Рабочая программа
учебного курса по математике для 7 класса
Разработала: Троянова Валентина Васильевна
учитель физики и математики
МБОУ «Валуецкая СОШ»
Пояснительная записка
Рабочая программа учебного курса по математике для 7 класса составлена на основе Примерной программы основного общего образования по математике, с учетом требований федерального компонента государственного стандарта основного общего образования и в соответствии с базисным учебным планом школы с использованием примерной программы курса алгебры авторов Ю. Н. Макарычев, и др., курса геометрии авторов Л. С. Атанасян и др.(М.: Просвещение,2009 ).
Цели обучения математики в общеобразовательной школе определяются ее ролью в развитии общества в целом и формировании личности каждого отдельного человека. Алгебра нацелена на формирование математического аппарата для решения задач из математики и смежных предметов (физика, химия, основы информатики и вычислительной техники и др.).
В задачи обучения математики входит:
овладение системой математических знаний и умений, необходимых для применения практической деятельности изучения смежных дисциплин, продолжения образования;
овладение навыками дедуктивных рассуждений;
интеллектуальное развитие, формирование качеств личности, необходимых человеку для полноценной жизни в современном обществе: ясность и точность мысли, критичность мышления, интуиция, логическое мышление, элементы алгоритмической культуры, необходимой, в частности, для освоения курса информатики;
формирование представлений об идеях и методах математики как универсального языка науки и техники, средства моделирования явлений и процессов;
получение школьниками конкретных знаний о функциях как важнейшей математической модели для описания и исследования разнообразных процессов (равномерных, равноускоренных, экспоненциальных, периодических и т.д.);
воспитание культуры личности, отношения к математике как части общечеловеческой культуры, понимание значимости математики для научно технического прогресса;
развитие представлений о полной картине мира, о взаимосвязи математики с другими предметами.
Курс алгебры построен в соответствии с традиционными содержательно-методическими линиями: числовой, функциональной, алгоритмической, уравнений и неравенств, алгебраических преобразований. В курсе алгебры 7-го класса продолжается систематизация сведений о преобразовании выражений и решении уравнений с одним неизвестным. Специальное внимание уделяется новым вопросам: употреблению знаков
или
, записи и чтению двойных неравенств, понятиям тождества, тождественного преобразования, линейного уравнения с одним неизвестным, равносильных уравнений. Формируется понятие функции, что является начальным этапом в обеспечении систематической функциональной подготовки учащихся. Продолжается изучение степени с натуральным показателем. Изучаются свойства функций
и
, и особенности расположения их графиков в координатной плоскости. Главное место занимают алгоритмы действий с многочленами – сложение, вычитание и умножение. Особое внимание уделяется разложению многочленов на множители с помощью вынесения за скобки общего множителя и с помощью группировки. Вырабатываются умения применять формулы сокращенного умножения как для преобразования произведения в многочлен, так и для разложения на множители. Даются первые знания по решению систем линейных уравнений с двумя переменными, что позволяет значительно расширить круг текстовых задач. Серьезное внимание уделяется формированию умений рассуждать, делать простые доказательства, давать обоснования выполняемых действий. Параллельно закладываются основы для изучения систематических курсов стереометрии, физики, химии и других смежных предметов.
В курсе геометрии 7-го класса расширяются сведения о геометрических фигурах. На начальном этапе основное внимание уделяется двум аспектам: понятию равенства геометрических фигур (отрезков и углов) и свойствами измерения отрезков и углов. Главное место занимают признаки равенства треугольников. Формируются умения выделять равенство трех соответствующих элементов данных треугольников и делать ссылки на изученные признаки. Особое внимание уделяется доказательству параллельности прямых с использованием соответствующих признаков. Теорема о сумме углов треугольника позволяет получить важные следствия, что существенно расширяет класс решаемых задач. Серьезное внимание уделяется формированию умений рассуждать, делать простые доказательства, давать обоснования выполняемых действий. Параллельно закладываются основы для изучения систематических курсов стереометрии, физики, химии и других смежных предметов.
Программой отводится на изучение алгебры 125 часов, геометрии 50 часов в учебный год. Предусмотрено 15 контрольных работ.
Учебный материал алгебры и геометрии изучаются блоками.
Данное планирование определяет достаточный объем учебного времени для повышения математических знаний учащихся в среднем звене школы, улучшения усвоения других учебных предметов.
Статистическая линия в 7 классе реализуется в количестве 10 часов ( алгебра 4 часа и геометрия 6 часов: определение, доказательство, аксиомы и теоремы, следствия, необходимое и достаточное условия, контрпримеры, доказательства от противного, прямые и обратные теоремы.)
Промежуточная аттестация проводится в форме тестов, самостоятельных, проверочных работ (по 10 - 15 минут) в конце логически законченных блоков учебного материала. Итоговая аттестация предусмотрена в виде административной контрольной работы.
Для реализации рабочей программы используется учебно-методический комплект, включающий:
Программы общеобразовательных учреждений. Алгебра 7-9 классы, геометрия 7-9 классы. Составитель Бурмистрова Т.А. – М,.: «Просвещение», 2009.
Макарычев Ю. Н., Миндюк Н. Г., Нешков К. И., Суворова С. Б. Алгебра 7: Учебник для общеобразовательных учреждений. – М.: Просвещение, 2011.
Атанасян, В.Ф. Бутузов и др. Геометрия 7 -9: Учебник для общеобразовательных учреждений. – М.: Просвещение, 2011..
.А..В. Фарков Тесты по геометрии – М .: Экзамен, 2010
Ю.А. Глазков, М.Я. Гаиашвили . Тесты по алгебре – М. : Экзамен, 2010
СОДЕРЖАНИЕ ОБУЧЕНИЯ
1. Выражения, тождества, уравнения
Числовые выражения с переменными. Простейшие преобразования выражений. Уравнение, корень уравнения. Линейное уравнение с одной переменной. Решение текстовых задач методом составления уравнений. Статистические характеристики.
Основная цель — систематизировать и обобщить сведения о преобразованиях алгебраических выражений и решении уравнений с одной переменной.
Первая тема курса 7 класса является связующим звеном между курсом математики 5—6 классов и курсом алгебры. В ней закрепляются вычислительные навыки, систематизируются и обобщаются сведения о преобразованиях выражений и решении уравнений.
Нахождение значений числовых и буквенных выражений дает возможность повторить с учащимися правила действий с рациональными числами. Умения выполнять арифметические действия с рациональными числами являются опорными для всего курса алгебры. Следует выяснить, насколько прочно овладели ими учащиеся, и в случае необходимости организовать повторение с целью ликвидации выявленных пробелов. Развитию навыков вычислений должно уделяться серьезное внимание и в дальнейшем при изучении других тем курса алгебры.
