Тип урока: Урок применения знаний и умений
Цели:
образовательные: повторить, обобщить, систематизировать знания учащихся об общих методах решения уравнений; проверить усвоения знаний на обязательном уровне; обеспечить овладение всеми учащимися основными алгоритмическими приёмами решения уравнений;
развивающие: развивать умения учащихся работать с тестовыми заданиями, формировать навыки самостоятельной работы; развивать мыслительные операции: обобщение, сравнение, аналогия, анализ; развивать логическое мышление, познавательный интерес;
воспитательные: приучить к эстетическому оформлению записи в тетради и на доске, воспитывать умение выступать перед аудиторией и выслушивать других, умение общаться.
Оборудование: Доска, проектор, экран, карточки с заданиями для самостоятельной работы.
ХОД УРОКА
1. Организационный момент
Учащимся предлагается обратить внимание на смайлики на доске (слайд 1) и выбрать тот, который отображает их настроение в начале урока. Тема урока «Решение уравнений» (слайд 2).
2. Постановка цели урока
Цель урока: повторить, обобщить, систематизировать знания об общих методах решения уравнений; обеспечить овладение всеми учащимися основными алгоритмическими приёмами решения уравнений, формировать навыки самостоятельной работы; развивать мыслительные операции: обобщение, сравнение, аналогия, анализ; подготовить учащихся для успешной сдачи внешнего независимого оценивания. Перед учащимися поставлена задача: повторить основные алгоритмические приёмы решения уравнений, с которыми они знакомы из основной школы, рассмотреть задания повышенного уровня сложности.
3. Проверка домашнего задания
(Тема предыдущего урока «Применение свойств функции при решении уравнений»)
Используя свойства функции, решить уравнения:
а) x3=2-x
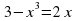
б) 3-x3=2x
Один ученик выполняет задание а) у доски. Остальные в это время выполняют упражнения б) и в) по предложенной учителем схеме, после чего класс слушает и контролирует ответ вызванного ученика.
В образце оформления заданий б), заранее воспроизведенного на доске, имеются пропуски. В процессе их заполнения осуществляется проверка выполнения данного задания.
В образце оформления задания в), заранее воспроизведенного на доске, преднамеренно допущены ошибки. В процессе их нахождения и исправления осуществляется проверка данного задания.
Учащимся с высоким уровнем знаний по теме предлагаются задания на карточках.
4. Актуализация знаний.
Буквоград. Проанализируйте высказывания. Зачеркните в таблице буквы, обозначающие ложные высказывания (номер высказывания совпадает с порядковым номером буквы). Из оставшихся букв получите слово. (Слайды 3 - 14. На каждом слайде вопрос и таблица буквы на которой постепенно зачеркиваются).
|
1 |
2 |
3 |
4 |
5 |
6 |
7 |
8 |
9 |
10 |
11 |
12 |
|
О |
Д |
Т |
Л |
Р |
И |
К |
Ч |
Г |
Н |
А |
О |
Весь материал – смотрите документ.




.
имеет два корня.
имеет четное количество корней.
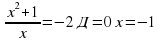
имеет только один корень 4.
корней не имеет.
имеет решения.
2
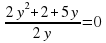
являются противоположными числами.
имеет один корень.

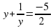
, 


Д = 9 у1= -1/2 у2 = -2



Урок математики "Решение уравнений" (46 КB)

