Вариант № 1
Найдите сумму и разность матриц А и В, если
,
.
Найдите произведение матриц С и К или докажите, что оно не существует:
а)
б)
в) 
3. Вычислите определители матриц:
а)
б)
.
4. Решите матричное уравнение:
, где
![]()
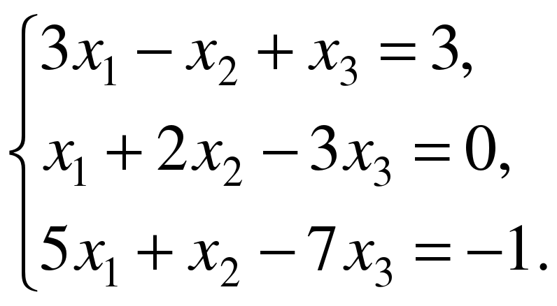
5. Решите систему алгебраических уравнений: а) методом Гаусса; б) по формулам Крамера.

Вариант № 2
Найдите сумму и разность матриц А и В, если
,
.
Найдите произведение матриц С и К или докажите, что оно не существует:
а)
б)
в)
3. Вычислите определители матриц:
а)
б)
.
4. Решите матричное уравнение:
, где
![]()
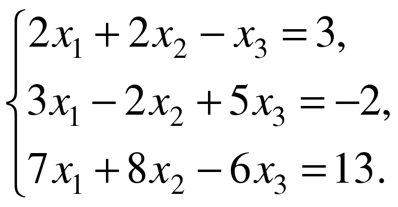
5. Решите систему алгебраических уравнений: а) методом Гаусса; б) по формулам Крамера.



Линейная алгебра (55 KB)

