В работе представлены задания открытого и закрытого типов. Тест содержит два равнозначных варианта.
Вариант 1.

Весь материал - смотрите документ.
В работе представлены задания открытого и закрытого типов. Тест содержит два равнозначных варианта.
Вариант 1.

Весь материал - смотрите документ.
Диагностическая работа по теме
«Квадратные неравенства»
Вариант 1
Из предложенных выражений выберите квадратное неравенство. Выпишите правильный ответ.
а) х2 + 5х = 0 в) х2 – 2х
б) – 6х – 8 х + 3 г) х + 9 = 4х – 16
Выясните, решением какого неравенства является число 2. Выпишите правильный ответ.
а) х2 – х х2 + х – 3 0
б) – х2 + 4х – 5 0 г) х2 – 2х
Решите неравенство методом интервалов и выпишите верный ответ. (х – 5)(х + 3) 0![]()
![]()
а) в)
– 5 3 – 3 5![]()
![]()
б) г)
– 3 5 – 5 3
Установите соответствие между квадратными неравенствами и их решениями. Ответ запишите в таблицу.
|
|
| А | [–6; 2] |
| 1 | х2 + 4х – 12 ≥ 0 | Б | (–∞; –2] U [6; +∞) |
| 2 | х2 – 4х – 12 ≤ 0 | В | (–∞; –6] U [2; +∞) |
| 3 | х2 + 4х – 12 ≤ 0 | Г | [–6; –2] |
| 4 | х2 – 4х – 12 ≥ 0 | Д | [–2; 6] |
|
|
| Е | (–∞; 2] U [–6; +∞) |
| 1 | 2 | 3 | 4 |
|
|
|
|
|
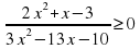
Решите квадратные неравенства и запишите полученные ответы.
а) – 2х2 – 5х + 3 ≤ 0 б) 3х2 – 4х + 7 0
______________ _____________
Подберите числа a и b и составьте квадратное неравенство, решение которого приведено на рисунке:![]()
а b
Запишите решение квадратного неравенства и полученный ответ.

Диагностическая работа по теме
«Квадратные неравенства»
Вариант 2
Из предложенных выражений выберите квадратное неравенство. Выпишите правильный ответ.
а) – х2 + 3х 2 в) х2 – 8х = 16
б) 4х – 9 = х + 7 г) х + 5 2х – 3
Выясните, решением какого неравенства является число 3. Выпишите правильный ответ.
а) х2 – 4х 0 в) х2 – х 0
б) – х2 + 2х + 3 х2 – х – 5
Решите неравенство методом интервалов и выпишите верный ответ. (х – 3)(х + 4) ![]()
![]()
![]()
а) в)
– 3 4 – 4 3![]()
![]()
б) г)
– 4 3 – 3 4
Установите соответствие между квадратными неравенствами и их решениями. Ответ запишите в таблицу.
|
|
| А | (–∞; –5] U [3; +∞) |
| 1 | х2 – 2х – 15 ≤ 0 | Б | [–5; –3] |
| 2 | х2 + 2х – 15 ≥ 0 | В | [–3; 5] |
| 3 | х2 – 2х – 15 ≥ 0 | Г | (–∞; 3] U [5; +∞) |
| 4 | х2 + 2х – 15 ≤ 0 | Д | [–5; 3] |
|
|
| Е | (–∞; –3] U [5; +∞) |
| 1 | 2 | 3 | 4 |
|
|
|
|
|
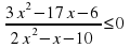
Решите квадратные неравенства и запишите полученные ответы.
а) – 2х2 – х + 6 ≥ 0 б) 2х2 – 5х + 6 0
______________ _____________
Подберите числа a и b и составьте квадратное неравенство, решение которого приведено на рисунке:
а b
Запишите решение квадратного неравенства и полученный ответ.

-80%
Чтобы добавить комментарий зарегистрируйтесь или войдите на сайт