Задания для олимпиады составлены по следующим темам:
1. Формулы сокращенного умножения
2. Пропорции.
3.Показательные уравнения и неравенства
4. Логарифмические уравнеия.
5. Системы уравнений.

Весь материал - смотрите документ.
Задания для олимпиады составлены по следующим темам:
1. Формулы сокращенного умножения
2. Пропорции.
3.Показательные уравнения и неравенства
4. Логарифмические уравнеия.
5. Системы уравнений.

Весь материал - смотрите документ.
Варианты заданий для олимпиады по математике
Вариант 1
Вычислить

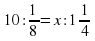
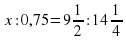
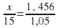
Найти неизвестный член пропорции:

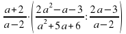
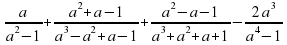
Упростить выражение:

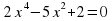
Решить уравнение:



Решить неравенство:

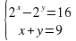
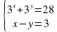
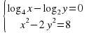
Решить систему уравнений:

Вариант 2
Вычислить

Найти неизвестный член пропорции:

Упростить выражение:

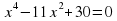
Решить уравнение:


=0
Решить неравенство:

Решить систему уравнений:

Вариант 3
Вычислить

Найти неизвестный член пропорции:

Упростить выражение:

Решить уравнение:



Решить неравенство:

Решить систему уравнений:

Вариант 4
Вычислить

Найти неизвестный член пропорции:
Упростить выражение:
Решить уравнение:
Решить неравенство:
Решить систему уравнений:
-80%