Вариант № 101
Инструкция по выполнению работы
Общее время экзамена – 235 минут.
Характеристика работы. Всего в работе 26 заданий, из которых 20 заданий базового уровня (часть 1), 4 задания повышенного уровня (часть 2) и 2 задания высокого уровня сложности (часть 2). Работа состоит из трех модулей: «Алгебра», «Геометрия», «Реальная математика».
Модуль «Алгебра» содержит 11 заданий: в части 1 – 8 заданий; в части 2 – 3 задания. Модуль «Геометрия» содержит 8 заданий: в части 1 – 5 заданий; в части 2 – 3 задания. Модуль «Реальная математика» содержит 7 заданий: все задания – в части 1.
Советы и указания по выполнению работы. Сначала выполняйте задания части 1. Начать советуем с того модуля, задания которого вызывают у Вас меньше затруднений, затем переходите к другим модулям. Для экономии времени пропускайте задание, которое не удается выполнить сразу, и переходите к следующему. Если у Вас останется время, вы сможете вернуться к пропущенным заданиям.
Все необходимые вычисления, преобразования и т. д. выполняйте в черновике. Если задание содержит рисунок, то на нём непосредственно в тексте работы можно выполнять необходимые Вам построения. Рекомендуем внимательно читать условие и проводить проверку полученного ответа.
При выполнении заданий части 1 ответы укажите сначала на листах с заданиями экзаменационной работы, а затем перенесите в бланк № 1.
Решения к заданиям части 2 и ответы к ним запишите на бланке ответов № 2. Задания можно выполнять в любом порядке, начиная с любого модуля. Текст задания переписывать не надо, необходимо только указать его номер. Обращаем Ваше внимание на то, что записи в черновике не будут учитываться при оценивании работы.
При выполнении работы Вы можете воспользоваться справочными материалами.
Как оценивается работа. Баллы, полученные Вами за верно выполненные задания, суммируются. Для успешного прохождения итоговой аттестации необходимо набрать в сумме не менее 7 баллов, из них не менее 3 баллов по модулю «Алгебра», не менее 2 баллов по модулю «Геометрия» и не менее 2 баллов по модулю «Реальная математика». За каждое правильно выполненное задание части 1 выставляется 1 балл. В каждом модуле части 2 задания расположены по нарастанию сложности и оцениваются в 2 балла.
Желаем успеха!
Часть 1
| Модуль «Алгебра» |
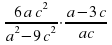
Найдите значение выражения

Ответ:____________________________
Одна из точек, отмеченных на координатной прямой, соответствует числу
Какая это точка?

2)
3)
4)
Значение какого из следующих выражений является наибольшим?
2)
3)
4)
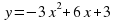
Решите уравнение

Ответ:____________________________
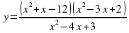
Установите соответствие между функциями и их графиками.
3) 
4) 

| А | Б | В |
|
|
|
|
Дана арифметическая прогрессия 14, 9, 4, … Какое число стоит в этой последовательности на 71-м месте?
Ответ:____________________________
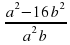
Найдите значение выражения
при 

Ответ:____________________________
Решите неравенство

2)
3)
4)
| Модуль «Геометрия» |
Три угла треугольника относятся как 2 : 11 : 23. Найдите тупой угол треугольника. Ответ дайте в градусах.
Ответ:____________________________
Точка
центр окружности, на которой лежат точки
и
Известно, что
и
Найдите угол
Ответ дайте в градусах.
Ответ:____________________________
В треугольнике
угол
равен
. Найдите радиус
описанной окружности этого треугольника.
Ответ:____________________________

В трапеции
со сторонами
вписана окружность (см. рис).
Найдите сторону

Ответ:______________________
Какие из следующих утверждений верны?
Через точку, не лежащую на данной прямой, можно провести прямую, параллельную этой прямой.
В тупоугольном треугольнике все углы тупые.
Любой квадрат является прямоугольником.
Ответ:____________________________
| Модуль «Реальная математика» |
В таблице приведены результаты соревнований по прыжкам в высоту.
| Спортсмены | А | Б | В | Г | Д | Е |
| Результат (м) | 2,05 | 2,08 | 2,22 | 1,93 | 1,97 | 2,16 |
Какое место займет спортсмен, имеющий результат 2,16 м?
первое место 3) третье место
второе место 4) результат не является призовым
На графике изображена зависимость атмосферного давления (в миллиметрах ртутного столба) от высоты над уровнем моря (в километрах). На какой высоте (в км) летит воздушный шар, если барометр, находящийся в корзине шара, показывает давление 540 миллиметров ртутного столба?

