) (3;2); (2; 3) В) (1; 4); (-1; 4) С) (-3; -2); (-2; -3) D) (5; 0); (-5;0) Е) (
)
6. Найти решения системы:
А) (0; 2); (3; 0) В) (-1; 4); (1; -4) С) (5; 3); (1; -2) D) (2; 3); Е) (-2; -3); (-3; -2)
7. Решите систему неравенств:
А) (-3; 3) В) (-3; 1,5) С) (-
; 0) D) (0; 3) Е) (-
; 3)
8. Решите неравенство: |х-3|
А) (1; 5) В) (-1; 5) С) (-5; 5) D) (2; 5) Е) (0; 5)
9. Найти первые пять членов последовательности {an} с общим её членом an=n2
A) 1;0;1;0;1 B) 1;4;9;16;25 C) 1;2;3;4;5 D) -1;1;-2;2;0 E) 25;16;9;4;1
10. Найти первые пять членов арифм-ой прогрессии, если a1=-2; d=3
A) -5;-3;-1;0;2 B) -2;-5;-8;-11;-14 C) -2;1;4;7;10 D) -2;0;2;4;6 E) -2;-1;0;1;2
11. Найти разность арифм-ой прогрессии, если a11=6; a16=8,5
A) 1; B)0; C)2: D)0,5; E) 2,5
12. Найти 15-ый член арифметической прогрессии 3;7;…
A) 50; B) 59; C) 60; D) 65; E)70
13. Арифметическая прогрессия задана формулой cn=11n-78.
Найдите первый положительный член прогрессии
A) 10; B)12; C) 8; D) 2; E) 20
14. {bn}- геом-ая прогрессия, у которой b1=18; g=
. Найти b2
А)3; B) -2; C) 1; D) 2; E) -1
15. Первый член геом-ой прогрессии 24, второй 36. Найти q.
A)
B)
C)
D)
E) 
16. Составьте формулу n-ного члена геометрической прогрессии 3; -6; …
A)
B)
C)
D)
E) 
17. Составьте формулу, выражающую k-ый член последовательности чисел, кратных 3.
A) 3k; B) 3k-1; C) 3k+1; D) 3k-3; E) 3k+3
18. Графиком уравнения 4х2-4х +(у-3)2=0 является
A) парабола B) гипербола C) прямая D) эллипс E) окружность
19. Графиком уравнения 5-0,7х+ у=0 является
A) окружность B) гипербола C) прямая D) парабола E) эллипс
20. Графиком уравнения 2х2 +3х+1- у=0 является
A) эллипс B) прямая C) гипербола D) окружность E) парабола
Вариант-2
1.Какие пары чисел являются решением уравнения 1,5х+у=3,5
А) (1;3) В) (6; 7) С) (1,5; 2) D) (2; -26,5) Е) (3; -1)
2. Решите систему уравнений: 
А) (-1; 0); (-2; -1) В) (0; 1); (-2; -1) С) (1; 0); (2; 1) D) (5; 4); (0; 0) Е) (6; 5); (-2; 1)
3. Найти точки пересечения прямой у=-2х-3 с параболой у=х2 +4х-10
А) (-1; 5); (7;4) В) (5; 1); (4; -2) С) (2; 4); (-1; 3) D) (1; -5); (-7; 11) Е) (0; -5); (-7; 1)
4. Периметр прямоугольника 28см., площадь 48 см2. найти стороны прямоугольника.
А) 2см и 7см В) 5см и 9см С) 8см и 6см D) 12см и 4см Е) 4см и 10см
5. Решите систему уравнений: 
А) (
;
) В) (1;6); (-1; -6) С) (0; 7); (5; 2) D) (4; 5); (-4; -5) Е) (2; 5); (-2; -5)
6. Найти решения системы: 
А) (5; 0); (0; 5) В) (-5;1) С) (2; 3); (-2; -3) D) (6; -1); (-6; 1) Е) (7; 4); (4; 7)
7. Решите систему неравенств: 
А) (-
; 2) В) ( -
;
) С) (0;
) D) (
; 2) Е) (-1; 1)
8. Решите неравенство: |х-3|
А) (-3; 1) В) (1; 3) С) не имеет решения D) (-1; 1) Е) (-1; 3)
9. Найти первые пять членов последовательности {an} с общим её членом an=n3
A) 1;2;3;4;5 B) 125;64;27;8;1 C) 3;6;12;24;48 D) -1;0;1;2;3 E) 1;8;27;64;125
10. Найти первые пять членов арифметической прогрессии, если a1=3; d=-2
A) 3;5;7;9;11 В) -7;-5;-1;1;3 С) -2;1;4;7;10 D) 3;1;-1;-3;-5 E) 3;1;-1;-5;-7
11. Найти разность арифметической прогрессии, если a8=4; a13=7,5
A) 2,5; B) 4; C) 0,7; D) 9,7: E) 3
12. Найти пятнадцатый член арифметической прогрессии -5;-1;…
A) 51; B) 50; C) 58; D) 62; E)70
13.Арифметическая прогрессия задана формулой cn=93-7n.
Найдите первый отрицателный член прогрессии
A) -3; B) -5; C) -7; D) -1; E) -10
14. {bn}- геометрическая прогрессия, у которой b1=64; g=
. Найти b5
А) 2; B)
; C) 3; D)
; E) 4
15. Первый член геометрической прогрессии 33, второй 44. Найти знаменатель
A)
B)
C)
D) -3 E) 
16. Составьте формулу n-ного члена геометрической прогрессии -2; -8; …
A)
B)
C)
D)
E) 
17. Составьте формулу, выражающую k-ый член последовательности чисел, кратных 5.
A) 5k-1; B) 5k ; C) 5k+1; D) 5k-5; E) 5k+5
18. Графиком уравнения х2+2у +у2=0 является
A) окружность B) гипербола C) прямая D) эллипс E) парабола
19. Графиком уравнения -6х+5-у=0 является
A) окружность B) гипербола C) эллипс D) парабола E) прямая
20. Графиком уравнения х2 – у+ 4х=0 является
A) эллипс B) прямая C) парабола D) окружность E) гипербола
Коды ответов по алгебре
9 класс
| | 1 | 2 | 3 | 4 | 5 | 6 | 7 | 8 | 9 | 10 | 11 | 12 | 13 | 14 | 15 | 16 | 17 | 18 | 19 | 20 |
| Вариант-1 | А | В | С | В | Е | D | В | А | В | С | D | В | А | D | А | В | А | Е | С | Е |
| Вариант-2 | Е | А | D | С | А | В | В | С | E | D | С | А | В | D | E | D | B | А | Е | С |