В связи с рассмотрением вопроса о сравнении значений выражений расширяются сведения о неравенствах: вводятся знаки и
При рассмотрении преобразований выражений формально-оперативные умения остаются на том же уровне, учащиеся поднимаются на новую ступень в овладении теорией. Вводятся понятия «тождественно равные выражения», «тождество», «тождественное преобразование выражений», содержание которых будет постоянно раскрываться и углубляться при изучении преобразований различных алгебраических выражений. Подчеркивается, что основу тождественных преобразований составляют свойства действий над числами.
Усиливается роль теоретических сведений при рассмотрении уравнений. С целью обеспечения осознанного восприятия учащимися алгоритмов решения уравнений вводится вспомогательное
понятие равносильности уравнений, формулируются и разъясняются на конкретных примерах свойства равносильности. Дается понятие линейного уравнения и исследуется вопрос о числе его корней. В системе упражнений особое внимание уделяется решению уравнений вида ах = b при различных значениях а и b. Продолжается работа по формированию у учащихся умения использовать аппарат уравнений как средство для решения текстовых задач. Уровень сложности задач здесь остается таким же, как в 6 классе.
Начальные геометрические сведения
Простейшие геометрические фигуры: прямая, точка, отрезок, луч, угол. Понятие равенства геометрических фигур. Сравнение отрезков и углов. Измерение отрезков, длина отрезка. Измерение углов, градусная мера угла. Смежные и вертикальные углы, их свойства. Перпендикулярные прямые.
Основная цель — систематизировать знания учащихся о простейших геометрических фигурах и их свойствах; ввести понятие равенства фигур.
В данной теме вводятся основные геометрические понятия и свойства простейших геометрических фигур на основе наглядных представлений учащихся путем обобщения очевидных или известных из курса математики 1—6 классов геометрических фактов. Понятие аксиомы на начальном этапе обучения не вводится, и сами аксиомы не формулируются в явном виде. Необходимые исходные положения, на основе которых изучаются свойства геометрических фигур, приводятся в описательной форме. Принципиальным моментом данной темы является введение понятия равенства геометрических фигур на основе наглядного понятия наложения. Определенное внимание должно уделяться практическим приложениям геометрических понятий.
3. Статистические характеристики.(4 ч.) Функции
Статистические характеристики. Основная цель – ознакомить учащихся с простейшими статистическими характеристиками: средним арифметическим, модой , медианой , размахом.
Учащиеся должны уметь использовать эти характеристики для анализа ряда данных в несложных ситуациях.
Функция, область определения функции. Вычисление значений функции по формуле. График функции. Прямая пропорциональность и ее график. Линейная функция и ее график.
Основная цель — ознакомить учащихся с важнейшими функциональными понятиями и с графиками прямой пропорциональности и линейной функции общего вида.
Данная тема является начальным этапом в систематической функциональной подготовке учащихся. Здесь вводятся такие понятия, как функция, аргумент, область определения функции, график функции. Функция трактуется как зависимость одной переменной от другой. Учащиеся получают первое представление о способах задания функции. В данной теме начинается работа по формированию у учащихся умений находить по формуле значение функции по известному значению аргумента, выполнять ту же задачу по графику и решать по графику обратную задачу.
Функциональные понятия получают свою конкретизацию при изучении линейной функции и ее частного вида — прямой пропорциональности. Умения строить и читать графики этих функций широко используются как в самом курсе алгебры, так и в курсах геометрии и физики. Учащиеся должны понимать, как влияет знак коэффициента на расположение в координатной плоскости графика функции у = kx, где k # 0, как зависит от значений k и Ъ взаимное расположение графиков двух функций вида у = kx + b.
Формирование всех функциональных понятий и выработка соответствующих навыков, а также изучение конкретных функций сопровождаются рассмотрением примеров реальных зависимостей между величинами, что способствует усилению прикладной направленности курса алгебры.
4. Треугольники
Треугольник. Признаки равенства треугольников. Перпендикуляр к прямой. Медианы, биссектрисы и высоты треугольника. Равнобедренный треугольник и его свойства. Задачи на построение с помощью циркуля и линейки.
Основная цель — ввести понятие теоремы; выработать умение доказывать равенство треугольников с помощью изученных признаков; ввести новый класс задач — на построение с помощью циркуля и линейки.
Признаки равенства треугольников являются основным рабочим аппаратом всего курса геометрии. Доказательство большей части теорем курса и также решение многих задач проводится по следующей схеме: поиск равных треугольников — обоснование их равенства с помощью какого-то признака — следствия, вытекающие из равенства треугольников. Применение признаков равенства треугольников при решении задач дает возможность постепенно накапливать опыт проведения доказательных рассуждений. На начальном этапе изучения и применения признаков равенства треугольников целесообразно использовать задачи с готовыми чертежами.
5. Степень с натуральным показателем
Степень с натуральным показателем и ее свойства. Одночлен. Функции у = х2, у = х3 и их графики.
Основная цель — выработать умение выполнять действия над степенями с натуральными показателями.
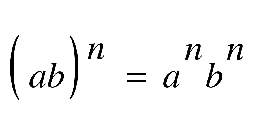
В данной теме дается определение степени с натуральным показателем. В курсе математики 6 класса учащиеся уже встречались с примерами возведения чисел в степень. В связи с вычислением значений степени в 7 классе дается представление о нахождении значений степени с помощью калькулятора. Рассматриваются свойства степени с натуральным показателем. На примере доказательства свойств ат • ап = ат + п, ат : ап = ат - п, где т п, (ат)п = атп, (ab)n = апbп учащиеся впервые знакомятся с доказательствами, проводимыми на алгебраическом материале. Указанные свойства степени с натуральным показателем находят применение при умножении одночленов и возведении одночленов в степень. При нахождении значений выражений, содержащих степени, особое внимание следует обратить на порядок действий.
Рассмотрение функций у = х2, у = х3 позволяет продолжить работу по формированию умений строить и читать графики функций. Важно обратить внимание учащихся на особенности графика функции у = х2: график проходит через начало координат, ось Оу является его осью симметрии, график расположен в верхней полуплоскости.
Умение строить графики функций у = х2 и у = х3 используется для ознакомления учащихся с графическим способом решения уравнений
6. Параллельные прямые
Признаки параллельности прямых. Аксиома параллельных прямых. Свойства параллельных прямых.
Основная цель — ввести одно из важнейших понятий — понятие параллельных прямых; дать первое представление об аксиомах и аксиоматическом методе в геометрии; ввести аксиому параллельных прямых.
Признаки и свойства параллельных прямых, связанные с углами, образованными при пересечении двух прямых секущей (накрест лежащими, односторонними, соответственными), широко используются в дальнейшем при изучении четырехугольников, подобных треугольников, при решении задач, а также в курсе стереометрии.
