МАОУ многопрофильная гимназия № 13 г. Пензы
| Рассмотрено на заседании кафедры математики, физики, информатики и ИКТ Протокол № 1 от 29.08.2013 г | Принято педагогическим советом МАОУ многопрофильной гимназии № 13 г. Пензы Протокол № 10 от 30.08.2013 г | УТВЕРЖДАЮ Директор МАОУ Многопрофильной гимназии № 13 г. Пензы ____________ Е.Ю. Тымченко Приказ № 141 от 1.09.2013 г |
РАБОЧАЯ ПРОГРАММА
основного общего образования
по информатике и ИКТ
8-9 класс
составлена на основе образовательной программы основного общего образования
по информатике и ИКТ
МАОУ многопрофильной гимназии № 13 г. Пензы
Учитель: Салтанова Н.Н.,
Лобачёва Л.В.
Пенза
2013 г.
Пояснительная записка
Статус документа
Рабочая программа по информатике и информационным коммуникационным технологиям составлена на основе:
Структура документа
Рабочая программа включает в себя: пояснительную записку; содержание курса информатики и ИКТ; календарно-тематическое планирование; перечень компонентов учебно-методического комплекса; единые требования к уровню подготовки учащихся; о контрольно измерительных материалах; контрольно измерительные материалы.
Общая характеристика учебного предмета.
Информатика – это наука о закономерностях протекания информационных процессов в системах различной природы, о методах, средствах и технологиях автоматизации информационных процессов. Она способствует формированию современного научного мировоззрения, развитию интеллектуальных способностей и познавательных интересов школьников; освоение базирующихся на этой науке информационных технологий необходимых школьникам, как в самом образовательном процессе, так и в их повседневной и будущей жизни.
Приоритетными объектами изучения в курсе информатики основной школы выступают информационные процессы и информационные технологии. Теоретическая часть курса строится на основе раскрытия содержания информационной технологии решения задачи, через такие обобщающие понятия как: информационный процесс, информационная модель и информационные основы управления.
Практическая же часть курса направлена на освоение школьниками навыков использования средств информационных технологий, являющееся значимым не только для формирования функциональной грамотности, социализации школьников, последующей деятельности выпускников, но и для повышения эффективности освоения других учебных предметов.
Курс нацелен на формирование умений фиксировать информацию об окружающем мире; искать, анализировать, критически оценивать, отбирать информацию; организовывать информацию; передавать информацию; проектировать объекты и процессы, планировать свои действия; создавать, реализовывать и корректировать планы.
Программой предполагается проведение непродолжительных практических работ (20-25 мин), направленных на отработку отдельных технологических приемов, и практикумов – интегрированных практических работ, ориентированных на получение целостного содержательного результата, осмысленного и интересного для учащихся. Содержание теоретической и практической компонент курса информатики основной школы должно быть в соотношении 50х50. При выполнении работ практикума предполагается использование актуального содержательного материала и заданий из других предметных областей. Как правило, такие работы рассчитаны на несколько учебных часов. Часть практической работы (прежде всего подготовительный этап, не требующий использования средств информационных и коммуникационных технологий) может быть включена в домашнюю работу учащихся, в проектную деятельность; работа может быть разбита на части и осуществляться в течение нескольких недель.
В случае отсутствия должной технической базы для реализации отдельных работ практикума, образующийся резерв времени рекомендуется использовать для более глубокого изучения раздела «Алгоритмизация», или отработку пользовательских навыков с имеющимися средствами базовых ИКТ.
Цели обучения:
Изучение информатики и информационно-коммуникационных технологий в 8-9 классах направлено на достижение следующих целей:
освоение знаний, составляющих основу научных представлений об информации, информационных процессах, системах, технологиях и моделях;
овладение умениями работать с различными видами информации с помощью компьютера и других средств информационных и коммуникационных технологий (ИКТ) организовывать собственную информационную деятельность и планировать ее результаты;
развитие познавательных интересов, интеллектуальных и творческих способностей средствами ИКТ;
воспитание ответственного отношения к информации с учетом правовых и этических аспектов ее распространения; избирательного отношения к полученной информации;
• выработка навыков применения средств ИКТ в повседневной жизни, при выполнении индивидуальных и коллективных проектов, в учебной деятельности, дальнейшем освоении профессий, востребованных на рынке труда.
