УМК ИНФОРМАТИКА 2 КУРС Гаврилова Т.Б.
Срез знаний
по дисциплине «Информатика» для студентов 2 курса СПО
Вариант 1
Каждый символ в алфавите компьютера занимает … бит памяти.
4 4. 8
2 5. 16
1 6. 32
За единицу измерения количества информации принят…
1 бод 2. 1бит 3. 1 байт 4. 1 кбайт
Предложены команды:
1.Создать файл home.txt
2.Создать каталог TOWN
3.Создать каталог STREET
4.Войти в созданный каталог
5.Сделать диск А текущим
Расположите пронумерованные команды так, чтобы был получен алгоритм, с помощью которого на пустой дискет создается файл с полным именем A:\TOWN\STREET\home.txt
5;1;3;4;2
5;2;3;1
5;2;4;3;4;1
5;1;2;3;4
1;3;2;5
Драйвер – это…
Устройство длительного хранения информации;
Программа, управляющая конкретным внешним устройством;
Устройство ввода;
Устройство, позволяющее подсоединить к компьютеру новое внешнее устройство;
Устройство ввода.
Что не включается в понятие «Информационные процессы»?(два варианта ответов)
А. Хранение Б. Переадресация В. Передача Г. Обработка Д. Обновление
Что включает в себя понятие «Правила обработки информации»?
А. Скорость передачи информации Б. Пропускная способность
В. Надежность хранения Г. Алгоритмы Д. Время доступа
7) Минимальным объектом, используемым в текстовом редакторе, является….
1. слово 2. точка экрана(пиксель) 3. абзац 4. символ (знакоместо)
8) Построение графиков в MS EXCEL- выделить числовую информацию и ...
а) формат/ ячейки/ графики
б)Shift + Ctrl
в) вставка/ параметры/ граница
г) вставка/ диаграмма
9) В процессе редактирования текста изменяется…
1. размер шрифта 2. параметры абзаца 3. последовательность символов, слов, абзацев
4. параметры страницы
10) Какие функции выполняет операционная система?
Обеспечение организации и хранения файла;
Подключение устройств ввода-вывода;
Организация обмена данными между компьютером и различными периферийными устройствами;
Организация диалога с пользователем, управления аппаратурой и ресурсами компьютера.
11) Арифметическое выражение
может быть записано в электронной таблице в следующем виде
а) (4^5 + 3/6 * 7)/2/14 * 23/8
б) 4^(5 + 3)/6 * 7/2/14 * 23/8
в) 4^(5 + 3)/6 * 7/2 * 8/14 * 23
г) 4^(5 + 3)/6 * 7/2 * 8/14/23
д) 4^((5 + 3)/6) * 7/2 * 8/14/23
12) Результатом вычислений в ячейке В2 при копировании формулы из ячейки В1 в В2 будет:
| | A | B | C |
| 1 | 5 | =A1*$C$1 | 10 |
| 2 | 6 | | |
1. 50 2. 60 3. 15 4. 11
13) Какой тег HTML задает обязательный заголовок документа?
А. …
Б. …
В. …
Г. …
Д. …
14). Какой тег HTML задает представление информации в виде списка без нумерации элементов?
А.
…
Б.
В. …
Г. …
Д.
…
15) При поиске информации в СУБД необходимо:
А. Задать размеры поля
Б. Создать запрос на поиск
В. Задать формат поля
Г. Задать тип поля
Д. Задать размеры таблицы
Срез знаний
по дисциплине «Информатика» для студентов 2 курса СПО
Вариант 2
Что не включается в понятие «Виды обработки информации»?:
Математические вычисления
Логические рассуждения
Структурирование
Кодирование
Защита информации
Расставьте знаки в следующей цепочке:
20 байт…100 бит … 1 Мбайт … 1024 Кбайт … 1 Гбайт
,=,
,=,,
,
=,,=,
Укажите номера неправильных формулировок:
В каждом каталоге может быть много файлов
В каждом каталоге может быть много файлов с одинаковыми именами
В каждом каталоге могут быть вложены (подчиненные) каталоги
Файлы с одинаковыми именами не могут храниться в разных каталогах одного уровня подчинения
Файлы с одинаковыми именами не могут храниться в разных каталогах разного уровня подчинения
Каталог- это специальное место на диске, в котором хранятся имена файлов, сведения о размере файлов, времени их последнего обновления, атрибуты файлов и т.д.
В операционную систему MS-DOS не входит (укажите номер/номера неправильных ответов):
Базовая система ввода/вывода BIOS
Загрузчик операционной системы
интерпретатор языка BASIC;
файлы IO.SYS и MSDOS.SYS
системы управления базами данных Access
командный процессор COMMAND.COM
Какое устройство обладает наибольшей скоростью обмена информацией?