7. Многочлены
Многочлен. Сложение, вычитание и умножение многочленов. Разложение многочленов на множители.
Основная цель — выработать умение выполнять сложение, вычитание, умножение многочленов и разложение многочленов на множители.
Данная тема играет фундаментальную роль в формировании умения выполнять тождественные преобразования алгебраических выражений. Формируемые здесь формально-оперативные умения являются опорными при изучении действий с рациональными дробями, корнями, степенями с рациональными показателями.
Изучение темы начинается с введения понятий многочлена, стандартного вида многочлена, степени многочлена. Основное место в этой теме занимают алгоритмы действий с многочленами — сложение, вычитание и умножение. Учащиеся должны понимать, что сумму, разность, произведение многочленов всегда можно представить в виде многочлена. Действия сложения, вычитания и умножения многочленов выступают как составной компонент в заданиях на преобразования целых выражений. Поэтому нецелесообразно переходить к комбинированным заданиям прежде, чем усвоены основные алгоритмы.
Серьезное внимание в этой теме уделяется разложению многочленов на множители с помощью вынесения за скобки общего множителя и с помощью группировки. Соответствующие преобразования находят широкое применение как в курсе 7 класса, так и в последующих курсах, особенно в действиях с рациональными дробями.
В данной теме учащиеся встречаются с примерами использования рассматриваемых преобразований при решении разнообразных задач, в частности при решении уравнений. Это позволяет в ходе изучения темы продолжить работу по формированию умения решать уравнения, а также решать задачи методом составления уравнений. В число упражнений включаются несложные задания на доказательство тождества.
8. Соотношения между сторонами и углами треугольника
Сумма углов треугольника. Соотношение между сторонами и углами треугольника. Неравенство треугольника. Прямоугольные треугольники, их свойства и признаки равенства. Расстояние от точки до прямой. Расстояние между параллельными прямыми. Построение треугольника по трем элементам.
Основная цель — рассмотреть новые интересные и важные свойства треугольников.
В данной теме доказывается одна из важнейших теорем геометрии — теорема о сумме углов треугольника. Она позволяет дать классификацию треугольников по углам (остроугольный, прямоугольный, тупоугольный), а также установить некоторые свойства и признаки равенства прямоугольных треугольников.
Понятие расстояния между параллельными прямыми вводится на основе доказанной предварительно теоремы о том, что все точки каждой из двух параллельных прямых равноудалены от другой прямой. Это понятие играет важную роль, в частности используется в задачах на построение.
При решении задач на построение в 7 классе следует ограничиться только выполнением и описанием построения искомой фигуры. В отдельных случаях можно провести устно анализ и доказательство, а элементы исследования должны присутствовать лишь тогда, когда это оговорено условием задачи.
9. Формулы сокращенного умножения
Формулы (а ± b)2 = а2± 2ab + b2, (а ± b)3 = а3 ± За2b + Заb2 ± b3, (а ± b) (а2 + аb + b2) = а3 ± b3. Применение формул сокращенного умножения в преобразованиях выражений.
Основная цель — выработать умение применять формулы сокращенного умножения в преобразованиях целых выражений в многочлены и в разложении многочленов на множители.
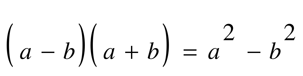
В данной теме продолжается работа по формированию у учащихся умения выполнять тождественные преобразования целых выражений. Основное внимание в теме уделяется формулам (а - b) (а + b) = а2 - b2, (а ± b)2 = а2 ± 2аb + b2. Учащиеся должны знать эти формулы и соответствующие словесные формулировки, уметь применять их как «слева направо», так и «справа налево».
Наряду с указанными рассматриваются также формулы (а ± b)3 = а3 ± За2b + Заb2 ± b3, а3 ± b3 =
(а ± b) (а2 + аb + b2). Однако они находят меньшее применение в курсе, поэтому не следует излишне увлекаться выполнением упражнений на их использование.
В заключительной части темы рассматривается применение различных приемов разложения многочленов на множители, а также использование преобразований целых выражений для решения широкого круга задач.
10. Системы линейных уравнений
Система уравнений. Решение системы двух линейных уравнений с двумя переменными и его геометрическая интерпретация. Решение текстовых задач методом составления систем уравнений.
Основная цель — ознакомить учащихся со способом решения систем линейных уравнений с двумя переменными, выработать умение решать системы уравнений и применять их при решении текстовых задач.
Изучение систем уравнений распределяется между курсами 7 и 9 классов. В 7 классе вводится понятие системы и рассматриваются системы линейных уравнений.
Изложение начинается с введения понятия «линейное уравнение с двумя переменными». В систему упражнений включаются несложные задания на решение линейных уравнений с двумя переменными в целых числах.
Формируется умение строить график уравнения а + by = с, где а # 0 или b # 0, при различных значениях а, b, с. Введение графических образов дает возможность наглядно исследовать вопрос о числе решений системы двух линейных уравнений с двумя переменными.
Основное место в данной теме занимает изучение алгоритмов решения систем двух линейных уравнений с двумя переменными способом подстановки и способом сложения. Введение систем позволяет значительно расширить круг текстовых задач, решаемых с помощью аппарата алгебры. Применение систем упрощает процесс перевода данных задачи с обычного языка на язык уравнений.
