Меню
Разработки
Разработки  /  Информатика  /  Разное  /  6 класс  /  Входной тест для 6 класса

Входной тест для 6 класса

17.09.2020

Содержимое разработки

Вариант 1

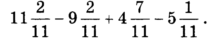
1.Выполните действия

А)

Б)

В)

2.Решите уравнения

А)

Б)

3. Решить задачу

4. Решить задачу












Вариант 2

1.Выполните действия

А)

Б)

В)

2.Решите уравнения

А)

Б)

3. Решить задачу

4. Решить задачу





-80%
Курсы дополнительного образования

Создание динамических веб-страниц с помощью PHP и MySQL

Продолжительность 72 часа
Документ: Cвидетельство о прохождении курса
4000 руб.
800 руб.
Подробнее
Скачать разработку
Сохранить у себя:
Входной тест для 6 класса (5.21 MB)

Комментарии 0

Чтобы добавить комментарий зарегистрируйтесь или на сайт