Контрольно-измерительная работа по математике 10 класс (входной контроль)
Инструкция для обучающихся
Перед Вами задания по математике. Внимательно читайте задания.
Часть I
К каждому заданию (№№ 1-16) даны варианты ответов. Выберите из них единственно верный и отметьте его в БЛАНКЕ МОНИТОРИНГА.
1. Вычислите (7,5 · 18,3 – 13,3 · 7
) : 75
1) 0,5 2) 5 3) 50 4) 500
2. Вычислите значение выражения ![]()
1) – 18 2) – 9 3)
4) 9
3. Из формулы площади круга S =
r2 выразите радиус r
1)
2)
3)
4) ![]()
4. За стиральную машину заплатили 7000 р. Стоимость установки составляет 12% от стоимости машины. Найдите стоимость стиральной машины вместе с установкой
1) 840 2) 7012 3) 7084 4) 7840
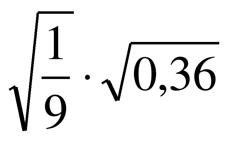
5. Выполните действия ![]()
1)
2) ![]()
![]()
3)
4) ![]()
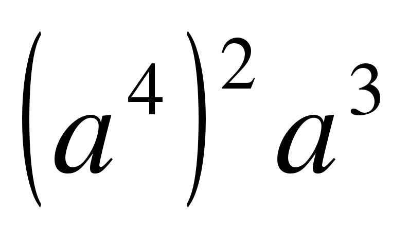
6. Укажите выражение, тождественно равное многочлену ![]()
1)
2)
3)
4) ![]()
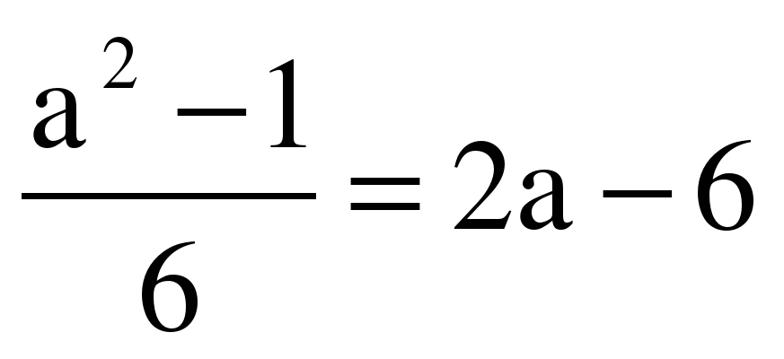
7. Вычислите
– ![]()
1) 74 2) 80 – 2
3) 314 4) 320 – 6
8. Выберите число, которое является корнем уравнения 2(х – 5) = х + 1
1) 11 2) 5 3) 0 4) –1
9. Выберите уравнение, корни которого равны 1 и 0,4
1)
2)
3)
4) ![]()
10. Укажите верное решение неравенства 3(2+х) – х 1 – 5х
1)
2) (-
) 3)
4) (
)
11. Газон прямоугольной формы со сторонами 5 метров и 6 метров занимает
площади садового участка. Найдите площадь садового участка
1) 20 2) 35 3) 45 4) 60
12. Определите формулу для функции, график которой изображён на рисунке

1) у = – х2 2) у = х+2 3) у = –х2 – 1 4) у = х2 +1
13. Используя график функции на рисунке, выберите неверное утверждение

1) у0 при х
2) функция убывает на промежутке (–
;–2]
3) если х= –5, то у=0
4) у= –9 при х= –2
14. Укажите прямую, которая проходит через начало координат и параллельна прямой у= –0,5х –6
1) у = 4х 2) у = 2х + 1 3) у = –
х 4) у = –
х
15. Один из катетов прямоугольного треугольника равен
дм, а гипотенуза равна 10см. Найдите второй катет
1)
см 2)
дм 3) 5см 4)
дм
16. Периметр ромба 68см, а одна из его диагоналей равна 30см. Найдите длину (в сантиметрах) другой диагонали ромба
1) 8 2) 12 3) 16 4) 20
Часть II
Ответы на задания второй части (№№17-24) записывайте в БЛАНК МОНИТОРИНГА словами, буквами, числами, как требует того вопрос.
17. В кассе магазина всего 33 монеты достоинством 2 рубля и 5 рублей на сумму 144 рубля. Найдите число двухрублевых монет
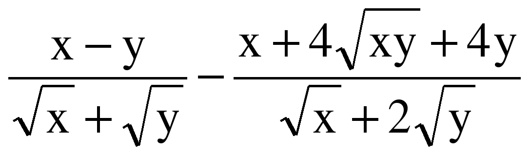
18. Решите уравнение
Ответ: х= _____
19. Вычислите координаты точек пересечения графиков функций у = 6 – х и у = 2х – 15
В ответе укажите сумму абсциссы и ординаты
20. Укажите наибольшее целое число, входящее в область определения функции у =![]()
21. Из прямоугольного листа картона, размеры которого 56 см и 32 см, надо сделать коробку без крышки. Для этого по углам листа вырезают одинаковые квадраты и загибают края вверх. Чему должна быть равна сторона вырезаемого квадрата в сантиметрах, чтобы дно коробки имело площадь 640 см2?
22. Дана трапеция АВСD, диагонали которой пересекаются в точке O. Найдите основание АВ, если OD = 15 см, ОВ = 9 см, CD = 25 см
23. B треугольник АВС вписана окружность, касающаяся стороны АВ в точке М, стороны ВС в точке К и стороны АС в точке Р. Найдите длину отрезка КС , если сторона ВС равна 15см, отрезок МВ равен 6см
24. На координатной плоскости нарисуйте четырехугольник, вершины которого имеют координаты (0, 0), (–2, 0), (–3, –3), (–1, –3). Площадь четырехугольника равна _______


. На рисунке жирными точками показана цена нефти на момент закрытия биржевых торгов во все рабочие дни с 4 по 19 апреля 2002 года. По горизонтали указываются числа месяца, по вертикали – цена барреля нефти в долларах США. Для наглядности жирные точки на рисунке соединены линией. Определите наибольшую цену нефти на момент закрытия торгов в период с 9 по 19 апреля (в долларах США за баррель).

. На рисунке жирными точками показана цена нефти на момент закрытия биржевых торгов во все рабочие дни с 4 по 19 апреля 2002 года. По горизонтали указываются числа месяца, по вертикали – цена барреля нефти в долларах США. Для наглядности жирные точки на рисунке соединены линией. Определите наибольшую цену нефти на момент закрытия торгов в период с 9 по 19 апреля (в долларах США за баррель).







в виде степени


)
CD

2)
3)
4)

2) 5
3) 2
4) 5
км, а на автомобиле проехал на 3
км больше.
км 2) 5
км 3) 2
км
Вводное тестирование (380.91 KB)

