Контрольная работа
Плащевая Виталина Витальевна
12.04.2023.
Тест. Геометрия, 9 класс
Контрольную работу выполняем в тетради и фото отправляем
Система оценки:
5* балльная
Список вопросов теста
Вопрос 1
Найдите площадь кольца, расположенного
между двумя окружностями, имеющими
общий центр (радиусы по рис.)
Вопрос 2
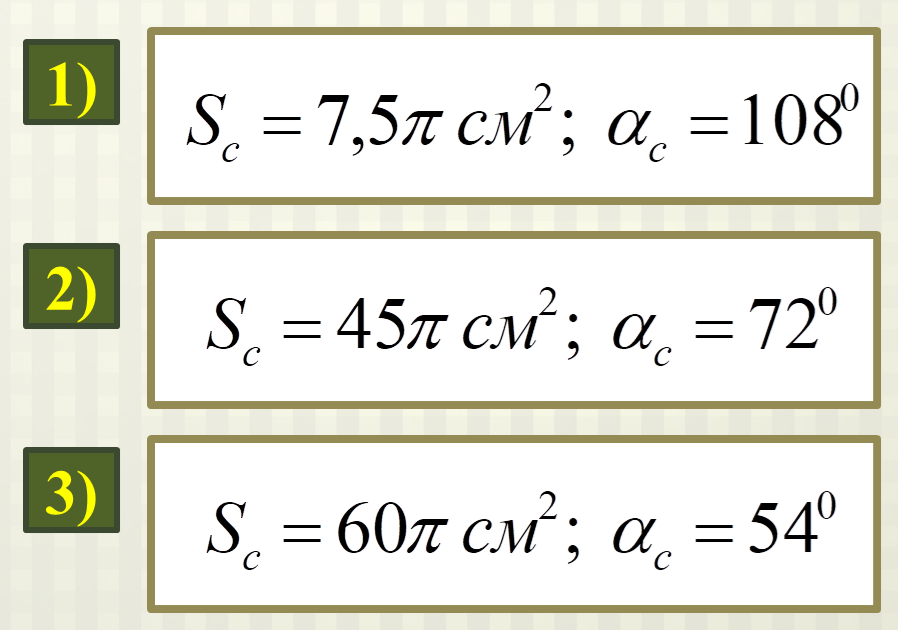
Найдите радиус круга, если
(Sс-сектор). Ответов должно быть 3, записываем их через запятую в нужном порядке!
Вопрос 3
Найдите площадь заштрихованной фигуры (рис.)
Вопрос 4
Стороны треугольника равны 10 см,17 см
и 21 см. Найдите площади описанного около него круга.
Ответ округлите до сотых!
П в ответе остается!
Вопрос 5
Стороны треугольника равны 10 см,17 см
и 21 см. Найдите площадь вписанного в него круга.
Ответ округлите до сотых!
П в ответе остается!
Получите комплекты видеоуроков + онлайн версии
Пройти тест
Сохранить у себя:
Тесты по геометрии 9 класс
0
291
Нравится
0