Задачи обучения:
систематизировать подходы к изучению предмета;
сформировать у учащихся единую систему понятий, связанных с созданием, получением, обработкой, интерпретацией и хранением информации;
научить пользоваться распространенными прикладными пакетами;
показать основные приемы эффективного использования информационных технологий;
сформировать логические связи с другими предметами, входящими в курс среднего образования.
Данный курс призван обеспечить базовые знания учащихся, т.е. сформировать представления о сущности информации и информационных процессов, развить логическое мышление, являющееся необходимой частью научного взгляда на мир, познакомить учащихся с современными информационными технологиями.
Учащиеся приобретают знания и умения работы на современных профессиональных ПК и программных средствах. Приобретение информационной культуры обеспечивается изучением и работой с текстовым и графическим редактором, электронными таблицами. СУБД, мультимедийными продуктами, средствами компьютерных телекоммуникаций.
Программой предполагается проведение практических работ, направленных на отработку отдельных технологических приемов.
Содержание данной Программы согласовано с содержанием примерной программы, рекомендованной Министерством образования и науки РФ. Имеются некоторые структурные отличия. Так в данной программе нет отдельного раздела «Представление информации». Однако все вопросы этого раздела раскрываются в других разделах базового курса. Представление различных типов данных излагается в разделах, относящихся к тем видам ИКТ, в которых эти данные используются. В связи с введением ГИА по информатике в 8 классе введены дополнительные темы по изучению логических элементов и построению таблиц истинности.
Такое расположение материала способствует лучшему формированию в сознании учеников связи между принципами представления данных разного типа в компьютерной памяти и технологиями работы с ними.
Место предмета в учебном плане
Федеральный базисный учебный план для образовательных учреждений Российской Федерации отводит 105 часов для обязательного изучения информатики и информационных технологий на ступени основного общего образования. В том числе в VIII классе – 35 учебных часов из расчета 1 учебный час в неделю и IX классе – 70 учебных часов из расчета 2 учебных часа в неделю.
Содержание курса информатики и ИКТ (105 часов)
8 класс (35 часов)
Информация и информационные процессы — 8 часов.
Введение в предмет информатики. Роль информации в жизни людей.
Информация. Информационные объекты различных видов.
Основные информационные процессы: хранение, передача и обработка информации. Восприятие, запоминание и преобразование сигналов живыми организмами.
Роль информации в жизни людей.
Понятие количества информации: различные подходы. Единицы измерения количества информации.
Системы счисления. Правила перевода из одной системы в другую.
Компьютер как универсальное устройство обработки информации — 9 часов.
Основные компоненты компьютера и их функции (процессор, устройства ввода и вывода информации, оперативная и долговременная память).
Гигиенические, эргономические и технические условия безопасной эксплуатации компьютера.
Программный принцип работы компьютера.
Программное обеспечение, его структура.
Операционные системы, их функции. Загрузка компьютера.
Данные и программы. Файлы и файловая система.
Командное взаимодействие пользователя с компьютером, графический пользовательский интерфейс (рабочий стол, окна, диалоговые панели, меню).
Практические работы:
Соединение блоков и устройств компьютера, подключение внешних устройств, включение понимание сигналов о готовности и неполадке, получение информации о характеристиках компьютера, выключение компьютера.
Оперирование компьютерными информационными объектами в наглядно-графической форме (изучение элементов интерфейса используемой графической операционной системы).
Планирование собственного информационного пространства, создание папок в соответствии с планом, создание, именование, сохранение, перенос, удаление объектов, организация их семейств, сохранение информационных объектов на внешних носителях.
Обработка текстовой информация — 8 часов
Компьютерное представление текстовой информации.
