| Раздел долгосрочного плана: 10.1А Молекулярная биология и биохимия | Школа: : КГУ «Средняя школа №2 г.Тайынша» | |||||||||||||||||||||||||
| Дата: | ФИО учителя:Шмидт Г.И. | |||||||||||||||||||||||||
| Класс: 10
| Количество присутствующих: | отсутствующих: | ||||||||||||||||||||||||
| Тема урока | Классификация углеводов: моносахариды, дисахариды, полисахариды. Химическая структура. Свойства и функция углеводов. | |||||||||||||||||||||||||
| Цели обучения, которые достигаются на данном уроке (ссылка на учебную программу) | 10.4.1.2 классифицировать углеводы по их структуре, составу и функциям | |||||||||||||||||||||||||
| Цели урока | Знать классификацию углеводов по структуре, составу и функциям | |||||||||||||||||||||||||
| Критерии оценивания | -определяют группы углеводов и приводят примеры; -описывают химическое строение,свойства и функции углеводов | |||||||||||||||||||||||||
| Языковые цели | Учащиеся смогут: •называть группы углеводов и приводить примеры (навыки говорения и слушания) Предметная лексика и терминология молочная и пировиноградная кислоты, глюкоза, рибоза, дезоксирибоза, дисахариды (сахароза, лактоза), полисахариды (крахмал, гликоген, хитин, целлюлоза) Серия полезных фраз для диалога/письма Типы связей между моносахаридами являются следующими... Реакции полимеризации образуют... Дисахариды X или Y образуются из моносахаридов... Моносахариды соединяются вместе для образования... | |||||||||||||||||||||||||
| Привитие ценностей | Честность, сотрудничество, толерантность, трехъязычие, здоровье, уважение, ответственность и обучение на протяжении всей жизни. | |||||||||||||||||||||||||
| Межпредметные связи | Химия – особенности строения (стадия Осмысления) Физика - особенности физических свойств углеводов (растворимость) (стадия вызова или осмысления) | |||||||||||||||||||||||||
| Предварительные знания
| Репликация ДНК из курса биологии 9 класса. Химический состав клетки из курса биологии 8, 9 класса. Знания из курса химии о химических свойствах воды. Знания из курса физики о физических свойствах воды. Правила техники безопасности и навыки работы в лаборатории, необходимые для выполнения практических работ. | |||||||||||||||||||||||||
| Ход урока | ||||||||||||||||||||||||||
| Запланированные этапы урока | Запланированная деятельность на уроке | Ресурсы | ||||||||||||||||||||||||
| Начало урока 0-1 1-5 6-7
| Оргмомент Мозговой штурм Просмотр видео «Основы питания: Углеводы». (К) Ответьте на вопрос «Что такое углеводы?» и приведите примеры. ПО: Углеводы -это сложные органические вещества, состоящие из атомов углерода, водорода и кислорода. Примеры: простые углеводы-глюкоза, фруктоза-имеют формулу С6Н12О6 ; Сложные углеводы - сахароза, крахмал, целлюлоза и гликоген. Совместное формулирование темы и цели обучения. | Презентация Слайд 1,2 https://twig-bilim.kz/ru/film/food-basics-carbohydrates Слайд 3 | ||||||||||||||||||||||||
| Середина урока 7-12
12-17
17-22
22-35 35-40
| (У) Задание «Подумайте!» Откуда возникло название «углеводы»? ПО: Потому что, углеводы состоят из атома углерода и молекул воды. (К) Задание 1.Заполните таблицу «Классификация углеводов». Предложите учащимся разделить углеводы по количеству атомов углерода и классифицировать на группы моно-, ди- и полисахариды. Следует рассмотреть моносахариды (молочная и пировиноградная кислоты, глюкоза, рибоза, дезоксирибоза), дисахариды (сахароза,мальтоза, лактоза), полисахариды (крахмал, гликоген, хитин, целлюлоза). Критерии оценивания: 1.Верно отмечает примеры моносахаридов. 2.Верно отмечает примеры дисахаридов. 3.Верно отмечает примеры полисахаридов. Самооценивание Комментарии учителя (Г) Задание 2.Хочу знать учащиеся изучают материал о классификации, структуре, составу и функциях углеводов. 1 группа –классификация углеводов; 2 группа- структура углеводов; 3 группа- состав и свойства углеводов; 4 группа-функции углеводов. Защита презентационных работ Критерии оценивания: 1.Верно приводят примеры деления углеводов на группы. 2.Верно описывают структуру углеводов. 3.Верно описывают состав и свойства углеводов. 4.Верно описывают функции углеводов.