Повторение
Календарно-тематическое планирование
| № | Наименование раздела программы | Тема урока | Кол-во часов | Элементы содержания образования | Требования к уровню подготовки обучающихся | Дата проведения урока |
| план | факт |
| 1 | Выражения, тождества, уравнения | | 20 | | | | |
| 1 2 | Числовые выражения. Нахождение значений числовых выражений. | 1-1 1-2 | числовые выражения, значение числового выражения | -уметь выполнять арифметические действия с рациональными числами | | |
| 3 4 | Выражения с переменными. Нахождение значений выражений с переменными.. | 1-3 1-4 | переменная, выражение с переменными, значение выражения с переменными, формулы | -осуществлять в выражениях подстановки и выполнять соответствующие вычисления | | |
| 5 | Сравнение значений выражений. | 1-5 | строгое, нестрогое, двойное неравенство | -уметь записывать и читать неравенства; -уметь сравнивать значения выражений | | |
| 6 7 | Свойства действий над числами. Применение свойств действий над числами. | 1-6 1-7 | переместительное, сочетательное, распределительное свойство | -знать свойства действий над числами; -уметь находить значение выражения, используя эти свойства | | |
| 8 9 10 | Тождества. Тождественные преобразования выражений. Примеры на тождественные преобразования выражений. | 1-8 1-9 1-10 | тождество, тождественные преобразования, приведение подобных слагаемых, раскрытие скобок | -уметь производить замену выражения тождественно равным; -уметь приводить подобные слагаемые, раскрывать скобки со знаком «плюс» и со знаком «минус» пере ними | | |
| 11 | Контрольная работа №1 Выражения. | 1-11 | | - уметь выполнять арифметические действия с рациональными числами; -уметь упрощать выражения, применяя тождественные преобразования | | |
| 12 | Анализ контрольной работы. Уравнение и его корни. | 1-12 | уравнение с одной переменной, корень уравнения, равносильные уравнения | -уметь решать уравнения; -уметь пользоваться свойствами уравнений | | |
| 13 14 15 | Линейное уравнение с одной переменной. Линейное уравнение с одной переменной вида 0х=в,0х=0 Уравнения сводящихся к линейным после преобразований. | 1-13 1-14 1-15 | линейное уравнение с одной переменной | -знать общий вид линейного уравнения; -уметь решать уравнение вида при , при и , при и  | | |
| 16 17 18 19 | Решение задач с помощью уравнений. Решение задач . Решение задач на движение. Решение задач на проценты | 1-16 1-17 1-18 1-19 | условие задачи, составление уравнений | -уметь правильно определить неизвестное и составить уравнение; -знать алгоритм решения задач с помощью уравнений | | |
| 20 | Контрольная работа №2. Уравнение. | 1-20 | | -уметь решать уравнения, сводящиеся к линейным; -уметь решать задачи на составление уравнений | | |
| 2 | Начальные геометрические сведения | | 7 | | | | |
| 21 | Анализ контрольной работы. Точки, прямые, отрезки. | 1-1 | предмет геометрия, точка, прямая, отрезок, концы отрезка | -знать, что через две точки можно провести только одну прямую; -определять взаимное расположение точки и прямой | | |
| 22 | Луч и угол. | 1-2 | луч, начало луча, угол, стороны угла, вершина угла, развернутый угол | -знать свойства луча; -уметь строить и обозначать луч; -уметь строить и обозначать углы | | |
| 23 | Сравнение отрезков и углов. | 1-3 | отрезок, угол, биссектриса угла | -уметь доказывать равенство фигур; -уметь строить биссектрису угла с помощью транспортира | | |
| 24 | Измерение отрезков. | 1-4 | отрезок, длина отрезка, равные отрезки | -уметь измерять отрезки с помощью линейки, выражать длину в различных единицах измерения | | |
| 25 | Измерение углов. | 1-5 | угол, градусная мера угла, равные углы, прямой, острый, тупой угол | -уметь находить градусную меру угла и строить углы заданной градусной мерой; -различать прямой, развернутый, острый и тупой углы | | |
| 26 | Смешанные и вертикальные углы. Перпендикулярные прямые. | 1-6 | смежные и вертикальные углы, перпендикулярные прямые | -уметь строить угол смежный с данным углом, вертикальный угол; -уметь определять их по чертежу; -уметь строить перпендикулярные прямые | | |
| 27 | Контрольная работа №3 Начальные геометрические сведения | 1-7 | | -уметь находить длину отрезка; -знать свойства смежных и вертикальных углов; -уметь строить биссектрису угла с помощью транспортира | | |
| 3 | Статисти- ческие характеристи-ки.
Функции | | 4 + 14 | | | | |
| 28 29 | Анализ контрольной работы.. Среднее арифметическое, размах и мода. Нахождение статистических характеристик моду, размаха | 1-1 1-2 | упорядоченный ряд, среднее арифметическое, размах и мода ряда чисел | -уметь решать задачи, используя статистические характеристики | | |
| 30 31 | Медиана как статистическая характеристика. Нахождение медианы ряда. | 1-3 1-4 | упорядоченный ряд с четным и нечетным числом членов, медиана | -уметь определять медиану произвольного ряда чисел | | |
| 32 | Что такое функция? | 1-1 | независимая переменная, зависимая переменная, функция, область определения функции | -уметь по значению аргумента находить значение функции по графику; -уметь задавать формулой зависимость одной величины от другой; -выражать из формул одну переменную через остальные | | |
| 33 34 | Вычисление значений функции по формуле. Вычисление значений аргумента при заданном значении функции. | 1-2 1-3 | функция, область определения функции | - уметь по значению аргумента находить значение функции, заданной формулой; | | |
| 35 36 | График функции. Чтение графика функции. | 1-4 1-5 | функция, график функции, абсцисса, ордината | -уметь заполнять таблицу значений; -определять принадлежность точки по формуле; -уметь работать с графиком | | |
| 37 38 | Прямая пропорциональность и её график. Построение и чтение графика. | 1-6 1-7 | прямая пропорциональность, начало координат, угловой коэффициент | уметь строить график функции прямой пропорциональности; -уметь по графику находить значения x и y; - определять принадлежность точки графику по формуле. | | |
| 39 40 41 | Линейная функция и её график. График линейной функции. Нахождение точек пересечения графиков. | 1-8 1-9 1-10 | линейная функция, область определения функции, график функции , угловой коэффициент | - уметь задавать линейную функцию; -уметь строить график функции вида ; -не выполняя построения, находить координаты точек пересечения с осями координат графика функции | | |
| 42 43 44 | Взаимное расположение графиков линейных функций. Определение взаимного расположения графиков функций по угловому коэффициенту. Определение формулы линейной функции по графику. | 1-11 1-12 1-13 | угловой коэффициент, взаимное расположение графиков линейных функций | -знать о параллельности и пересечении графиков; -уметь находить точку пересечения графиков функций | | |
| 45 | Контрольная работа №4. Функция. | 1-14 | | -строить график линейной функции; - уметь по графику находить значения x и y; -определять взаимное расположение графиков функций | | |
| 4 | Треуголь- ники | | 14 | | | | |
