Методическое пособие по алгебре.
Тема: «Тригонометрические уравнения»
( В помощь преподавателям и студентам академических лицеев и колледжей)
Составитель: Хаджибаева И.И.
ТАШКЕНТ 2023
Пояснительная записка
Программа рассчитана на 20 часов. Данный курс построен на уже изученном материале “Тригонометрические выражения”. Объяснения даем на глубокое изучение темы "Тригонометрические уравнения", они расположены в основном по возрастанию сложности. Принципы и методы решения тригонометрических уравнений, те же, что и изучали ранее на уроках , но большинство заданий нестандартны. Эти задания развивающего характера.
Цель курса:
Сформировать и систематизировать знания решение нестандартных тригонометрических уравнений;
формировать логическое мышление;
способствовать развитию учебной мотивации и осознанному выбору профилю обучения;
расширить и углубить знания, умения и навыки учащихся по данной теме.
«Алгебра и начала анализа». Тригонометрические уравнения (20ч)
|
| Тема | Кол-во часов |
| 1 | Простейшие тригонометрические уравнения | 4ч |
| 2 | ТригонГеометрические уравнения, сводящиеся к простейшим заменой неизвестного | 4ч |
| 3 | Решение тригонометрических уравнений, применяя основные тригонометрические формулы | 4ч |
| 4 | Однородные уравнения | 4ч |
| 5 | Введение вспомогательного угла | 4ч |
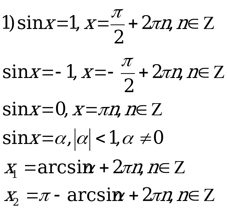
Основные формулы тригонометрии:
Формулы сложения:
Формулы суммы и разности синусов (косинусов):
Формулы двойного аргумента:
Формулы половинного аргумента:
Дополнительные тригонометрические формулы:
1. Решить уравнение
Решение:
Ответ:
.
2. Решить уравнение
.
Решение:
Задания для самостоятельной работы:
Решить уравнения:
| 1) 2) 3) 4)
| 5) 6) 7) 8) |
Решить уравнения:
9)
10)
11)
12)
13)
14)
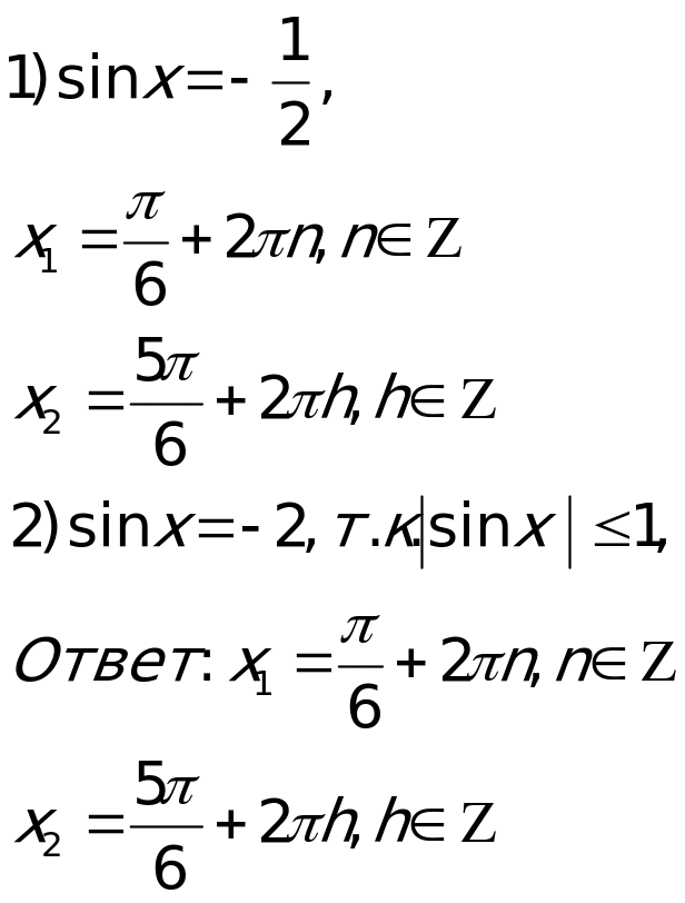
3.Решить уравнение
Решение:
4. Решить уравнение
Решение:
5. Решить уравнение
Решение:
Решение:
Решение:
Уравнение не имеет решения.
Ответ: нет корней
Решить уравнениеРешение:
II.Тригонометрические уравнения, сводящиеся к простейшим с заменой неизвестного.
Рассмотрим примеры решения уравнений f(x)=t, которые проводят к решению квадратных уравнений или рациональных уравнений с неизвестным t.
8. Решить уравнение:
Решение:
Введем новое неизвестное cosx=t, тогда наше уравнение запишем в виде квадратного уравнения с неизвестным t:
2t2+3t+1 = 0, решаем:
Д=1, Д0, два корня;
t1= -1, t2=
Поэтому множество всех решений уравнения
есть объединение решений уравнений: cosx= -1 и cosx=
решение есть
З
адания для самостоятельной работы
sin3х=0
2sin2x-cosx-1=0
tgx+3сtgx=4
9. Решить уравнение sin3х=0
Решение:
Нужно ввести неизвестное 3х=t, тогда уравнение перепишем в виде простейшего тригонометрического уравнения с неизвестным t:
sint= 0
Произведём замену:
(
можно замену и не писать)
10. Решить уравнение 2sin2x-cosx-1=0
Решение:
Используем формулу sin2x=1-cos2x, получаем
р
аскрываем скобки
Заменяем cosx= y, получим квадратное уравнение 2у2+у-1=0
Д0, Д=9, два корня;
х1= -1, х2=
Решением уравнения 2sin2x-cosx-1=0, есть объединение решений уравнений:: cosx=-1, cosx=
1)соsx= -1
11. Решить уравнение:tgx+3ctgx=4.
Заменим
, умножим обе части уравнения на tgx, получим квадратное уравнение: tg2 x + 3 = 4 tgx
tg2 x - 4tgx+3=0
Находим корни этого уравнения: tgx=1, tgx= 3
Объединение решений этих уравнений являются решением данного уравнения.
t
gx=1
tgx=3
III. Решение тригонометрических уравнений, применяя основные тригонометрические формулы
Применение основного тригонометрического тождества
12. Решить уравнение: 3sinx=2cos 2x
Решение: 3sinx=2cos 2x
Применим основное тригонометрическое тождество sin 2x+cos2x=1, перепишем уравнение в виде:
3sinx=2(1-sin2x)
2sin2x+3sinx-2=0
Введем новое неизвестное sinх =t, тогда уравнение запишем в виде квадратного с неизвестным t:
2t2+3t-2=0
Д=25, Д0, два корня;
t1= -2, t2=
Поэтому множество всех решений уравнения 2sin2x+3sinx-2=0, есть объединение решений уравнений: sinх=
и sinх= -2.
т.е это уравнение не имеет решений
Задание для самостоятельной работы:
sin2х+2cosх-2=0
sinх+sin2х+sin3х =0
Решение:
sinх+sin2х+sin3х =0
Сгруппируем и используем формулу преобразования суммы в произведение:
(sinх+ sin3х)+ sin2х+ =0
2sin2xcosx+ sin2x=0
sin2x(2cosx+ 1)=0
Используя правило умножения, если один из множителей равно нулю, то и произведение равно нулю, т.е.:
Sin2х=0 или 2cosx =0
Ответ:
;
14. Решить уравнение: sin2х+2cosх-2=0
Решение: Используем формулу sin2х=1-cos 2х и подставляем в уравнение:
1-cos2x+2cosx-2=0, умножаем обе части уравнения на (-1) и перепишем
cos2x-2cosx+1=0
Заменим cosх=у, решаем квадратное уравнение
У2-2у+1=0
Д=0, один корень
Х=2
Получаем уравнение cosх=2, т.к. [cosх]≤1, т.е уравнение sin2x+2cosx-2=0 не имеет решения.
Ответ: нет корней.
IV. Однородные уравнения
Уравнения вида
, где α ≠ 0 и β ≠ 0, называют однородным тригонометрическим уравнением первой степени.
15. Решить уравнение : sinх+cosх=0
Разделим обе части равенства на cosx, где х ≠ π/2
Получим равенство:
tgx = -1
Ответ:
Задания для самостоятельной работы:
Решение однородных тригонометрических уравнений:
16. Решить уравнение:
Решение:
Разделим обе части уравнения на
Получим уравнение:
Решить уравнение:
Решение:
Разделим обе части уравнения на
У нас получилось квадратное уравнение относительно tgх. Решив его получаем:
18. Решить уравнение :
Решение
Делим обе части уравнения на
V. Введение вспомогательного угла.
Решение:
Разделим обе части уравнения на
освободимся от рациональности в знаменателе, перепишем его в виде
т.к.
,то уравнение можно записать в виде:
получим
Все решения уравнения
удовлетворяют решению уравнения сosx + sinx =
:
Ответ:
20. Решить уравнение:
Решение:
Разделим обе части уравнения на 2:
, перепишем уравнение в виде:
, используя формулу сложения получим:
21. Решить уравнение:
Решение:
Делим обе части уравнения на 2.
Уравнение примет вид
, перепишем уравнение:
, используя формулу сложения получим:
22. Решить уравнение
Решение:
Умножим левую и правую части уравнения на
Т.к. по формуле сложения cosα ּ cosβ + sinα ּ sinβ=cos﴾α-β﴿,то перепишем ур-ние:
Использованная литература
Дорофеев Г.В., Потапов М.К., Розов Н.Х. «Пособие по математике для
поступающих в вузы».
Мельников И.И., Сергеев И.Н. «Как решать задачи по математике на
вступительных экзаменах».
Потапов М.К., Олехник С.Н., Нестеренко Ю.В. «Конкурсные задачи по
математике».
Будак А.Б., Щедрин Б.М. «Элементарная математика».
Сайдаматов Э.М. и др. «Алгебра и основы математического анализа. 2 часть».2007.
Abduhamidov A. U. «Algebra va matematik analiz asoslari. 2 qism.» 2006
16

Тригонометрические уравнения. (367 KB)

