Открытый урок по теме «Циклы»
Цель урока:
- закрепить навыки написания циклических программ;
- отработать навыки написания циклических программ на более сложных задачах;
Задачи урока:
образовательные:
закрепить и углубить знания;
развивающие:
- развивать логическое мышление;
- развивать умение видеть структуру задачи, реализовать ее на языке программирования;
- развивать умение применять знания, полученные на уроках информатики и других предметах, при решении задач программирования;
воспитательные:
воспитание чувства уверенности в своих знаниях и чувство ответственности за результаты своего труда.
Материалы и оборудование к уроку:
ПК, тесты и варианты заданий в электронном и печатном виде, презентация «Циклы».
Тип урока:
комбинированный.
Форма проведения урока:
беседа, практическая работа, тестирование
План урока:
Проверка домашнего задания
Актуализация знаний в форме беседы:
Практическая работа на компьютере
Тестирование на компьютере.
Домашнее задание.
Ход урока:
1. Актуализация знаний.
Беседа с учащимися.
Что такое цикл?
Какие конструкции цикла вы знаете?
Что называется телом цикла?
Что называется итерацией?
Что называется параметром (или управляющей переменной) цикла?
Чем отличаются цикл с предусловием от цикла с постусловием?
Расскажите о цикле с предусловием.
Расскажите о цикле с постусловием.
Расскажите о цикле с параметром.
1.Проверка домашнего задания
Готовясь к состязаниям, лыжник в первый день пробежал 10 км, затем каждый день увеличивал расстояние на 10 %. Сколько км он пробежал за неделю тренировок? Используйте инструкции цикла с предусловием «While…do».
program lizhnik;
var
i:integer;
s,d:real; {S –сумма, что пробежал лыжник всего,d – дистанция за день}
s1: real; {s1-пробегал лыжник за день}
begin
i:=1;
s1:=10;
s:=10;
while i
begin
s1:=s1*1.1;
s:=s+s1;
Writeln(s:5:2);
i:=i+1;
end;
end.
2.Материал, который должен прозвучать в ответах учащихся.
Цикл обеспечивает многократное выполнение некоторой совокупности действий.
В Паскале имеется три вида циклов: цикл с предусловием while, цикл с постусловием repeat и цикл с параметром for.
Блок операторов в программе, который повторяется многократно, называется телом цикла. Остальные операторы служат для управления процессом повторения: это начальные присваивания, проверка условия и модификация параметра цикла.
Один проход цикла называется итерацией.
Параметром цикла (или управляющей цикла) называется переменная, которая используется при проверке условия цикла и принудительно изменяется на каждой итерации, причем, как правило, на одну и ту же величину. Если параметр цикла целочисленный, он называется счетчиком цикла. Количество повторений такого цикла можно определить заранее. Если Р – управляющая переменная цикла, P0 – ее начальное значение, Pn - конечное значение H – шаг ее изменения, то количество повторений определяется по формуле (Pn - P0) / H + 1.
6
.
Цикл с предусловием (цикл Пока)
Цикл с постусловием
(цикл До)
Начальные установки служат для того, чтобы до входа в цикл задать значения переменным, которые в нем используются.
Проверка условия продолжения цикла выполняется на каждой итерации либо до тела цикла, либо после. Разница между ними состоит в том, что тело цикла с постусловием всегда выполняется хотя бы один раз, после чего проверяется, надо ли его выполнять еще раз. Проверка необходимости выполнения цикла с предусловием делается до тела цикла, поэтому возможно, что он не выполниться ни разу.
7.Цикл с предусловием while выражение do тело цикла
Проверяется выражение, которое должно быть логического типа. Это может быть операция отношения или просто логическая переменная.
Если выражение истинно(true), то выполняются действия, стоящие после служебного слова do. Когда выражение станет ложным (false) – цикл заканчивается.
Если в теле цикла требуется выполнить более одного оператора, необходимо заключить их в операторные скобки begin … end.
Чтобы цикл выполнился хотя бы один раз, необходимо чтобы условие было истинно в начале цикла, т.е. перед выполнением тела цикла.
Чтобы цикл завершился, необходимо чтобы последовательность инструкций изменяла значение переменной, управляющей циклом.
Контрольные вопросы:
1.Чему будет равно значение переменной n после выполнения инструкций?
n:=0;
while n
Ответ: 5 и цикл заканчивается при n=4.
