Меню
Разработки
Разработки  /  Алгебра  /  Уроки  /  9 класс  /  Арифметическая прогрессия

Арифметическая прогрессия

Урок алгебры в 9 классе «Арифметическая прогрессия» - урок систематизации и обобщения знаний учащихся перед контрольной работой. Учащиеся работают в группах, где решают различные задания на трех этапах уроках: этап качественных задач, этап теоретических задач и этап эксперементальных задач.

18.01.2018

Содержимое разработки

ФИ


1

2

3

итог

Себя





Своя группа





Другая группа






ФИ


1

2

3

итог

Себя





Своя группа





Другая группа






ФИ


1

2

3

итог

Себя





Своя группа





Другая группа






ФИ


1

2

3

итог

Себя





Своя группа





Другая группа






ФИ


1

2

3

итог

Себя





Своя группа





Другая группа






ФИ


1

2

3

итог

Себя





Своя группа





Другая группа






ФИ


1

2

3

итог

Себя





Своя группа





Другая группа





ФИ


1

2

3

итог

Себя





Своя группа





Другая группа






ФИ


1

2

3

итог

Себя





Своя группа





Другая группа






ФИ


1

2

3

итог

Себя





Своя группа





Другая группа






ФИ


1

2

3

итог

Себя





Своя группа





Другая группа






ФИ


1

2

3

итог

Себя





Своя группа





Другая группа






ФИ


1

2

3

итог

Себя





Своя группа





Другая группа






ФИ__________________________________


1

2

3

итог

Себя





Своя группа





Другая группа






Содержимое разработки

МБОУ Кигбаевская СОШ

















урок алгебры

Арифметическая прогрессия

9 класс









Автор: Аверькова Галина

Александровна

учитель математики

Урок алгебры в 9 классе «Арифметическая прогрессия»

(урок систематизации и обобщения знаний учащихся)


Цели:

  • Актуализировать знания учащихся;

  • Обобщить и систематизировать знания, умения и навыки;

  • Углубить полученные знания;

  • Подготовить учащихся к контрольной работе.

Задачи:

  • совершенствовать навыки решения задач по теме “Арифметическая прогрессия”;

  • формировать отношения взаимной ответственности в группах;

  • развивать у учащихся познавательный интерес к предмету.

Ход урока

1. Постановка целей урока

Сегодня у нас заключительный урок по теме “Арифметическая прогрессия”, и мы должны обобщить и систематизировать знания и умения, приобретенные при изучении данной темы и подготовиться к контрольной работе.

2. Комментарий к организации урока

У нас 2 команды (на команды учащихся нужно разделить по равным силам). В команде можете помогать друг другу. Наш урок состоит из трех этапов. В течения этапа отмечайте в оценочном листе свои ответы, а после каждого этапа в оценочных листах вы ставите оценки себе, своей команде и команде соперников по 5-ти бальной системе. Желаю успехов.

3. Этап качественных задач (10 мин)

Итак 1 этап. На первом этапе мы решаем качественные задачи. Возьмите приложение 1. Вам необходимо найти пары соответствующих формул. Даю вам 2 минуты. Отвечать будете по очереди и постарайтесь, чтобы в команде все приняли участие.

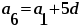
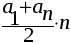
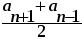
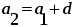
Ответы: 1 – 8, 2 – 7, 3 – 2, 3 – 5, 4 – 4, 4 – 6, 5 – 1, 5 – 3.

Второе задание. Возьмите приложение 2. Вам необходимо найти ошибки в формулах. Снова отвечаете по очереди. Желательно, чтобы принимали участие все.

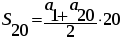
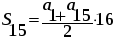
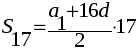
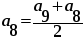
Ответы: 1- вместо 6 нужно 5; 2 – а7; 3 – не 16, а 15; 4 – 12-8; 5 – перед а должна стоять 2; 6 – S9; 7 – а17; 8 – а8.

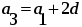
Третье и последнее задание этого этапа – это решение цепочки. В каждой цепочке проставлены номера. Вы должны используя данные, найти неизвестные. Каждый ученик решает один номер. Распределите, кто какой номер будет выполнять.