Создание и простейшее редактирование документов (вставка, удаление и замена символов, работа с фрагментами текстов). Нумерация и ориентация страниц. Размеры страницы, величина полей. Колонтитулы.
Проверка правописания.
Создание документов с использованием мастеров и шаблонов (визитная карточка, доклад, реферат).
Параметры шрифта, параметры абзаца.
Включение в текстовый документ списков, таблиц, диаграмм, формул и графических объектов.
Сохранение документа в различных текстовых форматах.
Практические работы:
Создание небольших текстовых документов посредством квалифицированного клавиатурного письма с использованием базовых средств текстовых редакторов.
Форматирование текстовых документов (установка параметров страницы документа; форматирование символов и абзацев; вставка колонтитулов и номеров страниц).
Вставка в документ формул.
Создание и форматирование списков.
Вставка в документ таблицы, ее форматирование и заполнение данными.
Обработка графической информация — 3 часов
Растровая и векторная графика.
Кодирование графической информации (пиксель, растр, кодировка цвета, видеопамять).
Интерфейс графических редакторов.
Рисунки и фотографии.
Форматы графических файлов.
Практические работы:
Создание изображения с помощью инструментов растрового графического редактора. Использование примитивов и шаблонов. Геометрические преобразования.
Создание изображения с помощью инструментов векторного графического редактора. Использование примитивов и шаблонов. Конструирование графических объектов: выделение, объединение. Геометрические преобразования.
Ввод изображений с помощью графической панели и сканера, использование готовых графических объектов.
Сканирование графических изображений.
Мультимедийные технологии — 3 часа
Компьютерные презентации. Дизайн презентации и макеты слайдов.
Звуки и видеоизображения. Композиция и монтаж.
Технические приемы записи звуковой и видео информации.
Использование простых анимационных графических объектов.
Практические работы:
Создание презентации с использованием готовых шаблонов, подбор иллюстративного материала, создание текста слайда.
Демонстрация презентации. Использование микрофона и проектора.
Запись изображений и звука с использованием различных устройств (цифровых фотоаппаратов и микроскопов, видеокамер, сканеров, магнитофонов).
Запись музыки (в том числе с использованием музыкальной клавиатуры).
Обработка материала, монтаж информационного объекта.
Резерв учебного времени — 4 часа
Всего — 35 часов
9 класс (68 часов)
Обработка числовой информации — 16 часов
Система счисления. Двоичная система счисления.
Представление числовой информации в различных системах счисления. Компьютерное представление числовой информации.
Табличные расчеты и электронные таблицы.
Структура электронной таблицы, типы данных: тексты, числа, формулы.
Адресация относительная и абсолютная.
Встроенные функции. Методы работы с электронными таблицами.
Построение графиков и диаграмм с помощью электронных таблиц.
Математическое моделирование и решение задач с помощью электронных таблиц.
Практические работы:
Ввод данных в готовую таблицу, изменение данных.
Создание и обработка таблиц.
Ввод математических формул и вычисление по ним. Создание таблиц значений функций в электронных таблицах.
Построение диаграмм и графиков.
Хранение информации — 10 часов
Понятие базы данных (БД), информационной системы. Основные понятия БД: запись, поле, типы полей, первичный ключ. Системы управления БД и принципы работы с ними. Просмотр и редактирование БД.
Проектирование и создание однотабличной БД.
Условия поиска информации, простые и сложные логические выражения. Логические операции. Поиск, удаление и сортировка записей.
Практические работы:
Проектирование базы данных.
Поиск записей в готовой базе данных.
Сортировка записей в готовой базе данных.
Алгоритмы и исполнители — 32 час
Кибернетика. Кибернетическая модель управления.
Понятие алгоритма и его свойства. Исполнитель алгоритмов: назначение, среда исполнения, система команд исполнителя, режимы работы.
Языки для записи алгоритмов (язык блок-схем, учебный алгоритмический язык). Линейные, ветвящиеся и циклические алгоритмы. Структурная методика алгоритмизации. Вспомогательные алгоритмы. Метод пошаговой детализации.
