| Название урока и класс: | Формула разности квадратов, 7класс | ||
| Цели: | Познакомить с формулой разности квадратов и закрепить ее | ||
| Планируемые результаты: | Учащиеся научатся применять формулу разности квадратов при разложении на множители, распознавать такие выражения | ||
| Этап урока: | Время (мин.) | Деятельность учителя | Ссылки на карточки Учи.ру |
| Организационный момент | 2 | Приветствует детей, проверяет их готовность к уроку. Настраивает на активную работу. Откройте тетради, запишите число и "Классная работа". |
|
| Актуализация знаний | 6 | Посмотрите на интерактивную доску. Вычислите площади указанных фигур. Кто выполнит – поднимает руку. Молодцы! Что необходимо сделать теперь? | https://uchi.ru/b2t/teacher/lessons/1229529/edit/from/personal |
| Верно. |
| ||
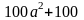
| Найдем площадь следующей фигуры. | https://uchi.ru/b2t/teacher/lessons/1229529/edit/from/personal (продолжение) | ||
| Давайте проверим. Все верно. |
| ||
| Самоопределение к деятельности | 4 | Назовите первый множитель. Назовите второй множитель. |
|
| Как одним выражением назвать полученную формулу? |
| ||
| Сформулируйте тему сегодняшнего урока. |
| ||
| Все верно, сегодня рассмотрим способ разложения на множители. |
| ||
| Введение понятия | 6 | Откройте учебник на страницу 233 и прочитайте правило. |
|
| Запишите формулу разности квадратов в тетрадь и прочитайте ее. |
| ||
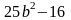
| Объясните, как разложить на множители выражение |
| ||
| Запишите формулу разности квадратов справа налево и прочитайте ее. Давайте проверим, что получилось. | https://uchi.ru/teachers/hometasks/10097027 | ||
| Откройте учебник на страницу 235 и устно выполним задание №847. Кто выполнит – поднимает руку. |
| ||
| Работа по теме урока | 6 | Работа с заданиями от Учи.ру на интерактивной доске | https://uchi.ru/teachers/hometasks/10097013 |
| Закрепление материала | 5 | Открываем учебник на страницу 235 и читаем задание №849 (а-г). Записать в тетрадь. В каждом случае называем множители, которые получились. |
|
| Физкультминутка | 2 |
|
|
| Закрепление материала | 6 | Замечательно. Теперь каждый будет работать самостоятельно. Для этого берем планшеты и выполняем задание. | https://uchi.ru/teachers/hometasks/10097002 |
| Подведение итогов урока | 3 | Что нового вы сегодня узнали на уроке? Что было не понятно? Какое задание было самым сложным для вас? |
|
| Домашнее задание |
| Стр. 207 №849 (д-з) | Выдать Задание от учителя |
|
| 40 |
| |


,
Разность квадратов (19.92 KB)