| 46 47 48 | Анализ контрольной работы. Треугольник .Первый признак равенства треугольников Решение задач на применение первого признака треугольников. | 1-1 1-2 1-3 | элементы треугольника, первый признак равенства треугольников | -знать формулировку I признака; -уметь применять признак при решении задач | | |
| 49 50 51 | Перпендикуляр к прямой. Медианы, биссектрисы и высоты треугольника. Свойства равнобедренного треугольника | 1-4 1-5 1-6 | перпендикуляр к прямой, медиана, биссектриса, высота треугольника и их свойства, равнобедренный и равносторонний треугольник | -уметь стоить перпендикуляр из данной точки к прямой; -знать свойства медианы, биссектрисы и высоты; -уметь пользоваться теоремой о свойствах равнобедренного треугольника | | |
| 52 53 54 | | Второй признак равенства треугольников. Третий признак равенства треугольников. Решение задач на применение второго и третьего признака треугольников. | 1-7 1-8 1-9 | второй и третий признаки равенства треугольников | -знать теоремы второго и третьего признаков равенства треугольников; -уметь решать задачи на применение теорем | | |
| 55 56 57 | Окружность. Построение угла, равного данному Построение биссектрисы угла. Построение перпендикулярных прямых; середины отрезка | 1-10 1-11 1-12 | определение, окружность, диаметр, центр окружности, хорда, дуга | -уметь с помощью циркуля и линейки выполнять построение: отрезка и угла, равного данному; биссектрисы угла; перпендикулярных прямых; середины отрезка | | |
| 58 | Решение задач на применение признаков треугольника. | 1-13 | первый, второй, третий признаки равенства треугольников | -уметь применять все признаки равенства треугольников и следствия в комплексе при решении задач | | |
| 59 | Контрольная работа №5. Треугольники. | 1-14 | | -уметь применять полученные знания в системе | | |
| 5 | Степень с натуральным показателем | | 15 | | | | |
| 60 61 | Анализ контрольной работы. Определение степени с натуральным показателем. Вычисления значения выражения со степенями. | 1-1 1-2 | степень, показатель степени, основание степени, возведение в степень | -уметь записывать произведение в виде степени; -уметь возводить в степень отрицательные числа; -выполнять возведение в степень | | |
| 62 63 | Умножение степеней с одинаковыми основаниями. Деление степеней с одинаковыми основаниями | 1-3 1-4 | степень, показатель степени, основание степени, умножение и деление степеней | -знать основное свойство степени: , , и уметь его применять | | |
| 64 65 66 | Возведение в степень произведения. Возведение в степень степени. Упрощение выражений со степенями. | 1-5 1-6 1-7 | степень, показатель степени, основание степени, возведение в степень произведения и степени | -знать и уметь применять свойства степени: ,  | | |
| 67 | Одночлен и его стандартный вид. | 1-8 | одночлен, стандартный вид одночлена, коэффициент и степень одночлена | -уметь приводить одночлен к стандартному виду; -определять коэффициент и степень одночлена | | |
| 68 69 70 | Умножение одночленов. Возведение одночлена в степень. Представление выражения в виде одночлена стандартного вида | 1-9 1-10 1-11 | одночлен, коэффициент и степень одночлена, стандартный вид одночлена, правило умножения и возведения в степень одночленов | -уметь перемножать одночлены; -уметь возводить одночлены в степень | | |
| 71 72 73 | Функции y=x2 и ее график. Функции y=x3 и ее график Графическое решение уравнений. | 1-12 1-13 1-14 | парабола, свойства функции y=x2, график кубической функции и её свойства | - уметь по графику находить значения x и y; -уметь заполнять таблицу значений; -строить графики функций y=x2 и y=x3 | | |
| 74 | Контрольная работа №6 Степень с натуральным показателем. | 1-15 | | -уметь применять все свойства степень в комплексе; -строить графики функций y=x2 и y=x3 и по графику находить значения x и y | | |
| 6 | Параллель-ные прямые | | 9 | | | | |
| 75 76 77 | Анализ контрольной работы. Определение параллельных прямых. Углы образованные при пересечение двух прямых секущей. Признаки параллельности двух прямых. Решение задач на применение признаков параллельности прямых | 1-1 1-2 1-3 | параллельные прямые, накрест лежащие углы, односторонние углы, соответственные углы, признаки параллельности | -знать какие прямые называются параллельными, теоремы признаков параллельности; -показывать накрест лежащие, односторонние, соответственные углы | | |
| 78 79 | Аксиомы геометрии. Аксиомы параллельных прямых. | 1-4 1-5 | аксиома, аксиома параллельных прямых, следствия | -знать аксиому параллельных прямых и её следствие; -уметь доказывать обратные теоремы параллельности прямых | | |
| 81 82 | Теоремы об углах, образованных двумя параллельными прямыми и секущей. Решение задач на применение теорем. | 1-6 1-7 | признаки параллельности прямых, теоремы, обратные данным | -уметь применять признаки параллельности прямых и обратные теоремы при решении задач | | |
| 83 | Контрольная работа №7.Параллельные прямые. | 1-9 | | -уметь применять полученные знания в комплексе при решении задач | | |
| 7 | Многочлены | | 20 | | | | |
| 84 | Анализ контрольной работы. Многочлен и его стандартный вид. | 1-1 | подобные члены многочлена, многочлен стандартного вида, степень многочлена | -уметь приводить подобные члены; -записывать в стандартном виде многочлен | | |
| 85 86 87 | Сложение и вычитание многочленов. Приведение подобных членов при сложение и вычитание многочленов. Решение уравнений. | 1-2 1-3 1-4 | сумма, разность многочленов | -знать как раскрыть скобки со знаком «плюс» или «минус» перед ними; -уметь приводить подобные слагаемые | | |
| 88 89 90 | Умножение одночлена на многочлен. Применение правила умножения одночлена на многочлен при решении уравнений. Решение задач с помощью составления уравнения. | 1-5 1-6 1-7 | одночлен, многочлен, произведение одночлена и многочлена | -знать правило умножения одночлена на многочлен; -выполнять умножение по правилу | | |
| 91 92 93 | | Вынесение общего множителя за скобки. Применение правила вынесения общего множителя за скобки при решении уравнений. Вынесение двучлена за скобки. | 1-8 1-9 1-10 | разложение многочлена на множители, вынесение общего множителя за скобки | -видеть общий множитель и выносить его за скобки; -уметь решать уравнения | | |
| 94 | Контрольная работа №8 Многочлены. | 1-11 | | -проводить сложение и вычитание многочленов; -выполнять умножение одночлена на многочлен; -уметь выносить общий множитель за скобки | | |
| 95 96 97 98 | Анализ контрольной работы. Умножение многочлена на многочлен. Применение правило умножения многочлена на многочлен при упрощении выражений. Применение правило умножения многочлена на многочлен при доказательстве тождеств. Применение правило умножения многочлена на многочлен при решении уравнений. | 1-12 1-13 1-14 1-15 | произведение многочлена на многочлен | -знать правило умножения многочлена на многочлен; -выводить формулу (a+b)(c+d)=ac+bc+ad+bd | | |
| 99 100 101 102 | Разложение многочлена на множители способом группировки. Представление в виде произведения многочлен. Разложение на множители трехчлен. Доказательства тождеств. | 1-16 1-17 1-18 1-19 | способ группировки | -знать и применять алгоритм разложения многочлена на множители способом группировки | | |