2.Что будет выводиться на экран после выполнения инструкций?
n:=1;
while n
begin x:=n*n; writeln (n:5, x:5); end;
Ответ: бесконечное число строк: 1.000 1.000, т.к. переменная, управляющая циклом не изменяется.
8. Цикл с постусловием repeat …until
Тело цикла с постусловием заключено между служебными словами repeat и until, поэтому заключать его в операторные скобки не требуется.
repeat
тело цикла
until выражение
Вначале выполняются инструкции после оператора repeat .
В отличие от цикла while этот цикл будет выполняться, пока логическое выражение после слова until ложно.
Как только результат выражения станет истинным, произойдет выход из цикла.
Вычисление выражения выполняется в конце каждой итерации цикла.
Этот вид цикла применяется в тех случаях, когда тело цикла необходимо выполнить хотя бы один раз: например, если в цикле вводятся данные и выполняется их проверка. Если же такой необходимости нет, предпочтительнее пользоваться циклом с предусловием.
Контрольные вопросы:
Что будет выводиться на экран после выполнения инструкций?
n:=0;
repeat write(‘*’); n:=n+1;
until n
Ответ: будет выведена одна звездочка, а после проверки - условие оказывается истинным, произойдет выход из цикла.
Как надо изменить условие, чтобы после окончания цикла было выведено 5 звездочек?
Ответ: until n5;
9. Цикл с параметром for
Этот оператор применяется, если требуется выполнить тело цикла заранее заданное количество раз. Параметр порядкового типа на каждом проходе цикла автоматически либо увеличивается, либо уменьшается на единицу.
for параметр := выражение1 to выражение2 do тело цикла
for параметр := выражение2 downto выражение1 do тело цикла
Выражения и параметр цикла должны быть совместимы по присваиванию, оператор – простым или составным.
Выражения, определяющие начальное и конечное значения счетчика, вычисляются один раз до входа в цикл. Цикл for реализован в Паскале как цикл с предусловием, то есть его можно представить в виде эквивалентного оператора while. Это означает, что если условие продолжения цикла не выполняется при первом же значении счетчика, тело цикла не будет пройдено ни разу.
После нормального завершения цикла значение счетчика не определено. Фактически оно равно последнему значению, для которого выполняется условие выхода из цикла, но использовать это в программах не рекомендуется. Также не следует изменять значение счетчика внутри цикла вручную, это может привести к зацикливанию программы
Контрольные вопросы:
Что будет выводиться на экран после выполнения инструкций?
var i : integer;
begin
for i := 1 to 10 do writeln(i)
end.
Ответ: Программа выводит на экран в столбик числа от 1 до 10.
2. Что будет выводиться на экран после выполнения инструкций?
var i, sum : integer;
begin
sum := 0;
for i := 10 downto 1 do begin writeln(i); inc(sum, i); end;
writeln(‘Сумма чисел: ’, sum);
end.
Ответ: Программа выводит на экран в столбик числа от 10 до 1 и подсчитывает их сумму.
3.Сколько раз будут выполнены инструкции между begin и end?
А) for i:= j to j+1 do begin… end
Ответ: 2 раза
Б) k:=0;
for i:= 2 downto k do begin… end
Ответ: 3 раза
Рекомендации по использованию циклов
Часто встречающимися ошибками при программировании циклов являются использование в теле цикла переменных, которым не были присвоены начальные значения, а также неверная запись условия продолжения цикла. Нужно помнить и о том, что в операторе while истинным должно являться условие повторения вычислений, а в операторе repeat – условие их окончания.
Чтобы избежать ошибок, рекомендуется:
не забывать о том, что если в теле циклов while и for требуется выполнить более одного оператора, нужно заключить их в операторные скобки;
убедиться, что всем переменным, встречающимся в правой части операторов присваивания в теле цикла, до этого присвоены значения, а также проверить, возможно ли выполнение других операторов;
проверить, изменяется ли в теле цикла хотя бы одна переменная, входящая в условие продолжения цикла;
предусмотреть аварийный выход из итеративного цикла по достижении некоторого предельно допустимого количества итераций.