1. CD-ROM дисковод 2. жесткий диск
3. дисковод для гибких дисков 4. микросхемы оперативной памяти
6) Системная дискета необходима для…
1. первоначальной загрузки операционной системы 2. систематизации файлов
3. хранения важных файлов 4. «лечения» компьютеров от «вирусов»
7) Что не относится к понятию система команд СУБД?
Команды создания и редактирования БД
Команды поиска информации в БД
Команды сортировки записей БД
Команды проверки ошибок БД
8) Чтобы сохранить текстовый (документ) в определенном формате необходимо задать…
1. размер шрифта 2. тип файла 3. параметры абзаца 4. размеры страницы
9) Построение поверхностей - выделить числовую информацию и ...
а) формат/ ячейки/ графики
б)Shift + Ctrl
в) вставка/ параметры/ граница
г) вставка/ диаграмма
10) Примитивами в графическом редакторе называются…
1. линия, круг, прямоугольник 2. выделение, копирование, вставка
3. карандаш, кисть, ластик 4. наборы цветов (палитра)
11) В электронной таблице записано арифметическое выражение 2/3^2 - (13 - 6)/2/4 Выбрать математическую запись, соответствующую этому выражению
а) 
б) 
в) 
г) 
д) 
12) После копирования формулы из ячейки В1 в В2 результатом вычислений в ячейке С1 будет:
| | A | B | C |
| 1 | 5 | =$A$1*2 | =СУММ(A1:B2) |
| 2 | 6 | | |
1. 15 2. 21 3. 31 4. 33
13) Задан полный путь к файле C:\DOC\PROBA.TXT
Каково полное имя файла?
1. C:\DOC\PROBA.TXT 2. PROBA.TXT 3. DOC\PROBA.TXT 4. TXT
14) Какой тег HTML задает начало и конец файла?
А. …
Б. …
В. …
Г. …
Д. …
15). Какой тег HTML задает представление обычного текстового абзаца?
А.
…
Б.
В. …
Г. …
Д.
…
Срез знаний
по дисциплине «Информатика» для студентов 2 курса СПО
Вариант 3
1) Что не относится к понятию система команд графических редакторов?
Команды нанесения элементов рисунка
Команды удаления (стирания)
Команды выделения фрагмента
Команды копирования в буфер
Команды работы с базами данных
Что не относится к среде табличных процессоров?
Матрица ячеек
Строка ввода
Строка подсказки
Главное меню
Панель красок
Для чего служит загрузчик операционной системы MS-DOS?
для загрузки команд в оперативную память ЭВМ
для подключения устройств ввода-вывода
для считывания в память модулей операционной системы IO.SYS MSDOS.SYS
для обработки команд, вводимых пользователем
4) Какое устройство обладает наименьшей скоростью обмена информацией?
1. CD-ROM дисковод 2. жесткий диск
3. дисковод для гибких дисков 4.имкросхемы оперативной памяти
5) Запись и считывание информации в дисководах для гибких дисков осуществляется с помощью…
магнитной головки 2. лазера 3. термоэлемента 4.сенсорного датчика
6) В текстовом редакторе основными параметрами при задании параметров абзаца являются…
1.гарнитура, размер, начертание 2. отступ, интервал
3. поля, ориентация 4. стиль, шаблон
7) В текстовом редакторе выполнение операции Копирование становится возможным после…
Установки курсора в определенное положение
сохранения файла
распечатки файла
выделения фрагмента текста
8) Минимальным объектом, используемым в векторном графическом редакторе, является…
1. точка экрана(пиксель) 2. объект (прямоугольник, круг и т.д.)
3.палитра цветов 4. символ(знакоместо)
9) К основным операциям, возможным в графическом редакторе, относятся…
1. линия, круг, прямоугольник 2. выделение, копирование, вставка
3. карандаш, кисть, ластик 4. наборы цветов (палитра)
10) Арифметическое выражение
может быть записано в электронной таблице в следующем виде
а) (10^5 + 3/6 )/2*14 * 23/8
б) 10^(5 + 3)/6 /2*14 * 23/8
в) 10^(5 + 3)/6/2 /8*14 * 23
г) 10^(5 + 3)/6 /2 / 8/14/23
д) 10^((5 + 3)/6) /2 * 14*23/8
11) В результате копирования формул из диапазона В1:С1 в диапазон В2:С2 результатом вычислений в ячейке С2 будет:
| | A | B | C |
| 1 | 10 | =A1/2 | =А1+$В$1 |
| 2 | 12 | | |
1. 6 2. 12 3. 22 4. 17
12) Где находится BIOS?
В оперативно-запоминающем устройстве (ОЗУ);
На винчестере;
На CD-ROM;
В постоянно-запоминающем устройстве (ПЗУ).
13) Задан полный путь к файле C:\DOC\PROBA.TXT
Каково имя каталога, в котором находится файл PROBA.TXT?
1. C:\DOC\PROBA.TXT 2. PROBA.TXT 3. DOC 4. TXT
14) Какой тег HTML задает большой шрифт в документе?
