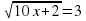
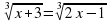
Самостоятельная работа (уровень А)
по теме: «Иррациональные уравнения»
| Вариант 1 | Вариант 2 |
| Решить уравнение: | Решить уравнение: |
|  |  |
.
Самостоятельная работа (уровень А)
по теме: «Иррациональные уравнения»
| Вариант 3 | Вариант 4 |
| Решить уравнение: | Решить уравнение: |
|  |  |
.
Самостоятельная работа (уровень А)
по теме: «Иррациональные уравнения»
| Вариант 5 | Вариант 6 |
| Решить уравнение: | Решить уравнение: |
|  |  |
.
Самостоятельная работа (уровень А)
по теме: «Иррациональные уравнения»
| Вариант 7 | Вариант 8 |
| Решить уравнение: | Решить уравнение: |
|  |  |
.
Самостоятельная работа (уровень А)
по теме: «Иррациональные уравнения»
| Вариант 9 | Вариант 10 |
| Решить уравнение: | Решить уравнение: |
|  |  |
.
Самостоятельная работа (уровень А)
по теме: «Иррациональные уравнения»
| Вариант 11 | Вариант 12 |
| Решить уравнение: | Решить уравнение: |
|  |  |
.
Самостоятельная работа (уровень А)
по теме: «Иррациональные уравнения»
| Вариант 13 | Вариант 14 |
| Решить уравнение: | Решить уравнение: |
|  |  |
.
Самостоятельная работа (уровень А)
по теме: «Иррациональные уравнения»
| Вариант 15 | Вариант 16 |
| Решить уравнение: | Решить уравнение: |
|  |  |
.
Самостоятельная работа (уровень А)
по теме: «Иррациональные уравнения»
| Вариант 17 | Вариант 18 |
| Решить уравнение: | Решить уравнение: |
|  |  |
.
Самостоятельная работа (уровень А)
по теме: «Иррациональные уравнения»
| Вариант 19 | Вариант 20 |
| Решить уравнение: | Решить уравнение: |
|  |  |
.
Самостоятельная работа (уровень А)
по теме: «Иррациональные уравнения»
| Вариант 21 | Вариант 22 |
| Решить уравнение: | Решить уравнение: |
|  |  |
.
Самостоятельная работа (уровень А)
по теме: «Иррациональные уравнения»
| Вариант 23 | Вариант 24 |
| Решить уравнение: | Решить уравнение: |
|  |  |
.
Самостоятельная работа (уровень А)
по теме: «Иррациональные уравнения»
| Вариант 25 | Вариант 26 |
| Решить уравнение: | Решить уравнение: |
|  |  |
.
Самостоятельная работа (уровень А)
по теме: «Иррациональные уравнения»
| Вариант 27 | Вариант 28 |
| Решить уравнение: | Решить уравнение: |
|  |  |
.
Самостоятельная работа (уровень А)
по теме: «Иррациональные уравнения»
| Вариант 29 | Вариант 30 |
| Решить уравнение: | Решить уравнение: |
|  |  |
.
Самостоятельная работа (уровень B)
по теме: «Иррациональные уравнения»
| Вариант 31 | Вариант 32 |
| Решить уравнение: | Решить уравнение: |
|  | |
.
Самостоятельная работа (уровень B)
по теме: «Иррациональные уравнения»
| Вариант 33 | Вариант 34 |
| Решить уравнение: | Решить уравнение: |
|  |  |
.
Самостоятельная работа (уровень B)
по теме: «Иррациональные уравнения»
| Вариант 35 | Вариант 36 |
| Решить уравнение: | Решить уравнение: |
|  |  |
.
Самостоятельная работа (уровень B)
по теме: «Иррациональные уравнения»
| Вариант 37 | Вариант 38 |
| Решить уравнение: | Решить уравнение: |
|  |  |
.
Самостоятельная работа (уровень B)
по теме: «Иррациональные уравнения»
| Вариант 39 | Вариант 40 |
| Решить уравнение: | Решить уравнение: |
| |  |
.
Самостоятельная работа (уровень B)
по теме: «Иррациональные уравнения»
| Вариант 41 | Вариант 42 |
| Решить уравнение: | Решить уравнение: |
|  |  |
.
Самостоятельная работа (уровень B)
по теме: «Иррациональные уравнения»
| Вариант 43 | Вариант 44 |
| Решить уравнение: | Решить уравнение: |
| |  |
.
Самостоятельная работа (уровень B)
по теме: «Иррациональные уравнения»
| Вариант 45 | Вариант 46 |
| Решить уравнение: | Решить уравнение: |
|  |  |
.
Самостоятельная работа (уровень B)
по теме: «Иррациональные уравнения»
| Вариант 47 | Вариант 48 |
| Решить уравнение: | Решить уравнение: |
|  |  |
.
Самостоятельная работа (уровень B)
по теме: «Иррациональные уравнения»
| Вариант 49 | Вариант 50 |
| Решить уравнение: | Решить уравнение: |
|  |  |
.
Самостоятельная работа (уровень B)
по теме: «Иррациональные уравнения»
| Вариант 51 | Вариант 52 |
| Решить уравнение: | Решить уравнение: |
|  |  |
.
Самостоятельная работа (уровень C)
по теме: «Иррациональные уравнения»
| Вариант 53 | Вариант 54 |
| Решить уравнение: | Решить уравнение: |
|  |  |
.
Самостоятельная работа (уровень C)
по теме: «Иррациональные уравнения»
| Вариант 55 | Вариант 56 |
| Решить уравнение: | Решить уравнение: |
| |  |
.
Самостоятельная работа (уровень C)
по теме: «Иррациональные уравнения»
| Вариант 57 | Вариант 58 |
| Решить уравнение: | Решить уравнение: |
|  |  |
.
Самостоятельная работа (уровень C)
по теме: «Иррациональные уравнения»
| Вариант 59 | Вариант 60 |
| Решить уравнение: | Решить уравнение: |
|  |  |
.
Самостоятельная работа (уровень B)
по теме: «Иррациональные уравнения»
| Вариант 61 | Вариант 62 |
| Решить уравнение: | Решить уравнение: |
|  |  |
.
Самостоятельная работа (уровень C)
по теме: «Иррациональные уравнения»
| Вариант 63 | Вариант 64 |
| Решить уравнение: | Решить уравнение: |
| | |
.
Самостоятельная работа (уровень B)
по теме: «Иррациональные уравнения»
| Вариант 65 | Вариант 66 |
| Решить уравнение: | Решить уравнение: |
|  |  |
.
Самостоятельная работа (уровень B)
по теме: «Иррациональные уравнения»
| Вариант 67 | Вариант 68 |
| Решить уравнение: | Решить уравнение: |
|  |  |
.