Итоговый тест по алгебре за 7 класс
Часть 1.
При выполнении заданий с выбором ответа обведите номер выбранного ответа в работе. Если Вы обвели не тот номер, то зачеркните обведённый номер крестиком и затем обведите номер нового ответа.
А1. Упростите выражение -4m + 9n - 7m - 2n.
-3m + 11n
-3m + 7n
11m + 7n
-11m + 7n
A2. Решите уравнение 10у – 13,5 = 2у - 37,5.
6,375
3
-3
4
A3. Упростите выражение с7 : c4 ∙ c.
c5
c6
c4
c12
A4. Выполните умножение (3a - b)(2b - 4a).
-12a2 – 10ab – 2b2
-12a2 + 10ab – 2b2
6ab – 2b2
6ab – 4b
A5. Преобразуйте в многочлен (4х – 5у)2.
16х2 – 20ху + 25у2
16х2 - 40ху + 25у2
4х2 – 25у2
16х2 – 25у2
A6. Упростите выражение -3а7b2∙(5a3)2.
15a13b2
-15a12b2
75a12b2
-75a13b2
A7. Найдите значение выражения (-1)3 – (-2)3 + 52 – 72.
83
33
-16
-17
А8. Представьте выражение в виде квадрата двучлена 4у2 - 12у + 9.
(4у - 3)2
(2у - 9)2
2у - 32
(2у - 3)2
А9. Выразите у через х в выражении -5х + у = -17.
У = 17 + 5х
У = -5х + 17
У = -17 + 5х
У = 17 - 5х
А10. Прямая пропорциональность задана формулой у=
х. Укажите значение у, соответствующее х = -12.
4
-4
36
-36
А11. Какое значение принимает сумма х + у, если х = -2,6; y = -4,4?
-1,8
1,8
7
-7
А12. Раскройте скобки и приведите подобные слагаемые (2,7х - 15) – (3,1х - 14).
2,7х - 9
-0,4х - 9
5,8х - 1
-0,4х - 1
А13. Найдите значение выражения 2,7 - 49 : (-7).
9,7
4,3
-4,3
-9,7
А14. Составьте выражение по условию задачи: «Турист шел со скоростью b км/ч. Какое расстояние он пройдет за 8 часов?».
8 - b
8 + b
8b
8 : b
А15. В одной системе координат заданы графики функций у = 2х – 4 и у = -3. Определите координаты точки их пересечения.
(1,5; -3)
(1,5; 1)
(0,5; -3)
(-0,5; -3)
А16. Найдите координаты точки пересечения графика функции
с осью абсцисс.
(4; 0)
(0; 4)
(8; 0)
(16; 0)
А17. Вычислите
.
32
33
81
34
А18. Через какую точку проходит график функции у = 3х + 5?
(2; -3)
(1; -2)
(2; 11)
(-2; 11)
А19. Приведите одночлен к стандартному виду 5х5у∙0,3ху3.
15х6 у4
1,5х5 у3
1,5х6 у4
1,5ху
А20. Вынесите общий множитель за скобку 12ху – 4у2.
4(3ху – 4у)
4у(х - у)
у(12х - 4)
4у(3х - у)
А21. Разложите на множители а(у - 5) – b(y - 5).
(a - b)(y - 5)
(a + b)(y - 5)
(y - 5) ∙ a
(y - 5) ∙ b
А22. При всех значениях а значение выражения 2а(а - 18) + 3(а2 + 12а) – 5а2 + 3 равно:
3
-3
2a + 3
a + 3
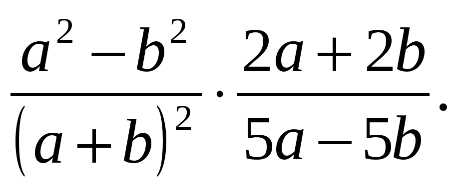
А23. Выполните умножение дробей:
2,5
0,4
1
-1
Часть 2.
Полученный ответ на задание записывается в отведённом для этого месте. В заданиях «решите уравнение» в ответе указывайте только числа, являющиеся корнями уравнения. Если ответ содержит несколько чисел, разделяйте их точкой с запятой (;) и записывайте числа в порядке возрастания. Если ответом является обыкновенная дробь, то переведите ее в десятичную дробь и запишите в ответ десятичную дробь. В задаче в ответ запишите только число (наименования указывать не надо). В системах уравнений ответ запишите в виде точки.
В случае записи неверного ответа зачеркните его и запишите рядом новый.
B1. Решите уравнение 8у – (3у + 19) = -3(2у - 1).
Ответ:____________________________________
B2. Решите уравнение 5х2 – 4х = 0.
Ответ:____________________________________
В3. Решите уравнение ![]()
Ответ:____________________________________
В4. Упростите выражение
.
Ответ:____________________________________
В5. Решите задачу:
В трех мешках 114 кг сахара. В первом на 16 кг меньше, чем во втором, а в третьем на 2 кг меньше, чем во втором. Сколько килограммов сахара во втором мешке?
Ответ:____________________________________
В6. Решите систему уравнений
.
Ответ:____________________________________
В7. Сколько различных трехзначных чисел можно составить из цифр 1, 2, 3, 4, 5, если цифры в числе не повторяются.
Ответ:____________________________________


"Итоговый тест по алгебре " (80 KB)