Более способным учащимся предлагается задание составить опорный конспект по теме. Учащиеся самостоятельно выполняют задание в тетрадях. Взаимооценивание Комментарии учителя
| Слайд 4,5
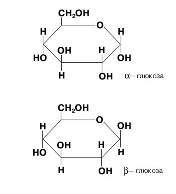
Приложение 1 формулы углеводов слайд 6-9
Слайд 10 Ноутбук или планшет http://foxford.ru/wiki/biologiya/uglevody-ih-stroenie-i-funktsii
| ||||||||||||||||||||||||
| 0-20 20-30 30-35 35-38
| (Г) Задание 1.Проведение исследования на тему: «Определение углеводов с помощью качественных реакций». Оборудование: лоток для лабораторного оборудования, лабораторный штатив с пробирками, водяная баня, сахароза, крахмал, глюкоза, реактив Бенедикта, спиртовой раствор йода. -Инструктаж по Технике безопасности; -Проведение работы; -Оформление работы; -Подведение итогов и выводы. Критерии оценивания: 1.Верно проводит исследование. 2.Правильно заполняет таблицу. 3.Верно определяет с помощью качественных реакций вещества А, В и С. 4.Правильно оформляют работу. (Г) (ФО) Задание 2.Используя опорные слова, зарисуйте концептуальную карту по теме «Классификация углеводов». -Учащиеся выполняют задание самостоятельно. Взаимооценивание работ. Комментарии учителя. (П) (ФО) Задание 3.Заполните таблицу.
Самооценивание. Комментарии и оценка учителем. | Приложение 2 Слайд 11 Слайд 12 листы бумаги А-4 карандаши или фломастеры слайд 13,14 | ||||||||||||||||||||||||
| Конец урока 38-40 | Рефлексия Учитель возвращается к целям урока, обсуждая уровень их достижения. Для дальнейшего планирования уроков учащимся задаются вопросы: - сегодня на уроке я узнал? - теперь я могу? -было интересно…. -Знания, полученные на уроке мне пригодятся? - что осталось непонятным? - над чем необходимо работать? Домашняя работа -повторить пройденный материал; -творческое задание: заполните схему «Практическое значение углеводов». | Слайд 15 Слайд 16,17 | ||||||||||||||||||||||||
| Дифференциация – каким образом Вы планируете оказать больше поддержки? Какие задачи Вы планируете поставить перед более способными учащимися? | Оценивание – как Вы планируете проверить уровень усвоения материала учащимися? | Здоровье и соблюдение техники безопасности | ||||||||||||||||||||||||
| Дифференциация по цели обучения; от ожидаемого результата от конкретного ученика, в оказание индивидуальной поддержки учащемуся, в подборе учебного материала и ресурсов с учетом индивидуальных способностей учащихся (Теория множественного интеллекта по Гарднеру). | Самооценивание Взаимооценивание Комментарии учителя | Соблюдение правил техники безопасности при работе с лабораторным оборудованием (стекло, обогревательные приборы, химические реактивы: реактив Бенедикта, спиртовой раствор йода). @ Рекомендации по технике безопасности: 1. Осторожно работать с реактивами с использованием защитных средств (халат, перчатки, очки) в связи возможными ожогами, отравлениями, порчей одежды. 2. Осторожно работать с водяной баней в связи с возможными термическими ожогами. | ||||||||||||||||||||||||
Приложение 1
Приложение 2
Практическая работа на тему:
«Определение углеводов с помощью качественных реакций».
Цель работы: определение углеводов с помощью качественных реакций.
Гипотеза: __________________________________________________________________________________________________________________________________________________________
Оборудование и реактивы: лоток для лабораторного оборудования, лабораторный штатив с пробирками, водяная баня, растворы; сахароза (A), крахмал (B), глюкоза(C); реактив Бенедикта, спиртовой раствор йода.
Примечание: вещества для исследования, обозначить буквами А, В и С.
Ход работы:
| № | Описание работы | Результаты исследования |
| 1 а в | В три пробирки налейте по 1 мл растворов обозначенные буквами А, В и С.
Прилейте в каждую пробирку по 2 мл реактива Бенедикта и осторожно нагрейте на водяной бане до видимых изменений одной из пробирок. Отметьте изменения и запишите результаты исследования.
В три пробирки с веществами А ,В и С добавьте по 3 капли раствора йода. Запишите результаты опыта.
Сформулируйте вывод. |
|
| Вывод |
| |
|
|
|
6

КСП Тема:"Классификация углеводов" 10 кл. (740 KB)

