В контрольной работе 7 заданий. Критерий оценивания: «3» - верно выполнены 2 или 3 задания, «4» - верно выполнены 4 или 5 заданий, «5» - верно выполнены 6 или 7 заданий.

Весь материал - смотрите документ.
В контрольной работе 7 заданий. Критерий оценивания: «3» - верно выполнены 2 или 3 задания, «4» - верно выполнены 4 или 5 заданий, «5» - верно выполнены 6 или 7 заданий.

Весь материал - смотрите документ.
Контрольная работа №2
«Тригонометрические функции».
Вариант №1
В контрольной работе 7 заданий. Критерий оценивания: «3» - верно выполнены 2 или 3 задания, «4» - верно выполнены 4 или 5 заданий, «5» - верно выполнены 6 или 7 заданий.
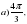
Задание 1 Вычислить:
|
|
|
|
|
|
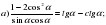
Задание 2 Упростит выражение:
|
|
|
Задание 3 Доказать тождество:
|
|
|
Задание 4 Найти заданную точку на числовой окружности:
|
|
|
|
|
|
Задание 5
Известно, что
. Вычислите:
.
Задание 6 Решите уравнение:
|
|
|
|
|
|
Задание 7 Решите неравенство:

Контрольная работа №2
«Тригонометрические функции».
Вариант №2
В контрольной работе 7 заданий. Критерий оценивания: «3» - верно выполнены 2 или 3 задания, «4» - верно выполнены 4 или 5 заданий, «5» - верно выполнены 6 или 7 заданий.
Задание 1 Вычислить:
|
|
|
|
|
|
Задание 2 Упростит выражение:
| |
Задание 3 Доказать тождество:
| | |
Задание 4 Найти заданную точку на числовой окружности:
| | | | | |
Задание 5
Известно, что. Вычислите:
.
Задание 6 Решите уравнение:
| | |
| | |
Задание 7 Решите неравенство:
Контрольная работа №2
«Тригонометрические функции».
Вариант №1
В контрольной работе 7 заданий. Критерий оценивания: «3» - верно выполнены 2 или 3 задания, «4» - верно выполнены 4 или 5 заданий, «5» - верно выполнены 6 или 7 заданий.
Задание 1 Вычислить:
|
|
|
|
|
|
Задание 2 Упростит выражение:
|
|
|
Задание 3 Доказать тождество:
|
|
|
Задание 4 Найти заданную точку на числовой окружности:
|
|
|
|
|
|
Задание 5
Известно, что
. Вычислите:
.
Задание 6 Решите уравнение:
|
|
|
|
|
|
Задание 7 Решите неравенство:

Контрольная работа №2
«Тригонометрические функции».
Вариант №2
В контрольной работе 7 заданий. Критерий оценивания: «3» - верно выполнены 2 или 3 задания, «4» - верно выполнены 4 или 5 заданий, «5» - верно выполнены 6 или 7 заданий.
Задание 1 Вычислить:
|
|
|
|
|
|
Задание 2 Упростит выражение:
| |
Задание 3 Доказать тождество:
| | |
Задание 4 Найти заданную точку на числовой окружности:
| | | | | |
Задание 5
Известно, что. Вычислите:
.
Задание 6 Решите уравнение:
| | |
| | |
Задание 7 Решите неравенство:
-80%
Чтобы добавить комментарий зарегистрируйтесь или войдите на сайт