ВАРИАНТ № 2 Входной тест по физике
Список вопросов теста
Вопрос 1
Какую скорость (в километрах в час) должен развивать реактивный самолет, чтобы она была равна скорости звука в воздухе 340 м/с?
1) 846 км/ч; 2) 1080 км/ч; 3) 1224км/ч; 4) 2040 км/ч
Варианты ответов
- 1
- 2
- 3
- 3
Вопрос 2
По графику зависимости модуля скорости от времени, представленному на рисунке, определить ускорение тела.

1) 0,8 м/с 2; 2) 4 м/с2;
3) 1 м/с2; 4) 2 м/с2
Варианты ответов
- 1
- 2
- 3
- 4
Вопрос 3
Сила 50 Н сообщает телу ускорение 5 м/с2. Какая сила сообщает этому же телу ускорение 1 м/с2?
1) 5 Н; 2) 10Н;
3) 20 Н; 4) 25 Н.
Варианты ответов
- 1
- 2
- 3
- 4
Вопрос 4
4. По поверхности воды в озере волна распространяется со скоростью 6 м/с. Какова частота колебаний поплавка, если длина волны 3 м.
1) 2 Гц; 2) 0,5 Гц; 3) 18 Гц; 4) 9 Гц.
Варианты ответов
- 1
- 2
- 3
- 4
Вопрос 5
Сколько молекул в 1 моле газа:
1)12∙10 23 молекул; 2) 6∙1023 молекул;
3) 105 молекул; 4) 1∙1023 молекул;
Варианты ответов
- 1
- 2
- 3
- 4
Вопрос 6
Как изменится сила тока в резисторе, если подаваемое напряжение увеличить в два раза, а сопротивление уменьшить в два раза?
1) не изменится; 2)уменьшится в 4 раза
3) увеличится в два раза 4) увеличится в 4 раза.
Варианты ответов
- 1
- 2
- 3
- 4
Вопрос 7
Магнит двигают в замкнутом проводящем кольце. От чего зависит величина возникающего индукционного тока?
1) от скорости движения магнита;
2) от полюса магнита;
3) от того вставляют магнит или вытаскивают;
4) от длины магнита.
Варианты ответов
- 1
- 2
- 3
- 4
Вопрос 8
От чего зависит период собственных незатухающих электромагнитных колебаний в контуре?
1) От индуктивности катушки;
2) от емкости конденсатора;
3) от емкости конденсатора и индуктивности катушки;
4) только от наличия активного сопротивления в цепи.
Варианты ответов
- 1
- 2
- 3
- 4
Вопрос 9
Какая частица взаимодействует с ядром алюминия в следующей ядерной реакции: \(_5^{11}B+?\rightarrow_7^{14}N+_0^1n\)
1)протон \(_1^1H\) ; 2)электрон \(_{-1}^0e\)
3)нейтрон \(_0^1n\) 4)α частица \(_2^4He\);
Варианты ответов
- 1
- 2
- 3
- 4
Вопрос 10
Порядковый номер натрия в таблице Менделеева 11. Массовое число 23. Определите для атома натрия число электронов, число протонов, число нейтронов?
1) 11, 11, 23; 2) 11 ,23, 12;
3) 23, 12, 11; 4) 11, 11, 12
Варианты ответов
- 1
- 2
- 3
- 4
Вопрос 11
В1. Установите соответствие между физическими величинами и единицами измерения этих величин в СИ. К каждой позиции первого столбца подберите соответствующую позицию второго и запишите в таблицу выбранные цифры под соответствующими буквами.
|
Физическая величина |
Единица измерения
|
|
А) сила тока
Б) количество теплоты
В) мощность
|
|
Ответ:
|
А |
Б |
В |
|
|
|
|
Варианты ответов
- 135
- 243
- 354
- 451
Вопрос 12
В2. Установите соответствие между физическими величинами и их формулами. К каждой позиции первого столбца подберите соответствующую позицию второго и запишите в таблицу выбранные цифры под соответствующими буквами.
|
Физическая величина |
Формула |
|
А) Сила Ампера Б) Сила Всемирного тяготения В) Сила Архимеда |
|
|
А |
Б |
В |
|
|
|
|
Варианты ответов
- 134
- 451
- 431
- 542
Вопрос 13
В3. Математическому маятнику сообщили скорость, толкнув его из положения равновесия. Что происходит при этом с его силой тяжести, потенциальной энергией, кинетической энергией?
Установите соответствие между физическими величинами и характером изменения этих величин. К каждой позиции первого столбца подберите соответствующую позицию второго и запишите в таблицу выбранные цифры под соответствующими буквамИ
|
Физические величины
|
Характер изменений |
|
А) кинетическая энергия Б) потенциальная энергия В) сила тяжести |
1)увеличивается 2)уменьшается 3)не изменяется |
Ответ:
|
А |
Б |
В |
|
|
|
|
Варианты ответов
- 213
- 312
- 223
- 321
Вопрос 14
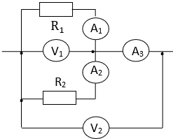
С1. Амперметр А1 показывает силу тока 2 А, сопротивление R1=10 Ом, сопротивление R2=20Ом. Найти показания других приборов:
\(A_2,\ A_3,\ V_1,V_2\ -?\ \)

Предоставить полное решение задачи . Фото решения прислать мне на почту.
Варианты ответов
- 2А,4А,20В,40В
- 1А,3А,20В,20В
- 4А,6А,40В,20В
- 1А,2А,20В,20В
Вопрос 15
С2. Найти наименьший радиус дуги поворота автомобиля, если он движется со скоростью 36км/ч при коэффициенте трения колес о дорогу 0,25.
Варианты ответов
- 20 м
- 40 м
- 4 м
- 518 м


