Из курса алгебры 7 класса вы уже знакомы с пятью свойствами степеней с натуральными показателями. Давайте проверим, можно ли пользоваться этими свойствами для преобразования степеней с целыми показателями. Проверять будем на конкретных примерах. Сразу договоримся основания степеней считать отличными от нуля.


Как видите, известные вам свойства степени с натуральным показателем справедливы и для степени с любым целым показателем. Нужно только предполагать, что основание степени не равно нулю.

Запишем свойства степени с любым целым показателем.
Для каждого
и
целых
и
выполняются
равенства:

Для каждых
и
любого целого
выполняются
следующие равенства:

Из свойств степени вытекает, что действия над степенями с целыми показателями выполняются по тем же правилам, что и действия над степенями с натуральными показателями.
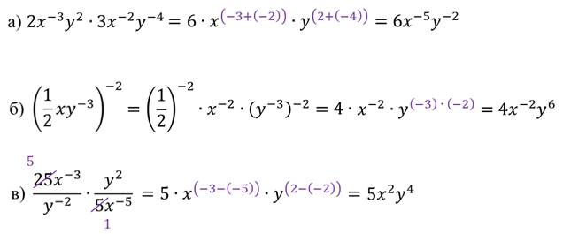
Задание: упростите выражения.
Решение:

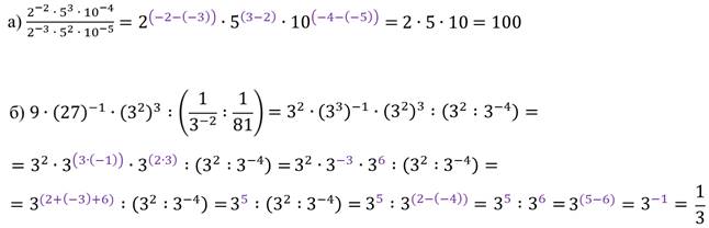
Задание: вычислите значение выражения.
Решение:

Итоги:
Действия над степенями с целыми показателями выполняются по тем же правилам, что и действия над степенями с натуральными показателями.
Для каждого
и
целых
и
выполняются
равенства:

Для каждых
и
любого целого
выполняются
следующие равенства:







