Организационный момент.
– Наш урок мне бы хотелось начать, рассказав вам одну старинную притчу. «Однажды султан решил испытать своих придворных министров. Он приказал им открыть в саду старую ржавую дверь с огромным замком.
В награду за выполненное дело султан пообещал исполнителю место главного дворцового визиря. Но одни подданные лишь качали головами, другие разглядывали замок, третьи – начали неуверенно толкать дверь, доказывая, что не могут ее открыть.
Тогда один из стражей дворца подошел к двери, внимательно осмотрел ее, резко навалился плечом и толкнул. И – о чудо! Дверь поддалась и открылась. Тогда султан сказал дворцовому стражу: «Ты будешь главным визирем, потому что ты не только полагаешься на то, что видишь и слышишь, но и веришь в свои силы».
– Я желаю, чтобы вы сегодня на уроке были внимательны, активно участвовали в уроке, полагаясь на свои собственные знания, чем на подсказку товарища.
Математику, друзья,
Не любить никак нельзя.
Очень строгая наука,
Очень точная наука,
Интересная наука,
Эта математика.
Вариант 1.
Часть 1.
При выполнении заданий этой части укажите цифру, которая означает выбранный Вами ответ (А1-А10)
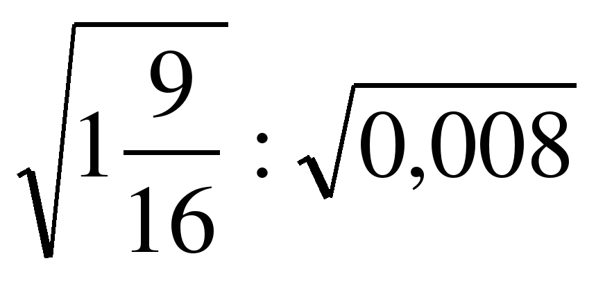
А1. Вычислите: (281/2 * 451/2)/ 1401/2
1) 9
2) 4,5
3) 3
4) 4.

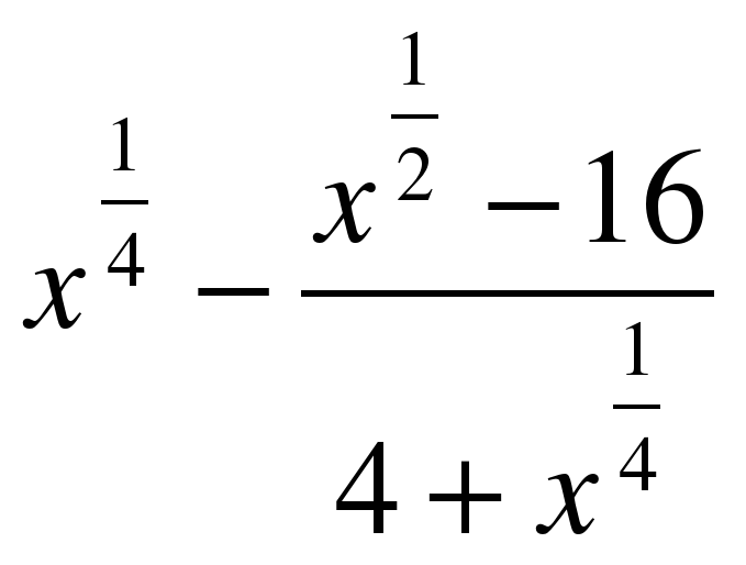
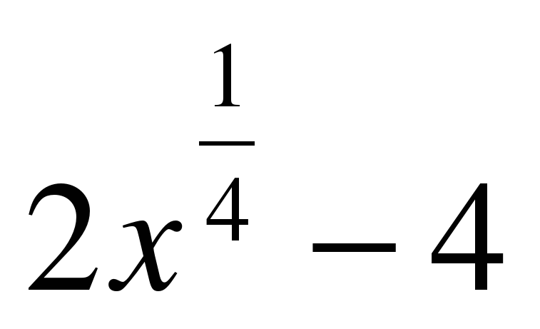
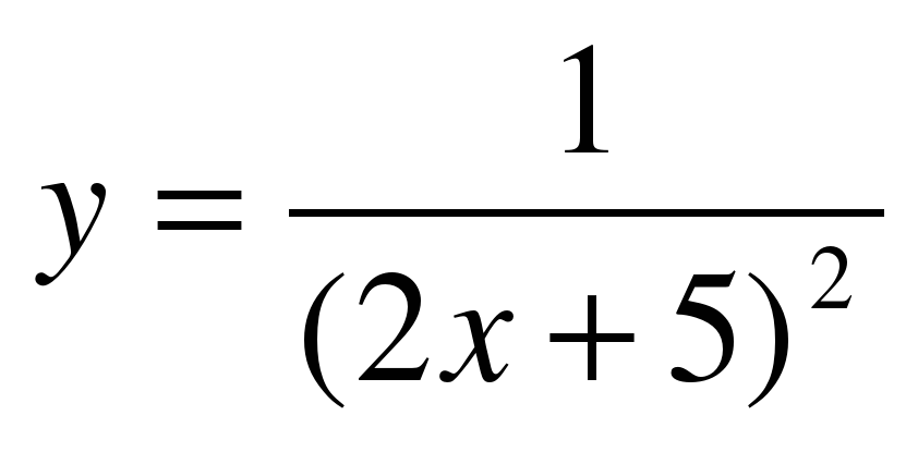
А2. Упростите выражение: x1/4 - (x1/2-16)/(4+x1/4)
1) -4
2) 4
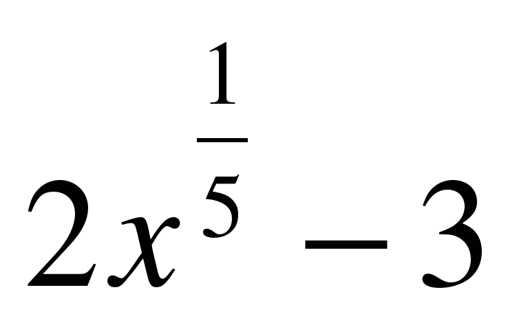
3) 2x1/4 - 4
4) x1/4
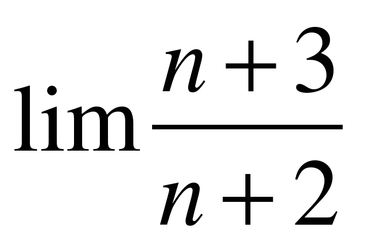
АЗ. Упростите выражение: cos2a - sin2a + 1
1) -2sin2a
2) 2cos2a
3) cos2a
4) 2
Весь материал - в документе.




Итоговый тест по математике за 10 класс (0.1 MB)