Ответы: 1 - (-5); 2 – (-17); 3 – (-32); 4 – (22); 5 – (-133); 6 – (-370); 7 – (-10).

Закончился первый этап. Поставьте, пожалуйста, оценки себе, своей команде и команде соперников.

4. Этап теоретических задач (10 мин)

На данном этапе вы получаете по задаче на различные методы решения. (приложение 4). Но ваша задача заключается не только в том, чтобы ее решить, но и распределить обязанности, после решения, кто за что отвечает. Возьмите инструкцию для задач 2 этапа (приложение 3):

Первый ученик – анализирует условие задачи, то есть, что дано и что нужно найти.

Второй и третий – решает задачу на доске.

Четвертый и пятый – представляет формулы, которыми пользовались при решении задачи.

Шестой – анализирует полученное решение, то есть объясняет ход решения.

Ответы: 1 команда – 273; 2 команда – не является.

Закончился второй этап. Поставьте, пожалуйста, оценки себе, своей команде и команде соперников.

5. Этап экспериментальных задач (10 мин)

Усложняем вам задачу. Возьмите приложение 5. Вам дана не только задача, но и план действий, то есть набор формул. Ваша задача взять только нужные формулы, а не нужные не использовать. Здесь тоже каждый член команды должен иметь свое поручение. Для этого вам дана еще одна инструкция на том же листе.

Первый ученик – анализирует условие задачи, то есть, что дано и что нужно найти.

Второй и третий – решает задачу на доске.

Четвертый – представляет формулы из плана действий, которыми пользовались при решении задачи.

Пятый - представляет формулы из плана действий, которые убрали.

Шестой – анализирует результат (почему ваш план решения короче).


Ответы: 1 команда – 30; 2 команда – -1160.

Закончился третий этап. Поставьте, пожалуйста, оценки себе, своей команде и команде соперников.

6. Подведение итогов

Ну вот мы и подходим к развязке нашего урока. Сейчас посчитайте свои оценки и высчитайте среднее арифметическое. Теперь выведете своей команде общую оценку, то есть сложите все оценки. И аналогично сосчитайте у команды – соперницы. Я сложу ваши результаты с результатами соперников. Выиграла __ команда. Мне будет вдвойне приятно, если сегодняшние оценки вы подтвердите на контрольной работе. Спасибо за урок. Молодцы!






Дополнительные задачи


  1. В арифметической прогрессии известно, что и . Найдите первые пять членов этой прогрессии.

Ответ: 3; 7; 11; 15; 19


  1. В арифметической прогрессии известно, что . Найдите .

Ответ: 47,6


  1. Арифметическая прогрессия задана формулой . Найдите сумму членов данной прогрессии с 7-ого по 20-й включительно.

Ответ: 336





Содержимое разработки

Заполните таблицу формулами и понятиями



Арифметическая прогрессия

Определение



Допустимые значения



d›0



d‹0



Формула n-го члена



Разность





Формула суммы n первых членов






Другие формулы










Приложение 1

Сопоставить формулы



1.

1.

2.



2. 3.



4.

3.

5.



4. 6.




7.

5.

8.


Приложение 2


Найдите допущенные ошибки



1.


2.


3.


4.


5.


6.


7.


8.










Приложение 3



Инструкция для выполнения задачи 2 этапа


Первый ученик – анализирует условие задачи, то есть, что дано и что нужно найти.

Второй и третий – решает задачу на доске.

Четвертый и пятый – представляет формулы, которыми пользовались при решении задачи.

Шестой – анализирует полученное решение, то есть объясняет ход решения.



Инструкция для выполнения задачи 3 этапа


Первый ученик – анализирует условие задачи, то есть, что дано и что нужно найти.

Второй и третий – решает задачу на доске.

Четвертый – представляет формулы из плана действий, которыми пользовались при решении задачи.

Пятый - представляет формулы из плана действий, которые убрали.

Шестой – анализирует результат (почему ваш план решения короче).








Приложение 4


Задача 2 этапа для 1 команды

Найдите сумму всех натуральных чисел, кратных 3 и не превосходящих 40.