Алгоритмы работы с величинами: константы, переменные, понятие типов данных, ввод и вывод данных. Языки программирования высокого уровня (ЯПВУ), их классификация. Структура программы на языке «Паскаль». Представление данных в программе. Правила записи основных операторов: присваивания, ввода, вывода, ветвления, циклов. Структурированный тип данных - массив. Способы описания и обработки массивов.
Этапы решения задачи с использованием программирования: постановка, формализация, алгоритмизация, кодирование, откладка, тестирование.
Практические работы:
Разработка линейного алгоритма (программы) с использованием математических функций при записи арифметического выражения.
Разработка алгоритма (программы), содержащей оператор ветвления.
Разработка алгоритма (программы), содержащей оператор цикла.
Разработка алгоритма (программы), содержащей подпрограмму.
Разработка алгоритма (программы) по обработке одномерного массива.
Разработка алгоритма (программы), требующего для решения поставленной задачи использования логических операций.
Знакомство с системой программирования на языке «Паскаль»; ввод, трансляция и исполнение данной программы; разработка и исполнение данной программы; разработка и исполнение линейных, ветвящихся и циклических программ; программирование обработки массивов.
Формализация и моделирование — 2 часа
Понятие модели; модели натуральные и информационные. Назначение и свойства моделей.
Виды информационных моделей: вербальные, графические, математические, имитационные. Табличная организация информации. Области применения компьютерного информационного моделирования.
Практические работы:
Постановка и проведение эксперимента в виртуальной компьютерной лаборатории.
Построение генеалогического дерева семьи.
Создание схемы и чертежа в системе автоматизированного проектирования.
Построение и исследование компьютерной модели, реализующей анализ результатов измерений и наблюдений с использованием системы программирования.
Построение и исследование компьютерной модели, реализующей анализ результатов измерений и наблюдений с использованием динамических таблиц.
Построение и исследование геоинформационной модели в электронных таблицах или специализированной геоинформационной системе.
Коммуникационные технологии — 4 часа
Компьютерные сети: виды, структура, принципы функционирования, технические устройства. Скорость передачи данных.
Информационные услуги компьютерных сетей: электронная почта, телеконференции, файловые архивы и пр. Интернет, WWW, поисковые системы Интернет. Архивирование и разархивирование файлов.
Практические работы:
Регистрация почтового ящика электронной почты, создание и отправка сообщения.
Путешествие по Всемирной паутине.
Участие в коллективном взаимодействии: форум, телеконференция, чат.
Создание архива файлов и раскрытие архива с использованием программы-архиватора.
Загрузка файла из файлового архива.
Поиск документа с использованием системы каталогов и путем ввода ключевых слов.
Сохранение для индивидуального использования информационных объектов из глобальных компьютерных сетей (Интернет) и ссылок на них.
Информационные технологии и общество — 2 часа
Предыстория информационных технологий. История чисел и системы счисления. История ЭВМ и ИКТ. Понятие информационных ресурсов. Информационные ресурсы современного общества. Понятие о информационном обществе. Проблемы безопасности информации, этические и правовые нормы в информационной сфере.
Практические работы:
Оценка скорости передачи и обработки информационных объектов, стоимости информационных продуктов и услуг связи.
Защита информации от компьютерных вирусов.
Установка лицензионной, условно бесплатной и свободно распространяемой программы.
