Электростатика
Тема 1. Электростатическое поле. Закон Кулона
Лекция № 1. Электростатическое поле.
Цель: ознакомиться с понятиями «электростатическое поле» и «электрический заряд», изучить их свойства.
Основные понятия:
Электрический заряд – некоторое внутреннее, первичное свойство частицы.
Электромагнитное взаимодействие – это взаимодействие между электрически заряженными частицами или макроскопически заряженными телами.
Электромагнитное поле – особый вид материи.
Электростатическое поле – частный случай электромагнитного поля неподвижных электрических зарядов.
1.1. Электрический заряд и его свойства.
Уже в глубокой древности было известно, что янтарь, потертый о шерсть, приобретает способность притягивать легкие предметы. Однако только в конце XVI века английский врач Гильберт подробно исследовал это явление и нашел, что аналогичным свойством обладают многие другие вещества. Тела, способные, подобно янтарю, после натирания притягивать легкие предметы, он назвал наэлектризованными (от греческого электрон – янтарь). Теперь мы говорим, что на телах в таком состоянии имеются электрические заряды, а сами эти тела называем заряженными.
Укажем, что само трение при «электризации трением» не играет никакой принципиальной роли. Электрические заряды всегда возникают при тесном соприкосновении различных веществ.
Опыт показывает, далее, что два заряженных тела могут либо отталкиваться, либо притягиваться друг к другу. Если зарядить два легких тела, подвешенных на изолирующих шелковых нитях, прикасаясь к ним стеклянной палочкой, потертой о шелк, то оба тела отталкиваются. То же наблюдается, если оба тела заряжены при помощи эбонитовой палочки, потертой о мех. Но если зарядить одно из тел от стеклянной палочки, а другое – от эбонитовой, то оба тела притягиваются друг к другу. Это означает, что заряды стекла и эбонита качественно различны.
Несмотря на обилие различных веществ в природе, существуют только два вида электрических зарядов: заряды, подобные возникающим на стекле, потертом о шелк, и заряды, подобные появляющимся на эбоните, потертом о мех. Первые из них получили название положительных зарядов, а вторые - отрицательных зарядов. Следовательно, одноименные заряды отталкиваются, а разноименные притягиваются.
Рассмотренные выше притяжения и отталкивания между заряженными телами являются частными случаями электромагнитных взаимодействий. В настоящее время известно, что в основе всего разнообразия явлений природы лежат всего четыре фундаментальных взаимодействия между элементарными частицами – сильное, слабое, электромагнитное и гравитационное. Каждый вид взаимодействия связывается с определенной характеристикой частицы. Например, гравитационное взаимодействие зависит от масс частиц. Электромагнитное взаимодействие зависит от одной из основных, первичных характеристик частицы - электрического заряда.
Электрическому заряду частицы присущи следующие фундаментальные свойства:
1) существует элементарный (минимальный) электрический заряд e=1,6⋅10–19 Кл (кулон (Кл) – единица электрического заряда в системе СИ).
2) электрический заряд существует в двух видах – положительный (носитель элементарного положительного заряда – протон, его масса mp =1,67⋅10–27 кг) и отрицательный (носитель элементарного отрицательного заряда – электрон, его масса me =9,11⋅10–31 кг).
3) одноименные заряды отталкиваются, разноименные – притягиваются.
4) электрический заряд является релятивистским инвариантом – его величина не зависит от системы отсчета, а, значит, не зависит от скорости заряженной частицы.
5) электрический заряд дискретен – заряд любого тела составляет целое кратное от элементарного электрического заряда e.
6) электрический заряд аддитивен – заряд любой системы тел (частиц) равен сумме зарядов тел (частиц), входящих в систему).
7) электрический заряд подчиняется закону сохранения заряда: алгебраическая сумма электрических зарядов любой электрически изолированной системы остается неизменной, какие бы процессы ни происходили внутри данной системы. Под электрически изолированной системой в данном случае понимают систему, которая не обменивается зарядами с внешними телами.
Электромагнитные взаимодействия изучает раздел физики, называемый электродинамикой.
Взаимодействие между неподвижными электрически заряженными частицами или телами изучается электростатикой - разделом электродинамики. При исследовании взаимодействия электрических зарядов, естественно, возникает вопрос, почему появляются силы, действующие на заряды, и как они передаются от одного заряда к другому? Совершенно так же можно поставить и следующий вопрос: механические силы возникают только при наличии двух зарядов; происходят ли, однако, какие-либо изменения в окружающем пространстве при наличии только одного заряда, когда второго нет вовсе?