Ответ:____________________________
Магазин делает пенсионерам скидку на определённое количество процентов от стоимости покупки. Десяток яиц стоит в магазине 40 рублей, а пенсионер заплатил за них 36 рублей 40 копеек. Сколько процентов составляет скидка для пенсионера?
Ответ:____________________________
Проектор полностью освещает экран
высотой 50 см, расположенный на расстоянии 100 см от проектора. На каком наименьшем расстоянии (в сантиметрах) от проектора нужно расположить экран
высотой 150 см, чтобы он был полностью освещён, если настройки проектора остаются неизменными?
Ответ:_____________
Какой угол (в градусах) описывает минутная стрелка за 17 минут?
Ответ:____________________________
В лыжных гонках участвуют 13 спортсменов из России, 2 спортсмена из Норвегии и 5 спортсменов из Швеции. Порядок, в котором спортсмены стартуют, определяется жребием. Найдите вероятность того, что первым будет стартовать спортсмен не из России.
Ответ:____________________________
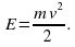
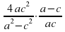
Центростремительное ускорение при движении по окружности (в м/с2) можно вычислить по формуле
где
угловая скорость (в с-1), а
радиус окружности. Пользуясь этой формулой, найдите угловую скорость (в с-1), если радиус окружности равен 3 м, а центростремительное ускорение равно
243 м/с2.
Ответ:____________________________
Часть 2
| При выполнении заданий 21 – 26 используйте отдельный лист. Сначала укажите номер задания, а затем запишите его решение и ответ. Пишите четко и разборчиво. |
| Модуль «Алгебра» |
Решите уравнение
Мотоциклист проехал 40 км от пункта
до пункта
. Возвращаясь обратно со скоростью на 10 км/ч меньше первоначальной, он затратил на путь на 20 мин больше. Найдите первоначальную скорость мотоциклиста.
Постройте график функции
и определите, при каких значениях прямая
имеет с графиком ровно одну общую точку.
| Модуль «Геометрия» |
Найдите площадь выпуклого четырехугольника с диагоналями 8 и 5, если отрезки, соединяющие середины его противоположных сторон, равны.
Дана равнобедренная трапеция
Точка
лежит на основании
и равноудалена от концов другого основания. Докажите, что
середина основания
.
Площадь треугольника
равна 90. Биссектриса пересекает медиану
в точке
, при этом
Найдите площадь четырехугольника


Какая это точка?
3)
4)
2)
3)
4)

3) 
4) 
при 


2)
3)
центр окружности, на которой лежат точки
и
Известно, что
и
Найдите угол
Ответ дайте в градусах.
угол
. Найдите радиус
со сторонами
вписана окружность (см. рис). Найдите сторону

(в джоулях), выделяемое проводником с током, можно вычислить по формуле
где
сила тока (в амперах), 
Какая это точка?
3)
4)
2)
3)
4)

3) 
4) 
, … Какое число стоит в этой последовательности на 81-м месте?
при 

2)
3)
центр окружности, на которой лежат точки
и
Известно, что
и
Найдите угол
Ответ дайте в градусах.
угол
. Найдите радиус
со сторонами
вписана окружность (см. рис).

(кг), движущегося со скоростью
(м/с), вычисляется по формуле
Пользуясь этой формулой, найдите скорость тела массой 3 кг, имеющего кинетическую энергию 54 Дж. Ответ дайте в м/с.


Какая это точка?
3)
4)
2)
3)
4)




… Какое число стоит в этой последовательности на 51-м месте?
при 


3)
4)
центр окружности, на которой лежат точки
и
Известно, что
и
Найдите угол
Ответ дайте в градусах.
угол
. Найдите радиус
со сторонами
вписана окружность (см. рис).


где
градусы Цельсия,
градусы Фаренгейта. Какая температура по шкале Цельсия соответствует
материалы для подготовки к экзаменам (307.6 KB)

