Меню
Разработки
Разработки  /  Математика  /  Презентации  /  10 класс  /  Презентация по математике "Предел функции"

Презентация по математике "Предел функции"

Презентация познакомит с пределами функция и позволит проконтролировать знания.
14.01.2016

Описание разработки

Определение предела функции (по Гейне)

Число А называется пределом функции у=f(x)

в точке х0 (при хх0), если для любой последовательности допустимых значений аргумента, х0 сходящейся к nЄN.

Презентация по математике Предел функции

(т.е. lim xn=xo), последовательность соответствующих значений функций f(xn) nЄN,

сходящихся к числу А, т.е. lim f(xn)=A.

Пишут: lim f(x)=A.

То есть любая последовтельность аргументов, сходящихся х0, ведёт соответствующуую последовательность значений функции А.

Содержимое разработки

Предел функции

Предел функции

Определение предела функции (по Гейне) Число А называется пределом функции  в точке (при ), если для любой последовательности допустимых значений аргумента , , сходящейся к  (т. е. ), последовательность соответствующих значений функции , сходится к числу А, т. е. .

Определение предела функции (по Гейне)

Число А называется пределом функции

в точке (при ), если для любой последовательности допустимых значений аргумента , , сходящейся к

(т. е. ), последовательность соответствующих значений функции , сходится к числу А, т. е. .

Определение предела функции (по Гейне) Пишут :  То есть любая последовательность аргументов, сходящаяся к , ведёт соответствующую последовательность значений функции к А.

Определение предела функции (по Гейне)

Пишут :

То есть любая последовательность аргументов, сходящаяся к , ведёт соответствующую последовательность значений функции к А.

Пример 1:

Пример 1:

Пример 2:  не существует. Пояснения: возьмем две последовательности аргументов и покажем, что им соответствуют разные пределы последовательностей значений функции

Пример 2:

не существует.

Пояснения: возьмем две последовательности аргументов и покажем, что им соответствуют разные пределы последовательностей значений функции

Пример 3:  не существует. Пояснения: возьмем две последовательности аргументов и покажем, что им соответствуют разные пределы последовательностей значений функции

Пример 3:

не существует.

Пояснения: возьмем две последовательности аргументов и покажем, что им соответствуют разные пределы последовательностей значений функции

Задания: Постройте график функции Найдите предел функции в точке, постройте график функции

Задания:

  • Постройте график функции
  • Найдите предел функции в точке, постройте график функции
Односторонние пределы

Односторонние пределы

Задания: 3. Указать односторонние пределы в заданиях 1 и 2.

Задания:

3. Указать односторонние пределы в заданиях 1 и 2.

Раскрытие неопределённостей 1. Найти  Решение : Имеем неопределенность типа . Наивысшая степень многочлена в знаменателе – третья; вынося за скобки х 3 , получим:

Раскрытие неопределённостей

1. Найти

Решение : Имеем неопределенность типа . Наивысшая степень многочлена в знаменателе – третья; вынося за скобки х 3 , получим:

Неопределённость в отношении многочленов при . Если , . Идея решения: вынести в числителе и знаменателе за скобки старшую степень и сократим на неё дробь.

Неопределённость в отношении многочленов при .

  • Если , . Идея решения: вынести в числителе и знаменателе за скобки старшую степень и сократим на неё дробь.
Задание: Найти предел функции:

Задание: Найти предел функции:

Найти Решение : Имеем неопределенность типа . Разложим числитель и знаменатель дроби на множители по формуле: аx 2 +bx+c=a(x-x 1 )(x-x 2 ) , где

Найти

Решение : Имеем неопределенность типа

. Разложим числитель и знаменатель дроби на множители по формуле:

аx 2 +bx+c=a(x-x 1 )(x-x 2 ) , где

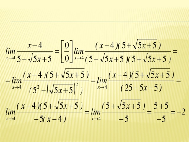
Найти Решение :   Для раскрытия неопределённости  типа , домножим числитель и знаменатель на выражение сопряжённое к знаменателю, получим:

Найти

Решение :

Для раскрытия неопределённости

типа , домножим числитель и знаменатель на выражение сопряжённое к знаменателю, получим:

-80%
Курсы повышения квалификации

Эмоциональный интеллект

Продолжительность 36 часов
Документ: Удостоверение о повышении квалификации
3000 руб.
600 руб.
Подробнее
Скачать разработку
Сохранить у себя:
Презентация по математике "Предел функции" (0.27 MB)

Комментарии 0

Чтобы добавить комментарий зарегистрируйтесь или на сайт