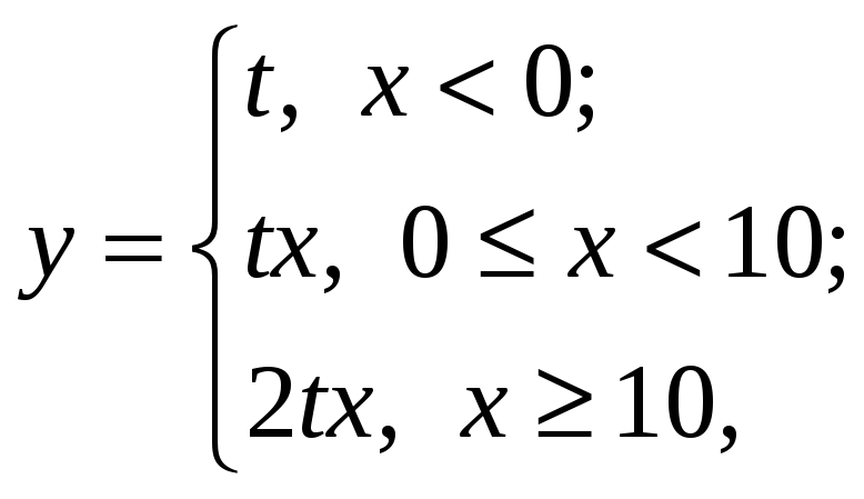
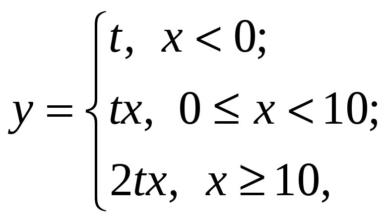
3.Практическая работа - ЦиклыЗадание 1. Написать программу, которая печатает таблицу значений функции 
для аргумента, изменяющегося в заданных пределах с заданным шагом. Рекомендуется использовать оператор цикла с предусловием.
Ч где X0 –начальное значение аргумента;
XN – конечное значение аргумента;
H – шаг изменения аргумента;
t – параметр.
то должно быть дано для вычисления значения функции?
Дано: [X0; XN], H, t
Надо: y
Все величины вещественные. Программа выводит таблицу, состоящую из двух столбцов: значений аргумента и соответствующих им значений аргумента.
Опишем алгоритм в словесной форме.
Ввести исходные данные.
Взять первое значение аргумента.
Определить, какому из интервалов оно принадлежит.
Вычислить значение функции по соответствующей формуле.
Вывести на экран значение аргумента и соответствующее значение функции.
Перейти к следующему значению аргумента.
Если оно не превышает конечное значение, повторить шаги 3 – 6, иначе закончить.
Шаги 3 – 6 повторяются многократно, поэтому для их выполнения надо организовать цикл.

Программа:
program tablica;
var
X0, XN, H, t , x, y : real;
begin
writeln(‘Введите X0, XN, H, t’) ;
readln(X0, XN, H, t);
writeln(‘ X ’, ‘ Y ’) ; {Заголовок таблицы}
x := X0; {Начальные установки}
while x Заголовок цикла}
if x
if (x = 0) and (x
if (x = 10) then y := 2 * t * x;
writeln(x : 9 : 2, y : 9 : 2);
x := x + H; {Модификация параметра цикла} end;
end.
Задание 2. Написать программу, которая вычисляет сумму положительных чисел, введенных с клавиатуры.
Рекомендуется использовать оператор цикла с постусловием.
Опишем алгоритм в словесной форме.
Ввести исходные данные (сумма).
Ввести произвольное число с клавиатуры.
Вычислить значение суммы, если число положительное.
Проверка условия, если число положительное, повторить шаги 2 – 4, иначе закончить цикл.
Вывести на экран значение суммы положительных чисел
Шаги 2– 4 повторяются многократно, поэтому для их выполнения надо организовать цикл с постусловием.
Программа считает сумму, пока числа положительные и завершает свою работу, как только вводится неположительное (отрицательное) число.
Программа:
program summa_pol;
var
numb : intеger; {число, введенное с клавиатуры}
summ : intеger; {сумма введенных положительных чисел}
begin
sum:=0;
repeat
write (‘Введите число’);
readln(numb);
if numb 0 then summ:=summ + numb;
until numb
writeln(‘Сумма введенных положительных чисел:’, summ);
end.