Задача 2 этапа для 2 команды

Является ли число 54,5 членом арифметической прогрессии, в которой а1=5,5 и а5=25,5?






























Приложение 5


Задача 3 этапа для 1 команды

Между числами 1 и 4 вставьте 10 чисел так, чтобы они вместе с данными составляли арифметическую прогрессию.

Найти разность и сумму членов полученной прогрессии.


План действий:




Приложение 5


Задача 3 этапа для 2 команды

Арифметическая прогрессия задана формулой аn=6n-121

Найдите сумму отрицательных членов данной прогрессии.


План действий:


  1. 6n-121‹0






Содержимое разработки

9 класс Учитель МБОУ Кигбаевская СОШ Аверькова Галина Александровна

9 класс

Учитель МБОУ Кигбаевская СОШ

Аверькова Галина Александровна

1. В последовательности (х n ): 3; 0; -3; -6; -9; -12;…   назовите первый, третий и шестой  члены. 2. Последовательность (а n ) задана формулой     а n =  6 n -  1.  Найдите a 1 , а 2 , a 3 ; а 20 ,  а 100 , а k .

1. В последовательности (х n ): 3; 0; -3; -6; -9; -12;… назовите первый, третий и шестой члены.

2. Последовательность (а n ) задана формулой

а n = 6 n - 1.

Найдите a 1 , а 2 , a 3 ; а 20 , а 100 , а k .

Арифметической прогрессией (а n ) называется ……….. Разностью арифметической прогрессии называется…………. Запишите формулу для вычисления а n через а 1 и d. Запишите формулу суммы n-первых членов арифметической прогрессии.
  • Арифметической прогрессией (а n ) называется ………..
  • Разностью арифметической прогрессии называется………….
  • Запишите формулу для вычисления а n через а 1 и d.
  • Запишите формулу суммы n-первых членов арифметической прогрессии.

В арифметической прогрессии (х п ) известны первый член х 1 , и второй член х 2 . Найдите разность d.
  • В арифметической прогрессии (х п ) известны первый член х 1 , и второй член х 2 . Найдите разность d.

1 вариан т

2 вариант

х 1 =8

х 2 =4

х 1 =9

х 2 =3

r= ?

r= ?

2. В арифметической прогрессии (b п ) известны первый член b 1 , и второй член b 2 . Найдите третий член прогрессии.  2 вариант b 1 =8 b 2 =4 b 3 = ? 1 вариант b 1 = 9 b 2 = 3 b 3 = ?

2. В арифметической прогрессии (b п ) известны первый член b 1 , и второй член b 2 . Найдите третий член прогрессии.

2 вариант

b 1 =8

b 2 =4

b 3 = ?

1 вариант

b 1 = 9

b 2 = 3

b 3 = ?

3. Найдите а п член арифметической прогрессии, если известны её первый член и разность.  2 вариант a 1 = 1 d = - 2 n = 6 а п = ? 1 вариант a 1 = 1 d = -2 n = 4 а п = ?

3. Найдите а п член арифметической прогрессии, если известны её первый член и разность.

2 вариант

a 1 = 1

d = - 2

n = 6

а п = ?

1 вариант

a 1 = 1

d = -2

n = 4

а п = ?

4. Найдите сумму первых n членов арифметической прогрессии, если известны её первый член и разность.  1 вариант 2 вариант a 1 = 5 d = -2 b 1 = 10 d= -3  S 8 = ? S 5 = ?

4. Найдите сумму первых n членов арифметической прогрессии, если известны её первый член и разность.

1 вариант

2 вариант

a 1 = 5

d = -2

b 1 = 10

d= -3

S 8 = ?

S 5 = ?

5 4 3 2 1 1 8 7 2 3 6 5 4

5

4

3

2

1

1

8

7

2

3

6

5

4

-80%
Курсы повышения квалификации

Развитие человека от рождения до смерти: психология развития и возрастная психология

Продолжительность 72 часа
Документ: Удостоверение о повышении квалификации
4000 руб.
800 руб.
Подробнее
Скачать разработку
Сохранить у себя:
Арифметическая прогрессия (964.8 KB)

Комментарии 0

Чтобы добавить комментарий зарегистрируйтесь или на сайт