А. …
Б. …
В. …
Г. …
Д. …
15). Какой тег HTML задает перевод на новую строку?
А. …
Б.
…
В.
…
Г.
Г.
Д.
Срез знаний
по дисциплине «Информатика» для студентов 2 курса СПО
Вариант 4
1) Какие функции выполняет программа COMMAND.COM?
хранит все команды, которые использует пользователь в своей работе
обрабатывает команды и программы, выполняемые при каждом запуске компьютера
хранит все команды операционной системы
обрабатывает команды, вводимые пользователем
2) Что не относится к среде графических редакторов?
Панель инструментов
Строка ввода
Строка состояния
Главное меню
Панель красок
3)Путь к файлу – это:
поименованная область на диске
последовательность из имен каталогов, разделенных знаком «\»
список файлов, собранных в одном каталоге
4) Процессор обрабатывает информацию…
1. в десятичной системе счисления 2. в двоичном коде
3. на языке Бейсик 4.в текстовом виде
5) Файл tetris.com находится на диске C: в каталоге GAMES, который является подкаталогом DAY. Выбрать полное имя файла:
C: \tetris.com\GAMES\ DAY
C: \ DAY \GAMES\tetris.com
C: \GAMES\tetris.com
C: \GAMES\DAY\ tetris.com
C: \GAMES\tetris.com
6) В текстовом редакторе основными параметрами при задании шрифта являются…
1.гарнитура, размер, начертание 2. отступ, интервал
3. поля, ориентация 4. стиль, шаблон
Каталог – это:
специальное место на диске, в котором хранятся имена файлов, сведения о размере файлов, времени их последнего обновления, атрибуты файлов
специальное место на диске, в котором хранятся программы, предназначенные для диалога с пользователем ЭВМ, управления аппаратурой и ресурсами системы
специальное место на диске, в котором хранится список программ составленных пользователем
Для чего предназначена MS-DOS:
DOS предназначена только для обработки и хранения файлов
DOS организует управление компьютером и его ресурсами через набор элементарных операций
DOS предназначена для обмена данными между компьютером и различными периферийными устройствами
DOS загружается при включении компьютера, производит диалог с пользователем, осуществляет управление компьютером, оперативной памятью, запускает другие ( прикладные) программы на выполнение
9) Растровый графический редактор предназначен для…
1. создания чертежей 2. для построения графиков
3.для построения диаграмм 4. создания и редактирования рисунков
10) Информационная емкость стандартных CD-ROM дисков может достигать…
1. 650 Мбайт 2. 1Мбайт 3. 1 Гбайт 4. 640 Кбайт
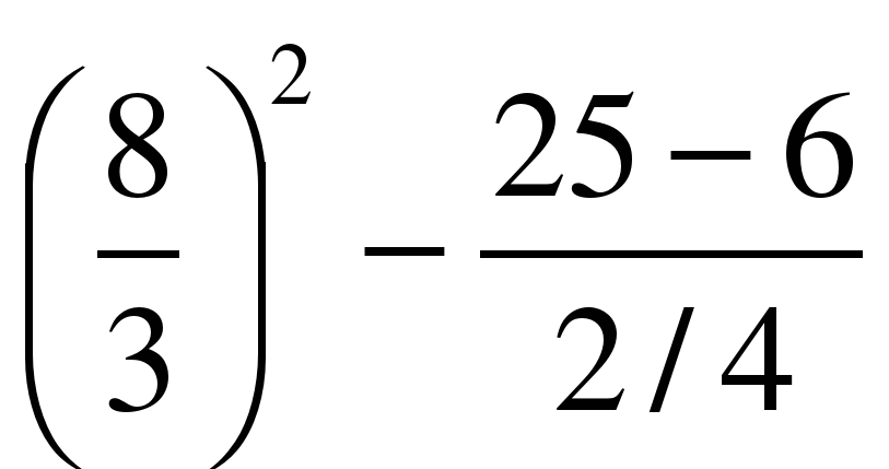
11) В электронной таблице записано арифметическое выражение 8/3^2 - (25 - 6)*2/4 Выбрать математическую запись, соответствующую этому выражению
а) 
б) 
в) 
г) 
д) 
12) В результате копирования формул из диапазона В1:С1 в диапазон В2:С2 результатом вычислений в ячейке С2 будет:
| | A | B | C |
| 1 | 5 | =A1*2 | =СУММ(A1:B1)*$А$1 |
| 2 | 10 | | |
1. 150 2. 50 3. 75 4. 225
13) Задан полный путь к файле C:\DOC\PROBA.TXT
Каково расширение файла, определяющего его тип?
1. C:\DOC\PROBA.TXT 2. PROBA.TXT 3. DOC \PROBA.TXT 4. TXT
14) Какой тег HTML задает жирный шрифт в документе?
А. …
Б. …
В. …
Г. …
Д. …
15). Какой тег HTML задает элемент списка?
А. …
Б.
…
В.
…
Г.
Д.
9