
Практическая работа №2 – Нахождение значений функции
Задание 1. Адресация и вычисления. (4 балла)
Задание 2. Формат. (1 балл)
Задание 1. Адресация и вычисления
Постановка задачи:
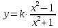
Вычислить значения функции

для всех х на интервале [-2,2] с шагом 0,2 при k = 10.
Заполните основную и вспомогательную таблицы для расчетов, как показано на рис. 1.

Начальное значение x


Шаг

Рис. 1
1.2. Используя функцию автозаполнения, заполните столбец А числами от 1 до 21, начиная с ячейки А2 и заканчивая ячейкой А22 аналогично тому, как заполнили блок ячеек годами и датами в работе №1.
1.3. Адресация.
Заполните столбец B значениями x:
в ячейку В2 занесите формулу =$Н$2
Это означает, что в ячейку В2 заносится значение из ячейки Н2 (начальное значение x), знак $ указывает на абсолютную адресацию.
в ячейку ВЗ занесите формулу =B2+$I$2
Это означает, что в этой ячейке начальное значение x будет увеличено на величину шага, которая берется из ячейки I2.
заполните э той формулой ячейки В4:В22
Столбец заполнится значениями X от -2 до 2 с шагом 0,2.
1.4. Поместите в ячейку C2 формулу значение которой – адрес на коэффициент k (ячейка J2). Заполните этой формулой (выбрав предварительно необходимый тип адресации в ней) блок C3:C22.
1.5. Заполните столбец D значениями функции: 
в ячейку D2 занесите формулу

заполните этой формулой ячейки D3:D22.
Столбец заполнился как положительными, так и отрицательными значениями функции y1. Проверьте – начальное значение 3 и конечное значение 3.
1.6. Аналогичным образом заполните столбец E значениями функции:

Проверьте – все значения положительные, начальное значение 3 и конечное значение 3.
1.7. Заполните столбец F значениями функции 
в ячейку F2 занесите формулу:

заполните этой формулой ячейки F2: F22.
Проверьте! Значения функции как положительные, так и отрицательные. Начальное значение 6. Конечное значение 6.
1.8. Теперь измените исходные значения в дополнительной таблице и посмотрите за изменениями в основной.
Покажите результат преподавателю.
Задание 2. Формат
Оформите внешний вид таблицы, как показано на рис. 2. Ниже – подробнее.

Рис. 2
2.1. Вставьте две пустые строки сверху:
ПКМ на первой строке → вставить → строку.
2.2. Объедините в первых двух строках требуемые ячейки (см. рис. 2):
Выделить нужные ячейки
Объединить ячейки
2.3. В полученные ячейки занесите заголовки таблиц (см. рис. 2).
2.4. Сделайте выделение у границ таблицы:
Выделить нужные ячейки, нажав клавишу Ctrl → ПКМ по выделенным ячейкам → Формат ячеек → Граница → Отметить «внешние» и «внутренние» → Ok.
2.4. Сделайте заливку ячеек таблицы (см. рис. 2):
Выделить нужные ячейки, нажав клавишу Ctrl → ПКМ по выделенным ячейкам → Формат ячеек → Заливка → Выбрать цвет → Ok.
2.5. Сохраните свою работу под именем work2_1 – она вам потребуется для дальнейших практических работ.
Покажите результат преподавателю.


Урок Excel Практическая работа №2 (256.45 KB)

