Сегодня на уроке мы вспомним определение производной функции. Познакомимся с формулой производной степенной функции.
Прежде чем приступить к рассмотрению новой темы, давайте вспомним определение производной.
Итак, пусть функция
определена на некотором промежутке,
– точка этого промежутка и число
такое, что
также принадлежит данному промежутку. Тогда предел разностного
отношения
при
(если этот предел существует), называется производной функции
в точке
и обозначается
. Таким образом,
.
Давайте с вами докажем, что
.

Сейчас докажем, что
.

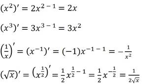
На предыдущем занятии мы с вами получили следующие формулы для производных:
;
;
;
.
На этом занятии мы доказали, что
,
.
Четыре последние формулы являются формулами производной степенной
функции
для
, для
, для
и для
.
Заметим, что эти четыре формулы мы можем записать следующим образом:

Ещё раз посмотрев на каждую из формул, сделаем вывод, что для
любого действительного показателя справедлива формула производной степенной
функции: 
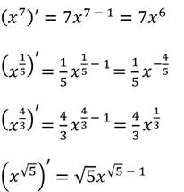
Приведём примеры.

Познакомимся с ещё одной формулой. Если нам с вами надо найти
производную
, то мы воспользуемся формулой производной степенной функции и
получим
. Если надо найти
, то мы воспользуемся известной вам формулой
и в результате получим
.
Но бывают более сложные случаи. Например, нам надо найти
. Здесь мы можем воспользоваться вот такой формулой
.
В нашем случае
,
,
. Тогда по этой формуле получаем, что
.
А сейчас давайте выполним несколько заданий.
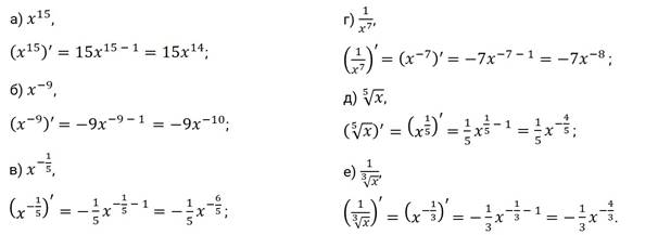
Задание первое. Найдите производные функций:
а)
; б)
; в)
; г)
; д)
; е)
.
Решение.

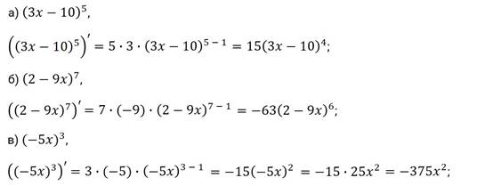
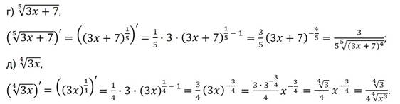
Задание второе. Найдите производные функций:
а)
; б)
; в)
; г)
; д)
.
Решение.


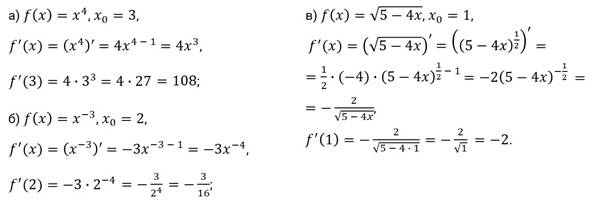
Задние третье. Найдите
, если:
а)
,
; б)
,
; в)
,
.
Решение.







