Входной контроль, 10 кл.
Вариант № 1
1. Вычислите значение выражения
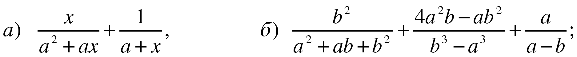
2. Упростите выражения.
а)
б)
в) ![]()
3.Выполните действия.
4. Решите уравнения.
![]()
5. Решите неравенства.
![]()
6. Решите задачу с помощью системы уравнений:
Периметр прямоугольного треугольника равен 84 см, а его гипотенуза равна 37 см. Найдите площадь этого треугольника.
Вариант № 2
Вычислите значение выражения

Упростите выражения.
А)
б)
в)
3. Выполните действия.
![]()
4. Решите уравнения.
![]()
5. Решите неравенства.
![]()
6. Решите задачу с помощью системы уравнений:
Гипотенуза прямоугольного треугольника равна 13 см. Если один из его катетов увеличить на 4 см, то гипотенуза увеличиться на 2 см. Найдите катеты треугольника.


Входной контроль (48 KB)