| 103 | Контрольная работа №9 Умножение многочлена на многочлен. | 1-20 | | -уметь перемножать многочлены и раскладывать их на множители; -уметь доказывать тождества | | |
| 8 | Соотношения между сторонами и углами треугольника | | 16 | | | | |
| 104 105 | Анализ контрольной работы. Сумма углов треугольника. Остроугольный, тупоугольный, прямоугольный треугольник | 1-1 1-2 | теорема о сумме углов треугольника, внешний угол, остроугольный, тупоугольный, прямоугольный треугольник, гипотенуза, катеты | -уметь определять вид треугольника; -уметь доказывать теорему о сумме углов треугольника и применять её при решении задач | | |
| 106 107 108 | Соотношения между сторонами и углами треугольника. Неравенство треугольника. Решение задач, используя соотношения между сторонами и углами треугольника | 1-3 1-4 1-5 | теорема о соотношениях между сторонами и углами треугольника, следствия из неё, неравенство треугольника | -определять существует ли треугольник с данными сторонами; -знать теорему и её следствия; -уметь доказывать утверждения | | |
| 109 | | Контрольная работа №10 Соотношения между сторонами и углами треугольника | 1-6 | | -уметь применять теорему о сумме углов к решению задач; -уметь решать задачи, используя соотношения между сторонами и углами треугольника | | |
| 110 111 112 113 | Анализ контрольной работы. Свойства прямоугольных треугольников. Признаки равенства прямоугольных треугольников ( по катетам , по катету и острому углу) Признаки равенства прямоугольных треугольников(по катету и гипотенузе , по гипотенузе и острому углу) Решении задач на применение свойств и признаков равенства. | 1-7 1-8 1-9 1-10 | свойства и признаки равенства прямоугольных треугольников | -уметь доказывать свойства прямоугольных треугольников; -уметь применять свойства и признаки при решении задач | | |
| 114 115 116 117 | Расстояние от точки до прямой, расстояние между параллельными прямыми,. Построение треугольника по двум сторонам и углу между ними. Построение треугольника по стороне и двум прилежащим к ней углам. Построение треугольника по трем сторонам . | 1-11 1-12 1-13 1-14 | наклонная, расстояние от точки до прямой, расстояние между параллельными прямыми, построение треугольника по трем элементам | -уметь строить треугольник по двум сторонам и углу между ними; -уметь строить треугольник по стороне и двум прилежащим к ней углам; -уметь строить треугольник по трем сторонам | | |
| 118 | Решение задач по теме прямоугольные треугольники. | 1-15 | свойства и признаки равенства прямоугольных треугольников, построение треугольника по трем элементам | -уметь применять свойства и признаки прямоугольных треугольников при решении задач; -выполнять построение треугольника по трем элементам | | |
| 119 | Контрольная работа №11 Прямоугольный треугольник. | 1-16 | | -уметь применять полученные знания в комплексе | | |
| 9 | Формулы сокращенно го умножения | | 20 | | | | |
| 120 121 122 | Анализ контрольной работы. Возведение в квадрат суммы и разности двух выражений. Применение формул при упрощении выражений. Возведение в куб суммы и разности двух выражений, решение уравнений. | 1-1 1-2 1-3 | формулы сокращенного умножения, формула квадрата суммы и разности | -знать формулы:  -уметь представлять в виде многочлена квадрат суммы и разности | | |
| 123 124 | Разложение на множители с помощью формул квадрата суммы и квадрата разности. Преобразование трехчлена в квадрат двучлена. | 1-4 1-5 | формулы сокращенного умножения, формула квадрата суммы и разности | -уметь представлять трехчлен в виде квадрата двучлена | | |
| 125 126 | Умножение разности двух выражений на их сумму. Применение формул при упрощении выражений . | 1-6 1-7 | формула произведения разности двух выражений на их сумму | -уметь выполнять умножение разности двух выражений на их сумму по формуле:  | | |
| 127 128 | Разложение разности квадратов на множители. Разложение многочленов на множители с помощью формулы разности квадратов. | 1-8 1-9 | формула разности квадратов | -знать формулу: ; -уметь правильно применять формулу | | |
| 129 130 | | Разложение на множители суммы и разности кубов. Применение формул суммы и разности кубов при разложении многочлена на множители. | 1-10 1-11 | формула суммы и разности кубов, неполный квадрат разности, неполный квадрат суммы | -знать формулы: -уметь выделять неполный квадрат суммы или разности | | |
| 131 | Контрольная работа №12 Формулы сокращенного умножения. | 1-12 | | -уметь пользоваться формулами сокращенного умножения и используя их упрощать выражения | | |
| 132 133 134 | Анализ контрольной работы. Преобразование целого выражения в многочлен. Применение формул сокращенного умножения при упрощении выражений. Применение формул сокращенного умножения при решении уравнений, при доказательстве. | 1-13 1-14 1-15 | целое выражение, формулы сокращенного умножения | -знать, что любое целое выражение можно представить в виде многочлена; -уметь применять формулы сокращенного умножения при вычислениях, нахождении значений выражений и упрощении выражений | | |
| 135 136 137 138 | Применение различных способов для разложения на множители. Разложение многочлена на множители применив последовательно несколько способов. Решение уравнений разложив на множители. Обобщающий урок. Преобразование целых выражений. | 1-16 1-17 1-18 1-19 | вынесение общего множителя за скобки, группировка, формулы сокращенного умножения | -уметь применять последовательно несколько способов для разложения; -знать, что начинать преобразования следует с вынесения общего множителя за скобки | | |
| 139 | Контрольная работа №13 Преобразование целых выражений. | 1-20 | | -правильно определить способ для разложения на множители; -знать формулы сокращенного умножения | | |
| 10 | Системы линейных уравнений | | 17 | | | | |
| 140 141 | Анализ контрольной работы. Линейное уравнение с двумя переменными. Выражать одну переменную через другую из линейного уравнения. | 1-2 1-3 | линейное уравнение с двумя переменными, решение уравнения, равносильные уравнения | -знать, какое уравнение называется линейным уравнением с двумя переменными; -уметь определять является ли пара чисел решением уравнения | | |
| 142 143 | График линейного уравнения с двумя переменными. Построение графика уравнения. | 1-3 1-4 | график уравнения | -знать, что графиком линейного уравнения с двумя переменными является прямая; -определять принадлежность точки графику; -уметь строить график уравнения | | |
| 144 145 | Системы линейных уравнений с двумя переменными. Графическое решение системы линейных уравнений. | 1-5 1-6 | системы уравнений, решение системы, графический способ решения системы | -уметь решить систему линейных уравнений с двумя переменными | | |
| 146 147 148 | Способ подстановки. Нахождение координаты точки пересечения графиков уравнений, не выполняя построения. Решение систем способом подстановки. | 1-7 1-8 1-9 | системы уравнений, способ подстановки | -знать алгоритм решения систем двух линейных уравнений способом подстановки | | |