В процессе развития физики существовали два противоположных подхода к ответу на поставленные вопросы. При одном из них предполагалось, что телам присуще свойство действовать на другие тела на расстоянии, без участия промежуточных тел или среды, т.е. предполагалось, что силы могут передаваться от одного тела к другому через пустоту и притом мгновенно (теории дальнодействия). С этой точки зрения при наличии только одного заряда никаких изменений в окружающем пространстве не происходит.
Согласно второму взгляду силовые взаимодействия между разобщенными телами могут передаваться только при наличии какой-либо среды, окружающей эти тела, последовательно от одной части этой среды к другой, и с конечной скоростью (теории близкодействия); даже при наличии одного-единственного заряда в окружающем пространстве происходят определенные изменения.
Современная физика сохраняет только идею близкодействия и отвергает дальнодействие. Действительно, допущение возможности передачи силовых взаимодействий, т.е. движения, через пустоту, без участия материи, равносильно допущению возможности движения без материи, что бессодержательно.
Таким образом, для понимания происхождения и передачи сил, действующих между покоящимися зарядами, необходимо допустить наличие между зарядами какого-то физического агента, осуществляющего это взаимодействие. Этим агентом и является электрическое поле. Когда в каком-либо месте появляется электрический заряд, то вокруг него возникает электрическое поле. Основное свойство электрического поля заключается в том, что на всякий другой заряд, помещенный в это поле, действует сила.
Т. о., рассматривая взаимодействие покоящихся зарядов, мы приходим к понятию электростатического поля. Оно представляет собой стационарное, т. е. не изменяющееся с течением времени, электрическое поле неподвижных электрических зарядов. Это поле является частным случаем электромагнитного поля, посредством которого осуществляется взаимодействие между электрически заряженными частицами, движущимися в общем случае произвольным образом относительно системы отсчета.
Электростатическое поле (как и в общем случае электромагнитное) заключает в себе определенную энергию, обладает массой и, следовательно, не является некоторой абстракцией, введенной нами для описания электрических взаимодействий, но представляет собой объективную реальность, обладающую физическими свойства. Оно является определенной формой материи, которая осуществляет электрические взаимодействия. Таким образом, современная физика при помощи понятия поля расширяет представление о близкодействии и распространяет его на немеханические явления.
Вопросы для самоконтроля:
1. Какие типы фундаментальных взаимодействий вы знаете?
2. Какое взаимодействие называют электромагнитным?
3. Что изучает электростатика?
4. Что представляет собой электрический заряд?
5. Перечислите свойства электрического заряда.
6. Сформулируйте закон сохранения зарядов.
7. Как называется единица электрического заряда?
8. Чему равно значение элементарного заряда?
9. В чем сущность теорий дальнодействия и близкодействия?
Лекция № 2. Закон Кулона.
Цель: изучить закон взаимодействия двух неподвижных точечных зарядов.
Основные понятия:
Точечный заряд – протяженное заряженное тело, размеры которого малы по сравнению с расстоянием от других зарядов.
Закон Кулона – основной закон электростатического взаимодействия точечных зарядов.
Начало количественного изучения электрических явлений относится к концу XVIII века, когда Кулон установил на опыте закон взаимодействия электрических зарядов.
Для заряженных тел произвольных размеров такой закон в общей форме дать нельзя, так как сила взаимодействия протяженных тел зависит от их формы и взаимного расположения. Однако форма тел и их взаимная ориентировка перестают сказываться, если размеры тел весьма малы по сравнению с расстоянием между ними. Поэтому закон взаимодействия, имеющий общее значение, можно установить только для точечных зарядов.
Так как электрические заряды всегда распределены в объеме, то никаких конечных зарядов в математической точке, разумеется, быть не может. Под точечным зарядом в физике всегда понимают протяженное заряженное тело, размеры которого весьма малы по сравнению с расстоянием от других зарядов.
Ш. Кулон проводил эксперименты с помощью крутильных весов. По углу закручивания упругой нити он измерял силу отталкивания одноименно заряженных шариков, а по шкале прибора – расстояние между ними. В результате этих опытов Кулон заключил, что сила взаимодействия двух точечных зарядов направлена вдоль линии, соединяющей оба заряда, и обратно пропорциональна квадрату расстояния между зарядами:
.
