Материал содержит 17 заданий.

Весь материал - смотрите документ.
Материал содержит 17 заданий.

Весь материал - смотрите документ.
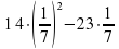
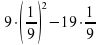
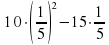
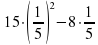
1. Найдите значение выражения
1)
; 5)
; 9)
;
2)
; 6)
; 10)
3) 80 + 0,4· (−10)3 ; 7)
; 11)
4) 0,9 · (−10)2 −120; 8)
; 12)
2. Одна из точек, отмеченных на координатной прямой, соответствует числу
. Какая это точка?
![]()
1) точка А 2) точка В 3) точка С 4) точка D
3. Одна из точек, отмеченных на координатной прямой, соответствует числу
. Какая это точка?
![]()
1) точка А 2) точка В 3) точка С 4) точка D
4. Одна из точек, отмеченных на координатной прямой, соответствует числу
. Какая это точка?
![]()
1) точка А 2) точка В 3) точка С 4) точка D
5. Одна из точек, отмеченных на координатной прямой, соответствует числу
. Какая это точка?
![]()
1) точка М 2) точка N 3) точка P 4) точка Q
6. Одна из точек, отмеченных на координатной прямой, соответствует числу
. Какая это точка?
![]()
1) точка М 2) точка N 3) точка P 4) точка Q
7. Одна из точек, отмеченных на координатной прямой, соответствует числу
. Какая это точка?
![]()
1) точка М 2) точка N 3) точка P 4) точка Q
8. Одна из точек, отмеченных на координатной прямой, соответствует числу
. Какая это точка?
![]()
1) точка М 2) точка N 3) точка P 4) точка Q
9. Одна из точек, отмеченных на координатной прямой, соответствует числу
. Какая это точка?
1) точка A 2) точка B 3) точка C 4) точка D
10. Одна из точек, отмеченных на координатной прямой, соответствует числу . Какая это точка?
1) точка A 2) точка B 3) точка C 4) точка D
11. Одна из точек, отмеченных на координатной прямой, соответствует числу
. Какая это точка?
1) точка A 2) точка B 3) точка C 4) точка D
12. Одна из точек, отмеченных на координатной прямой, соответствует числу . Какая это точка?
1) точка A 2) точка B 3) точка C 4) точка D
13. Одна из точек, отмеченных на координатной прямой, соответствует числу . Какая это точка?
1) точка A 2) точка B 3) точка C 4) точка D
14. Найдите значение выражения
1) ; 6) 0,8·(−10)2−95 ; 11) ; 16)
;
2) ; 7) 0,7·(−10)3−20 ; 12) 80+0,3·(−10)3 ; 17) 0,6·(−10)3+50 ;
3) ; 8) −0,7·(−10)2+90 ; 13) 30−0,8·(−10)2 ; 18)
;
4) 0,2·(−10)2+55; 9) −90+0,7·(−10)3 ; 14) ; 19) 80+0,9·(−10)3 ;
5) ; 10) 45+0,6·(−10)2 ; 15)
; 20)
.
15. Найдите значение выражения
1) (4,9·10−3)(4·10−2) ; 3)
2) (3,4·10−2)(5·10−2) ;
16. Сравнить числа:
1) +
и 16 ; 7) +
и 16 ;
2)
+ и 14 ; 8)
+
и 12 ;
3) +
и 12 ; 9)
+
и 14 ;
4) +
и 10 ; 10)
+
и 16 ;
5) +
и 14 ; 11)
+
и 10.
6) +
и 12 ;
17. Какое из чисел больше:
1) ; 4) ;
2) ; 5) .
3) ;
-80%