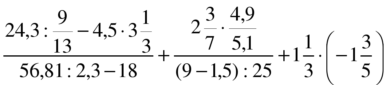
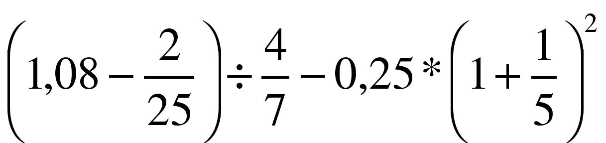
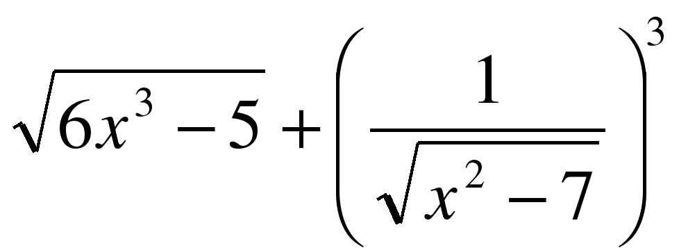
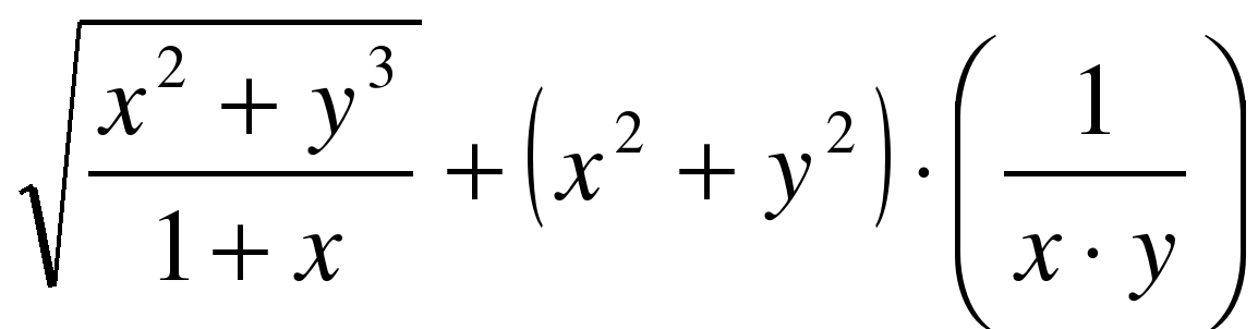
Методическая разработка представлена набором заданий для выполнения практической работы в текстовом редакторе Word по работе с редактором формул. Работа направлена на отработку навыков работы с такими элементами редактора формул, как степень, индекс, корень n-ой степени, дроби, скобки, непечатаемые символы и др.
Разработку можно использовать не только для отработки навыков работы по данной теме, но и для проверки умений работы с редактором формул в текстовом редакторе Word. Также возможно ее использование при дифференцированном обучении путем выделения более простых и более сложных заданий.

Весь материал - смотрите документ.


;

Практическая работа по информатике "ТР Word "Редактор формул"" (66 КB)