Никаких способов измерения величины электрических зарядов в то время еще не было. Однако это не помешало Кулону найти вид зависимости силы F от q1 и q2. Он использовал следующий факт: если заряженный проводящий шарик привести в соприкосновение с точно таким же незаряженным шариком, то заряд первого равномерно распределится между обоими шариками. Иными словами, заряд каждого из них будет вдвое меньше исходного. Точно так же можно уменьшить заряд шарика в четыре, восемь раз и т. д. Таким образом, не зная абсолютных значений зарядов q1 и q2, их можно уменьшать в известное число раз.
Опыты, поставленные Кулоном, показали, что при постоянных r и q1 сила взаимодействия F между заряженными шариками изменяется пропорционально величине заряда q2 второго шарика, а при постоянных r и q2 – пропорционально величине заряда q1 первого шарика. Этим было доказано, что сила F пропорциональна произведению q1 q2.
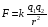
Т. о., сила взаимодействия двух точечных зарядов в вакууме равна
Здесь k — коэффициент пропорциональности, зависящий от выбора единиц заряда, расстояния и силы.
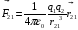
Закон Кулона в системе единиц СИ записывают в виде
,
где вместо коэффициента пропорциональности k, написано
, где
= 8,85·10-12 Кл2/(Н·м2) – электрическая постоянная.
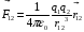
Для того чтобы выразить не только модуль силы, но и ее направление, закон Кулона можно представить в векторной форме:
,
где
— вектор силы, действующей на заряд 1 со стороны заряда 2, а
— радиус-вектор, направленный от заряда 2 к заряду 1 (рис. а и б).
Соответственно сила
, действующая на заряд 2 со стороны заряда 1, равна
,
где
- радиус-вектор, направленный от заряда 1 к заряду 2.
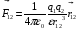
Если взаимодействие происходит не в вакууме, то закон Кулона имеет вид:
,
где
- относительная диэлектрическая проницаемость среды.
Еще раз отметим, что закон Кулона справедлив только для взаимодействия точечных электрических зарядов, т.е. таких заряженных тел, линейными размерами которых можно пренебречь по сравнению с расстоянием между ними. Кроме того, он выражает силу взаимодействия между неподвижными зарядами, т.е. это закон электростатический. Закон Кулона можно сформулировать следующим образом: сила электростатического взаимодействия между двумя точечными электрическими зарядами пропорциональна произведению величин зарядов, обратно пропорциональна квадрату расстояния между ними и направлена вдоль соединяющей их прямой так, что одноименные заряды притягиваются, а разноименные отталкиваются.
Всякое заряженное тело можно рассматривать как совокупность точечных зарядов аналогично тому, как в механике всякое тело можно считать совокупностью материальных точек. Поэтому электростатическая сила, с которой одно заряженное тело действует на другое, равна векторной сумме сил, приложенных ко всем точечным зарядам второго тела со стороны каждого точечного заряда первого тела.
Расчеты показывают, что закон Кулона справедлив также и для взаимодействия заряженных тел шарообразной формы, если заряды q1 и q2 распределены равномерно по всему объему или по всей поверхности этих тел. При этом радиусы тел могут быть соизмеримы с расстоянием r между их центрами.
Кулон изучал взаимодействие между зарядами, находящимися в воздухе. Дальнейшие экспериментальные исследования показали, что при прочих равных условиях сила электростатического взаимодействия между двумя точечными зарядами зависит от свойств среды, в которой эти заряды находятся, и имеет вид:
,
где
- относительная диэлектрическая проницаемость среды.
Опыты Кулона не являются единственным доказательством справедливости закона обратных квадратов. В настоящее время имеется большое количество других экспериментальных данных, показывающих, что закон Кулона выполняется очень точно и притом как для очень больших, так и для очень малых расстояний. В частности, исследования атомных явлений позволяют заключить, что он справедлив, по крайней мере, вплоть до расстояний порядка
м.
Вопросы для самоконтроля:
1. Опишите модель точечного заряда.
2. Сформулируйте и напишите закон Кулона в системе СИ.
3. Что такое электрическая постоянная и чему она равна в СИ?
4. Как влияет диэлектрическая среда на взаимодействие помещенных в нее двух точечных зарядов?


Электростатика. Закон Кулона. (84.5 KB)

