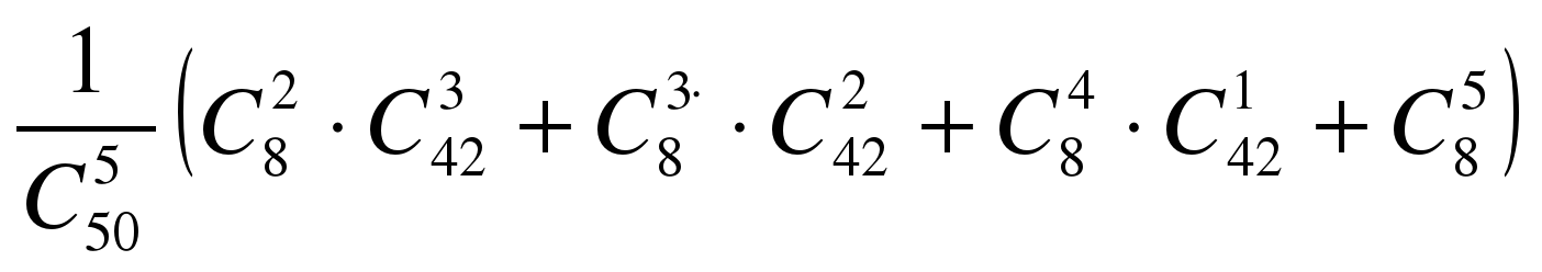
| 11 класс Контрольная работа по теме: « Элементы комбинаторики, математической статистики, теории вероятностей» ВАРИАНТ 1 В столовой есть 4 вида булочек и 3 вида кофе. Сколько существует вариантов завтрака для студента, если обычно он покупает одну булочку и один кофе? В ящике лежат 12 шариков, два из которых белые. Какова вроятность вытащить наугад: а) белый шарик? б) два белых шарика( вытащенный шарик в ящик не возвращается)? Дана выборка всхожести семян (в процентах): 97, 97, 98, 94, 96, 95, 99, 95, 93, 96. Найдите: а) объем выборки; б) размах выборки; в) моду, медиану, среднее значение выборки. Постройте полигон частот. В коробке лежат 36 карточек, на которых записаны числа от 1 до 36. Какова вероятность того, что на наугад взятой карточке будет записано число, которое а) кратно 4; б) не кратно ни числу 2, ни числу 3? Сколько различных четырёхзначных чисел можно составить из цифр 0, 1, 3, 5, 7, если в каждом числе ни одна из цифр не повторяется? В лотерее 50 билетов, из них 8 выигрышных. Найдите вероятность того, что из пяти купленных билетов а) два будут выигрышными? б) не менее двух будут выигрышными? Решить уравнение:  | 11 класс Контрольная работа по теме: « Элементы комбинаторики, математической статистики, теории вероятностей» ВАРИАНТ 2 В гардеробе у девушки есть 7 видов блузок и 3 вида юбок. Сколько существует вариантов выбора костюма, если обычно он состоит из блузки и юбки? В вазе лежат 15 конфет, пять из которых шоколадные. Какова вроятность вытащить наугад: а) шоколадную конфету? б) три шоколадные конфеты? Дана выборка количества новорожденных в городе А на протяжении десяти дней: 56, 49, 51, 46, 48, 50, 46, 48, 49, 51. Найдите: а) объем выборки; б) размах выборки; в) моду, медиану, среднее значение выборки. Постройте гистограмму частот. В коробке лежат карточки на которых записаны буквы слова ОСНОВАТЕЛЬНОСТЬ. Какова вероятность того, что на наугад взятой карточке будет записана буква: а) О; б) Е? Сколько различных четырёхзначных чисел, кратных пяти, можно составить из цифр 1, 3, 5, 7, 9, если в каждом числе ни одна из цифр не повторяется? В классе 12 учащихся, из них 5 увлекаются классической музыкой. Найдите вероятность того, что из трех выбранных наугад учащихся а) двое - любители классической музыки? б) не менее двух будут любителями? классической музыки? Решить уравнение: |
