Цель урока:
1. Получить навыки по решению задач с помощью программы Excel. Освоить приемы применения функций в программе Excel.
2. Развивать логическое мышление, внимание. Развивать умение планировать деятельность, анализировать полученные результаты.
3. Показать практическую значимость данной области знаний с помощью решения задач.
Ход урока.
1. Орг. часть.
2. Проверка домашнего задания.
Фронтальный опрос по вопросам:
1. Назначение программы Excel
2. Какую информацию можно вводить в ячейки
3. Что такое формула; подход к решению задач
3. Слово преподавателя:
Порядок решения задач -
Открываем презентацию и повторяем:
Приводим пример решения:
Продумываем решение: составляем порядок действий и оформление:
Данные заполняем с помощью автоматического заполнения столбца прогрессией от -10 до 10 с шагом 1, формулу копируем в ячейки столбца.
4. Ввод формул с функциями:
Устанавливаем рамку на ячейку и вызываем, мастер вставки функций, выбираем категорию функций и указываем конкретную функцию:
Заполняем аргументы функции, при этом надо указать имена ячеек, над которыми совершаются действия:

Разберем структуру функции Если и какую формулу надо ввести для решения нашей задачи:
5. Обобщение.
Задача.
6. Задание для контрольных работ:
Задачи из заданий выводим на экран и кратко разбираем алгоритмы решения задач.
Критерии оценки: Правильность решения; Оформление работ (как в заданиях); на 3 достаточно решения 1 задачи, 2 задачи на 4, все на 5.
Раздаются задания контрольной работы в трех вариантах.
Самостоятельная работа студентов
7. Проверка работ студентов с разъяснением недостатков.
8. Подведение итогов.
9. Примечания.
Объявить оценки и с комментариями.
Вариант № 1
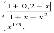
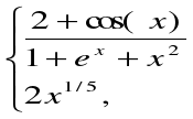
Задача № 1
Вычислить значение функции Y=4X3 + 10X - 12, при Х= 1,3,5,7,9,11 и сумму S значений Y.
Оформить в виде таблицы.
Весь материал - в документе.

лово преподавателя:
риводим пример решения:











Разработка урока по информатике "Решение задач" (0.79 MB)