| 149 150 151 | Способ сложения. Решение систем на применение способа сложения. Составление уравнения вида у = kх + в, по двум точкам графика. | 1-10 1-11 1-12 | системы уравнений, способ сложения | -знать алгоритм решения систем двух линейных уравнений способом сложения | | |
| 152 153 154 155 | | Решение задач с помощью систем уравнений. Решение задач с помощью систем уравнений на работу Решение задач с помощью систем уравнений на движение . Решение задач с помощью систем уравнений на движение по реке. | 1-13 1-14 1-15 1-16 | системы уравнений, способ сложения и способ подстановки | -определять неизвестные и составить систему уравнений по условию задачи; -уметь решать систему разными способами | | |
| 156 | Контрольная работа №14 Системы линейных уравнений . | 1-17 | | -уметь решать системы уравнений способом подстановки и способом сложения; -решать задачи на составление систем; -уметь задавать линейную функцию формулой по двум точкам | | |
| 11 | Итоговое повторение курса математики 7 класса | Итоговое повторение | 19 | | | | |
| 157 | Анализ контрольной работы. Преобразование выражений. | 1-1 | числовые выражения, выражения с переменными | -уметь пользоваться всеми арифметическими операциями над числами | | |
| 158 | Уравнение с одной переменной. | 1-2 | линейное уравнение, корень уравнения | -уметь решать линейные уравнения | | |
| 159 | Линейная функция и её график. | 1-3 | график линейной функции | -уметь строить график линейной функции и работать по нему | | |
| 160 | Степень и её свойства. | 1-4 | степень, показатель степени, основание степени, свойства степени | -знать все свойства степени; -уметь упрощать выражения, используя свойства степени | | |
| 161 162 | Произведение многочленов. Разложение многочлена на множители. | 1-5 1-6 | многочлен, правило умножения многочленов | -уметь перемножать многочлены по правилу | | |
| 163 164 | Формулы сокращенного умножения Преобразование целого выражения в многочлен.. | 1-7 1-8 | разность квадратов, квадрат суммы и разности, куб суммы и разности | -знать формулы сокращенного умножения и их вывод; -уметь их применять; | | |
| 165 | Решение систем линейных уравнений. | 1-9 | системы уравнений, способ подстановки, способ сложения, графический способ | -уметь применять способы решения систем линейных уравнений | | |
| 166 | Итоговая административная контрольная работа15 | 1-10 | | -уметь применять все полученные знания за курс алгебры 7 класса | | |
| 167 | Анализ контрольной работы | 1-11 | | | | |
| 168 169 170 171 | Решение задач. Треугольники. Решение задач. Параллельные прямые. Решение задач. Прямоугольные треугольники. Решение теста за курс геометрии 7 класса. | 1-12 1-13 1-14 1-15 | признаки равенства треугольников, признаки параллельности прямых, теорема о сумме углов треугольника | -уметь пользоваться признаками равенства треугольников; -знать теорему о сумме углов; -уметь решать задачи, используя доказательную базу | | |
| 172 | | Итоговый тест по программе 7 класса | 1-16 | | уметь применять все полученные знания за курс алгебры 7 класса | | |
| 173 | | Анализ и работа над ошибками. | 1-17 | | | | |
| 174 | | Урок консультация. | 1-18 | | | | |
| 175 | | Решение задач. | 1-19 | | | | |
Требования к уровню подготовки семиклассников
В результате изучения алгебры в 7 классе ученик должен уметь:
составлять буквенные выражения и формулы по условиям задач, осуществлять в выражениях и формулах числовые подстановки и выполнять соответствующие вычисления, осуществлять подстановку одного выражения в другое; выражать из формул одну переменную через остальные;
выполнять основные действия со степенями с натуральным показателем, с многочленами; выполнять тождественные преобразования целых выражений; выполнять разложение многочленов на множители;
решать линейные уравнения и уравнения, сводящиеся к ним, системы двух линейных уравнений,
решать текстовые задачи алгебраическим методом, интерпретировать полученный результат, проводить отбор решений, исходя из формулировки задачи;
изображать числа точками на координатной прямой
определять координаты точки плоскости, строить точки с заданными координатами;
находить значение функции, заданной формулой, таблицей, графиком по ее аргументу; находить значение аргумента по значению функции, заданной графиком или таблицей;
описывать свойства изученных функций (y = kx + b, y = kx, y = x2, y = x3) и строить их графики.
использовать приобретенные знания и умения в практической деятельности и повседневной жизни для:
выполнения расчётов по формулам, составления формул, выражающих зависимость между реальными величинами; нахождения нужной формулы в справочных материалах
моделирования практических ситуаций и исследование построенных моделей с использованием аппарата алгебры; описания зависимости между физическими величинами соответствующими формулами при исследовании несложных практических ситуаций;
интерпретации графиков реальных зависимостей между величинами.
В результате изучения курса геометрии 7-го класса учащиеся должны уметь:
пользоваться геометрическим языком для описания предметов окружающего мира;
распознавать на чертежах и моделях геометрические фигуры (отрезки, углы, треугольники и их частные виды), различать их взаимное расположение;
изображать геометрические фигуры; выполнять чертежи по условию задач; осуществлять преобразование фигур;
вычислять значения геометрических величин (длин отрезков, градусную меру углов);
решать геометрические задания, опираясь на изученные свойства фигур и отношений между ними, применяя дополнительные построения, алгебраический аппарат;
проводить доказательные рассуждения при решении задач, используя известные теоремы, обнаруживая возможности для их использования;
решать простейшие планиметрические задачи в пространстве.
использовать приобретенные знания, умения, навыки в практической деятельности и повседневной жизни для:
описания реальных ситуаций на языке геометрии;
решения практических задач;
построений геометрическими инструментами (линейка, угольник, циркуль, транспортир).
Критерии и нормы оценки знаний, умений и навыков обучающихся
При выполнении практической работы и контрольной работы:
Содержание и объем материала, подлежащего проверке в контрольной работе, определяется программой. При проверке усвоения материала выявляется полнота, прочность усвоения учащимися теории и умение применять ее на практике в знакомых и незнакомых ситуациях.
Отметка зависит также от наличия и характера погрешностей, допущенных учащимися.
грубая ошибка – полностью искажено смысловое значение понятия, определения;
погрешность отражает неточные формулировки, свидетельствующие о нечетком представлении рассматриваемого объекта;
недочет – неправильное представление об объекте, не влияющего кардинально на знания определенные программой обучения;
мелкие погрешности – неточности в устной и письменной речи, не искажающие смысла ответа или решения, случайные описки и т.п.