Задание 3. Написать программу, которая выводит таблицу соответствия между температурными шкалами Цельсия и Фаренгейта в интервале температур от точки замерзания воды до точки её кипения.
В привычной для нас шкале Цельсия, точка замерзания воды - 0º, а точка её кипения - 100º. Формула для пересчета имеет вид: TF = 32 + TC*9/5.
Рекомендуется использовать оператор цикла с параметром.
Опишем алгоритм в словесной форме.
Ввести исходные данные (начальное и конечное значение аргумента).
Взять первое значение аргумента.
Определить по формуле температуру по Цельсию.
Определить по формуле соответствующую температуру по Фаренгейту.
Вывести на экран температуру: по Цельсию и по Фаренгейту в одну строку.
Изменение значения переменной – счетчика до конечного значения.
Шаги 2– 6 повторяются многократно, поэтому для их выполнения надо организовать цикл с параметром.
Программа находит значение температур по Цельсию и по Фаренгейт отточки замерзания до точки кипения, пока переменная – счетчик не достигнет конечного значения и затем завершает свою работу.
program Celsius_to_Fahrenheit;
var
i,TC,TF : integer;
Begin
Writeln(‘Tablizha cootvetctvij mezhdy shkalami’);
Writeln(‘Celsiuj i Fahrenheita’);
Writeln;
for i := 0 to 20 do
TC:= 5*i; {температура по Цельсию}
TF:= 32 + TC*9 div 5; {температура по Фаренгейту}
Write (‘TC = ‘ , TC);
Write (‘TF = ‘ , TF);
Writeln;
end;
Readln;
end.
4. Тестовая работа - Циклы
Цикл WHILE называется :
Цикл с предусловием
Цикл с параметром
Цикл с постусловием
Ветвлением
Цикл For называется:
1.Цикл с предусловием
2.Цикл с параметром
3.Цикл с постусловием
4.Ветвлением
Цикл REPEAT называется
Цикл с предусловием
Цикл с параметром
Цикл с постусловием
Ветвлением
Определите значение переменной S после выполнения операторов:
| i:=0; S:=0 While i Begin i:=i+1; S:=S+i*i End; | 0 3 11 14 18 |
5. Сколько строк напечатает программа:
| var k,l: integer; begin FOR k:=8 DOWNTO 1 DO FOR l:=10 TO 14 DOwriteln(‘Мне нравится Паскаль.’); end. | 8 10 14 44 Верного ответа нет |
Какой из операторов цикла имеет 2 вида записи
For…
While…
Repeat…
Верного ответа нет
7. Операторными скобками называются:
( )
begin … end;
Верного ответа нет
8. В каком из операторов допущена синтаксическая ошибка:
For i=1 to 20 do p:=p+1;
While sdo s:=s-3;
Repeat k:=k+1 until k
For I:=10 downto 5 do p:=p+1;
9. Тело цикла для вычисления значений функций f(x)=x4, на отрезке [-5,5] с шагом 0.1 будет иметь вид:
f:= x*x*x*x; x:=x+1;writeln (f,x);
f:=x4; x:=x+1;writeln (f,x);
f:= x*x*x*x; x=x+0.1;writeln (f,x);
f:= x*x*x*x; x:=x+0.1; writeln (f,x);
Оператором цикла не является оператор
While…
For…
Case…
Repeat…
Верного ответа нет
Ответы:
| 1 | 2 | 3 | 4 | 5 | 8 | 9 | 10 | 11 | 12 |
| 1 | 2 | 3 | 4 | 5 | 1 | 3 | 1 | 4 | 3 |
5. Домашнее задание.
Повторить тему «Циклы» и подготовиться к контрольной практической работе.
Напишите программу, которая проверяет, является ли введенное с клавиатуры число простым. Используйте инструкции цикла с постусловием «Repeat….Until».
Напишите программу, которая выводит первые 20 степеней числа 2. Используйте инструкции цикла с параметром.
Литература:
Т. А. Павловская. Паскаль. Программирование на языке высокого уровня. СПб.: Питер, 2006.
А. И. Гусева. Учимся информатике: задачи и методы их решения. М.: «Диалог-МИФИ», 2001.
3. В.И. Фомин, М.М. Волкова, И.Б. Никифоров. Основы информатики и вычислительной техники. Сб. задач и контр. заданий для центров довуз. подгот. СПб., 1997.