Резерв учебного времени — 2 часа
Всего — 68 часов
Примерное тематическое планирование
8 класс
| № уро-ка | № п/п | Наименование разделов и тем | Содержание | Количество часов |
| По плану | Дано |
| 8а | 8б | 8в |
| Раздел 1. Информация и информационные процессы |
| 1 | 1.1. | Инструктаж по ТБ. Введение в предмет. Человек и информация. | Введение в предмет информатики. Роль информации в жизни людей. Информация. Информационные объекты различных видов. Основные информационные процессы: хранение, передача и обработка информации. Восприятие, запоминание и преобразование сигналов живыми организмами. Роль информации в жизни людей. | 1 | | | |
| 2 | 1.2 | Измерение информации. | Понятие количества информации: различные подходы. Единицы измерения количества информации. | 1 | | | |
| 3 | 1.3 | Системы счисления. Представление чисел в системах счисления | | 1 | | | |
| 4 | 1.4 | Системы счисления. Правила перевода. | | 1 | | | |
| 5 | 1.5 | Системы счисления. Правила перевода. | | 1 | | | |
| 6 | 1.6 | Системы счисления, используемые в ЭВМ. | | 1 | | | |
| 7 | 1.7 | Системы счисления. Решение задач. | | 1 | | | |
| 8 | 1.8 | Контрольный тест № 1 по теме «Системы счисления». | | 1 | | | |
| Итого по разделу: | 8 | | | |
| Раздел 2. Компьютер как универсальное устройство обработки информации |
| 9 | 2.1 | Общие сведения о персональном компьютере | Гигиенические, эргономические и технические условия безопасной эксплуатации компьютера. | 1 | | | |
| 10 | 2.2 | Основные компоненты компьютера и их функции | Основные компоненты компьютера и их функции (процессор, устройства ввода и вывода информации, оперативная и долговременная память). | 1 | | | |
| 11 | 2.3 | Основные компоненты компьютера и их функции | | 1 | | | |
| 12 | 2.4 | Основные компоненты компьютера и их функции | | 1 | | | |
| 13 | 2.5 | Программное обеспечение компьютера. | Программный принцип работы компьютера. Программное обеспечение, его структура. Операционные системы, их функции. | 1 | | | |
| 14 | 2.6 | Программное обеспечение компьютера. | Загрузка компьютера. Данные и программы. | 1 | | | |
| 15 | 2.7 | Файл и файловая структура. | | 1 | | | |
| 16 | 2.8 | Файл и файловая структура. Решение задач. | | 1 | | | |
| 17 | 2.9 | Пользовательский интерфейс. | Командное взаимодействие пользователя с компьютером, графический пользовательский интерфейс (рабочий стол, окна, диалоговые панели, меню). | 1 | | | |
| Итого по разделу: | 9 | | | |
| Раздел 3. Обработка текстовой информации |
| 18 | 3.1 | Текстовый редактор | Компьютерное представление текстовой информации. | 1 | | | |
| 19 | 3.2 | Тексты в компьютерной памяти. | Сохранение документа в различных текстовых форматах. | 1 | | | |
| 20 | 3.3 | Текстовый процессор: операции с фрагментами текста. | Создание и простейшее редактирование документов (вставка, удаление и замена символов, работа с фрагментами текстов). | 1 | | | |
| 21 | 3.4 | Текстовый процессор: операции с фрагментами текста. | Проверка правописания. | 1 | | | |
| 22 | 3.5 | Текстовый процессор: форматирование текста. | Нумерация и ориентация страниц. Размеры страницы, величина полей. Колонтитулы. Создание документов с использованием мастеров и шаблонов (визитная карточка, доклад, реферат). Параметры шрифта, параметры абзаца. | 1 | | | |
| 23 | 3.6 | Текстовый процессор: оформление текста в виде таблиц. | Включение в текстовый документ списков, таблиц, диаграмм, формул и графических объектов. | 1 | | | |
| 24 | 3.7 | Использование в тексте графических объектов. | | 1 | | | |
| 25 | 3.8 | Использование в тексте графических объектов. | | 1 | | | |
