1. Найдите сумму корней уравнения x2-4x=0
- 0
- 4
- -4
- 1
2. По теореме Виета найдите корни уравнения x2+6x-55=0
- 5 и 11
- -5 и 11
- 6 и 55
- 3 и -15

Все задания и таблицу ответов - смотрите документ.
1. Найдите сумму корней уравнения x2-4x=0
2. По теореме Виета найдите корни уравнения x2+6x-55=0

Все задания и таблицу ответов - смотрите документ.
Тема : Уравнения и неравенства
Найдите сумму корней уравнения x2-4x=0
0
4
-4
1
2. По теореме Виета найдите корни уравнения
5 и 11
-5 и 11
6 и 55
3 и -15
3. Решите уравнение 
12
1
-6
0
4. Решите неравенство 
(-2; 3)[13; +)
(-2; 3)
(-2; 3] (13; +)
[13; +)
5. Решите неравенство: ![]()
(-3;5]
[-3;2]U[5;)
(-; -3]U[2;5]
(7; 13) U (19; 23]
6. Решите неравенство 
(-; -6]
[-1; +)
(-; -12](0; 12]
[-12; 0) (0; 12)
7. Укажите промежуток, которому принадлежат корни уравнения 
[-4; 0)
[3; 5)
[0; 3)
[5; 7]
8. Решите дробно-рациональное уравнение
3
2
1
-3
10. Найдите сумму корней уравнения 
-2
-4
0
4
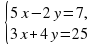
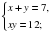
11. Решите систему уравнений 
(3;4)
(1;4)
(0,5;3)
(4;3)
12. Решить систему неравенств:
2
-2
0
-4
13. Найдите сумму корней биквадратного уравнения:

8
0
11
-2
14.Решите уравнение: 
5
4
0
-1
15. Произведение двух последовательных натуральных чисел равно 552. Найдите эти числа.
19 и 20
22 и 23
23 и 24
32 и 33
Тема : Уравнения и неравенства
| 1 | 2 | 3 | 4 | 5 | 6 | 7 | 8 | 9 | 10 | 11 | 12 | 13 | 14 | 15 |
| (2) | (2) | (3) | (4) | (2) | (2) | (2) | (2) | (3) | (4) | (1) | (2) | (2) | (1) | (3) |
-80%