Исходя из норм (пятибалльной системы), заложенных во всех предметных областях выставляете отметка:
«5» ставится при выполнении всех заданий полностью или при наличии 1-2 мелких погрешностей;
«4» ставится при наличии 1-2 недочетов или одной ошибки:
«3» ставится при выполнении 2/3 от объема предложенных заданий;
«2» ставится, если допущены существенные ошибки, показавшие, что учащийся не владеет обязательными умениями поданной теме в полной мере (незнание основного программного материала):
Оценка устных ответов учащихся
Ответ оценивается отметкой «5», если ученик:
- полно раскрыл содержание материала в объеме, предусмотренном программой;
- изложил материал грамотным языком в определенной логической последовательности, точно используя терминологию математики как учебной дисциплины;
- правильно выполнил рисунки, схемы, сопутствующие ответу;
- показал умение иллюстрировать теоретические положения конкретными примерами;
- продемонстрировал усвоение ранее изученных сопутствующих вопросов, сформированность и устойчивость используемых при ответе умений и навыков;
- отвечал самостоятельно без наводящих вопросов учителя.
Возможны одна – две неточности при освещении второстепенных вопросов или в выкладках, которые ученик легко исправил по замечанию учителя.
Ответ оценивается отметкой «4,. если ответ удовлетворяет в основном требованиям на отметку «5», но при этом имеет один из недостатков:
- допущены один-два недочета при освещении основного содержания ответа, исправленные по замечанию учителя:
- допущены ошибка или более двух недочетов при освещении второстепенных вопросов или в выкладках, легко исправленные по замечанию учителя.
Отметка «3» ставится в следующих случаях:
- неполно или непоследовательно раскрыто содержание материала, но показано общее понимание вопроса и продемонстрированы умения, достаточные для дальнейшего усвоения программного материала определенные настоящей программой;
Отметка «2» ставится в следующих случаях:
- не раскрыто основное содержание учебного материала;
- обнаружено незнание или неполное понимание учеником большей или наиболее важной части учебного материала;
- допущены ошибки в определении понятий, при использовании специальной терминологии, в рисунках, схемах, в выкладках, которые не исправлены после нескольких наводящих вопросов учителя
1. Учебно-методическое обеспечение для учителя:
Программы общеобразовательных учреждений. Геометрия 7-9 классы. Составитель Бурмистрова Т.А. – М.: «Просвещение», 2009.
Программы общеобразовательных учреждений. Алгебра 7-9 классы. Составитель Бурмистрова Т.А. – М.: «Просвещение», 2009.
Макарычев Ю. Н., Миндюк Н. Г., Нешков К. И., Суворова С. Б. Алгебра 7: Учебник для общеобразовательных учреждений. – М.: Просвещение, 2011.
Геометрия, 7 -9: Учебник для общеобразовательных учреждений / Л.С. Атанасян, В.Ф. Бутузов и др. – М.: Просвещение, 2011..
Буланова Л. М., Дудницын Ю. П. Проверочные задания по математике для учащихся 5-8 и 10 классов. – М.: Просвещение, 1998.
Жохов В. И., Макарычкв Ю. Н., Миндюк Н. Г. Дидактические материалы по алгебре, 7 класс. – Казан «Мэгариф» 2001.
Звавис А. И., Шляпочкин Л. Я. Контрольные и проверочные по алгебре 7-9 классы. М.: Просвещение, 2003.
Поурочные планы. 7 класс .Волгоград: Учитель,2007.
Ершова А.П. Голобородько В.В.,А.С.Ершова Самостоятельные и контрольные работы по алгебре и геометрии для 7 класса.- М.: Илекса, - 2008
Тесты для промежуточной аттестации 7-8 класс. Под редакцией Ф.Ф. Лысенко 2009.
П.И.Алтынов Тесты по алгебре 7-9 класс.М. : Дрофа»,2007.
Контрольно измерительные материалы. Алгебра 7 (Сост. Л.И. Мартышова) М. 2011.
Ю. А. Глазков, М.Я.Гаиашвили Тесты по алгебре – М : Экзамен,2010
Изучение геометрии в 7 - 9 классах: Метод. рекомендации к учебнику. Книга для учителя / Л.С. Атанасян, В.Ф. Бутузов и др. – М.: Просвещение, 1997 – 2007.
.А..В. Фарков Тесты по геометрии – М : Экзамен,2010
Е.М.Рабинович. Задачи и упражнения на готовых чертежах.7-9 классы. М.: Илекса, -
Б.Г.Зив, В.М. Мейлер Дидактические материалы ,7 класс- Казан «Мэгариф» 2001.
2. Учебно-методическое обеспечение для ученика:
Геометрия, 7 -9: Учебник для общеобразовательных учреждений / Л.С. Атанасян, В.Ф. Бутузов и др. – М.: Просвещение, 2004 – 2008.
Макарычев Ю. Н., Миндюк Н. Г., Нешков К. И., Суворова С. Б. Алгебра 8: Учебник для общеобразовательных учреждений. – М.: Просвещение, 2011.
Контрольно измерительные материалы. Алгебра 7 (Сост. Л.И. Мартышова) М. 2011.
Жохов В. И., Макарычкв Ю. Н., Миндюк Н. Г. Дидактические материалы по алгебре, 7 класс. – Казан «Мэгариф» 2001.
Ю. А. Глазков, М.Я.Гаиашвили Тесты по алгебре – М : Экзамен,2010
.А..В. Фарков Тесты по геометрии – М : Экзамен,2010
Ершова А.П. Голобородько В.В., А.С.Ершова Самостоятельные и контрольные работы по алгебре и геометрии для 7 класса.- М.: Илекса, - 20
График проведения контрольных работ.
| № п.п | Тема контрольной работы | Дата проведения по плану | Дата проведения фактически |
| 1 | Контрольная работа №1 Выражения. | | |
| 2 | Контрольная работа №2. Уравнение. | | |
| 3 | Контрольная работа №3 Начальные геометрические сведения | | |
| 4 | Контрольная работа №4. Функция. | | |
| 5 | Контрольная работа №5. Треугольники. | | |
| 6 | Контрольная работа №6 Степень с натуральным показателем. | | |
| 7 | Контрольная работа №7. Параллельные прямые. | | |
| 8 | Контрольная работа №8 Многочлены. | | |
| 9 | Контрольная работа №9 Умножение многочлена на многочлен. | | |
| 10 | Контрольная работа №10 Соотношения между сторонами и углами треугольника | | |
| 11 | Контрольная работа №11 Прямоугольный треугольник. | | |
| 12 | Контрольная работа №12 Формулы сокращенного умножения. | | |
| 13 | Контрольная работа №13 Преобразование целых выражений. | | |
| 14 | Контрольная работа №14 Системы линейных уравнений.. | | |
| 15 | Контрольная работа№15 Итоговая административная. | | |