| | | Итого по разделу: | 8 | | | |
| Раздел 4. Обработка графической информации |
| 26 | 4.1 | Компьютерная графика. Технические средства компьютерной графики | Кодирование графической информации (пиксель, растр, кодировка цвета, видеопамять). Интерфейс графических редакторов. Рисунки и фотографии. Форматы графических файлов. | 1 | | | |
| 27 | 4.2 | Растровая и векторная графика | | 1 | | | |
| 28 | 4.3 | Обобщающий урок | | 1 | | | |
| Итого по разделу: | 3 | | | |
| Раздел 5. Мультимедийные технологии |
| 29 | 5.1 | Что такое мультимедиа. Аналоговый и цифровой звук. | Звуки и видеоизображения. Композиция и монтаж. Технические приемы записи звуковой и видео информации. | 1 | | | |
| 30 | 5.2 | Технические средства мультимедиа. Компьютерные презентации | Компьютерные презентации. Дизайн презентации и макеты слайдов. Использование простых анимационных графических объектов. | 1 | | | |
| 31 | 5.3 | Создание проектов | | 1 | | | |
| | | Итого по разделу: | 3 | | | |
| 32 33 34 35 | | Резерв учебного времени | 4 | | | |
| Итого по предмету: | 35 | | | |
Примерное тематическое планирование
9 класс
| № уро-ка | № п/п | Наименование разделов и тем | Содержание | Количество часов |
| По плану | Дано |
| 9а | 9б | 9в |
| Раздел 1. Обработка числовой информации |
| 1 | 1.1. | Инструктаж по ТБ. Информатика и информация. Система счисления. | Система счисления. | 1 | | | |
| 2 | 1.2 | Двоичная система счисления | Двоичная система счисления. Представление числовой информации в различных системах счисления. | 1 | | | |
| 3 | 1.3 | Представление целых чисел в памяти компьютера | Компьютерное представление числовой информации. | 1 | | | |
| 4 | 1.4 | Представление вещественных чисел в памяти компьютера | | 1 | | | |
| 5 | 1.5 | Структура ЭТ. Типы данных. Режимы отображения данных | Табличные расчеты и электронные таблицы. | 1 | | | |
| 6 | 1.6 | Структура ЭТ. Правила заполнения таблицы. | Структура электронной таблицы, типы данных: тексты, числа, формулы. | 1 | | | |
| 7 | 1.7 | Структура ЭТ. Знакомство со средой. | | 1 | | | |
| 8 | 1.8 | Создание ЭТ. | Методы работы с электронными таблицами. | 1 | | | |
| 9 | 1.9 | Создание ЭТ. | | 1 | | | |
| 10 | 6.10 | Относительная адресация. Встроенные функции | | 1 | | | |
| 11 | 6.11 | Относительная адресация. Встроенные функции | | 1 | | | |
| 12 | 1.12 | Абсолютная адресация. Логические функции | | 1 | | | |
| 13 | 6.13. | Абсолютная адресация. Логические функции | | 1 | | | |
| 14 | 6.14 | Представление данных в виде диаграмм в среде ЭТ | Построение графиков и диаграмм с помощью электронных таблиц. | 1 | | | |
| 15 | 6.15 | Зачетная работа | | 1 | | | |
| 16 | 6.16 | Математическое моделирование и решение задач с помощью ЭТ | | 1 | | | |
| | | Итого по разделу: | 16 | | | |
| | | | | | | |
| Раздел 2. Хранение информации |
| 17 | 2.1. | Основные понятия БД: запись, поле, типы полей, первичный ключ | Понятие базы данных (БД), информационной системы. Основные понятия БД: запись, поле, типы полей, первичный ключ. | 1 | | | |
| 18 | 7.2 | Что такое система управления базами данных | Системы управления БД и принципы работы с ними. | 1 | | | |
| 19 | 7.3 | Создание и заполнение БД | | 1 | | | |
| 20 | 7.4 | Создание и редактирование структуры таблицы БД | Просмотр и редактирование БД. | 1 | | | |
| 21 | 7.5 | Проектирование и создание однотабличной БД | | 1 | | | |
| 22 | 7.6 | Проектирование и создание однотабличной БД | | 1 | | | |
| 23 | 7.7 | Условия выбора, простые и сложные логические выражения | | 1 | | | |
| 24 | 7.8 | Условия выбора, простые и сложные логические выражения | | 1 | | | |