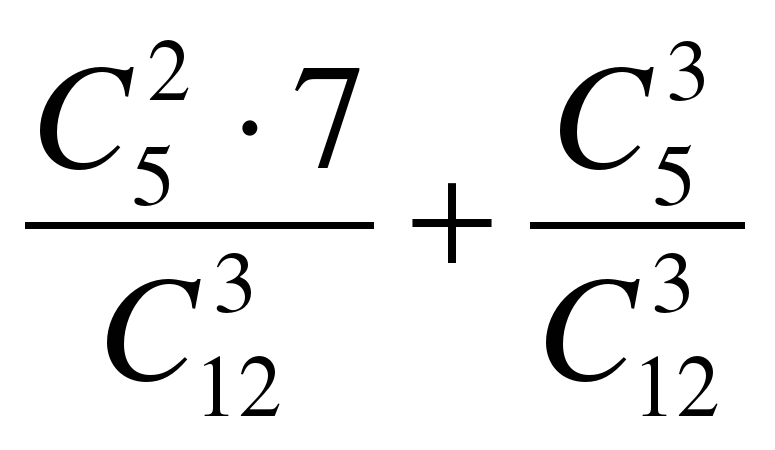
| 11 класс Контрольная работа по теме: « Элементы комбинаторики, математической статистики, теории вероятностей» ВАРИАНТ 3 Имеем 12 разных конвертов, 4 разные марки и 11 разных открыток. Сколькими способами можно составить комплект из конверта, марки и открытки? В коробке лежат 18 конфет, 9 из которых шоколадные. Какова вроятность вытащить наугад: а) шоколадную конфету? б) две шоколадные конфеты? Дана выборка количества страниц учебников: 212,248, 256, 228, 272, 232, 248, 176, 332, 256. Найдите: а) объем выборки; б) размах выборки; в) моду, медиану, среднее значение выборки. Постройте гистограмму частот. В коробке лежат карточки, на которых записаны буквы слова КОНТРРЕВОЛЮЦИЯ. Какова вероятность того, что на наугад взятой карточке будет записана буква: а) О; б) Р? В) Щ? Сколько различных четырёхзначных чисел, кратных десяти, можно составить из цифр 0, 1, 3, 5, 7, 9, если в каждом числе ни одна из цифр не повторяется? В классе 15 учащихся, из них 8 увлекаются спортом. Найдите вероятность того, что из четырёх выбранных наугад учащихся а) трое- спортсмены? б) не менее двух будут спортсменами? Решить уравнение: | 11 класс Контрольная работа по теме: « Элементы комбинаторики, математической статистики, теории вероятностей» ВАРИАНТ 4 В столовой есть 3 вида первого блюда, 5 видов второго блюда и 3 вида компота. Сколько существует вариантов обеда для студента, если обычно он покупает первое, второе и компот? В ящике лежат 20 шариков, 12 из которых черные. Какова вроятность вытащить наугад: а) черный шарик? б) три черных шарика( вытащенный шарик в ящик не возвращается)? Дана выборка результатов внешнего оценивания по математике 10 человек (в баллах):167, 197, 167,145, 145, 180, 150, 195, 167,142. Найдите: а) объем выборки; б) размах выборки; в) моду, медиану, среднее значение выборки. Постройте полигон частот. В коробке лежат 30 карточек, на которых записаны числа от 1 до 30. Какова вероятность того, что на наугад взятой карточке будет записано число, которое а) кратно 7; б) не кратно ни числу 2, ни числу 3, ни числу 5? Сколько различных четырёхзначных нечётных чисел можно составить , если в каждом числе ни одна из цифр не повторяется? В кинотеатре 150 зрителей, из них 80 детей. Найдите вероятность того, что из пятидесяти выбранных наугад зрителей будут а) 50 детей? б) не более одного взрослого? Решить уравнение: |