| 25 | 7.9 | Поиск, удаление и сортировка записей | | 1 | | | |
| 26 | 7.10 | Зачетная работа | | 1 | | | |
| | | Итого по разделу: | 10 | | | |
| | | | | | | |
| Раздел 3. Алгоритмы и исполнители |
| 27 | 8.1. | Кибернетика. Кибернетическая модель управления | | 1 | | | |
| 28 | 8.2. | Понятие алгоритма и его свойства. Язык записи алгоритмов. | Языки для записи алгоритмов (язык блок-схем, учебный алгоритмический язык). Структурная методика алгоритмизации. | 1 | | | |
| 29 | 8.3 | Графический учебный исполнитель | | 1 | | | |
| 30 | 8.4 | Линейные алгоритмы | | 1 | | | |
| 31 | 8.5 | Линейные алгоритмы. Решение задач | | 1 | | | |
| 32 | 8.6 | Вспомогательные алгоритмы и подпрограммы | | 1 | | | |
| 33 | 8.7 | Вспомогательные алгоритмы. Решение задач | | 1 | | | |
| 34 | 8.8 | Циклические алгоритмы | | 1 | | | |
| 35 | 8.9 | Циклические алгоритмы. Решение задач | | 1 | | | |
| 36 | 8.10 | Ветвление и последовательная детализация алгоритма | Метод пошаговой детализации. | 1 | | | |
| 37 | 8.11 | Ветвление и последовательная детализация алгоритма. Решение задач | 1 | | | |
| 38 | 8.12 | Обобщающий урок по решению задач | | 1 | | | |
| 39 | 8.13. | Зачетная работа | | 1 | | | |
| 40 | 8.14 | Что такое программирование. Алгоритмы работы с величинами. | Алгоритмы работы с величинами: константы, переменные, понятие типов данных, ввод и вывод данных. | 1 | | | |
| 41 | 8.15 | Линейные вычислительные алгоритмы. | 1 | | | |
| 42 | 8.16 | Знакомство с языком Паскаль. Структура программы. | Языки программирования высокого уровня (ЯПВУ), их классификация. Структура программы на языке «Паскаль». Представление данных в программе. | 1 | | | |
| 43 | 8.17 | Структура программы. Знакомство со средой. | Правила записи основных операторов: присваивания, ввода, вывода, ветвления, циклов. | 1 | | | |
| 44 | 8.18 | Структура программы. Линейные программы | 1 | | | |
| 45 | 8.19 | Структура программы. Линейные программы. Решение задач | 1 | | | |
| 46 | 8.20 | Структура программы. Линейные программы. Решение задач | 1 | | | |
| 47 | 8.21 | Программирование ветвления на Паскале | 1 | | | |
| 48 | 8.22 | Программирование ветвления на Паскале. Решение задач | 1 | | | |
| 49 | 8.23 | Программирование диалога с компьютером | 1 | | | |
| 50 | 8.24 | Контрольная работа № 1 по теме «Оператор ветвления» | 1 | | | |
| 51 | 8.25 | Программирование циклов | 1 | | | |
| 52 | 8.26 | Программирование циклов | 1 | | | |
| 53 | 8.27 | Программирование циклов | 1 | | | |
| 54 | 8.28 | Программирование циклов. Решение задач | 1 | | | |
| 55 | 8.29 | Контрольная работа № 2 по теме «Оператор цикла» | | 1 | | | |
| 56 | 8.30 | Структурированный тип данных – массив | Структурированный тип данных - массив. Способы описания и обработки массивов. | 1 | | | |
| 57 | 8.31 | Структурированный тип данных – массив. Решение задач | 1 | | | |
| 58 | 8.32 | Решение задач с использованием программирования | Этапы решения задачи с использованием программирования: постановка, формализация, алгоритмизация, кодирование, откладка, тестирование | 1 | | | |
| | | Итого по разделу: | 31 | | | |
| | | | | | | |
| Раздел 4. Формализация и моделирование |
| 59 | 9.1. | Понятие модели. Назначение и свойства моделей | Понятие модели; модели натуральные и информационные. Назначение и свойства моделей. | 1 | | | |
| 60 | 9.2. | Вида информационных моделей. Области применения компьютерного информационного моделирования | Виды информационных моделей: вербальные, графические, математические, имитационные. Табличная организация информации. Области применения компьютерного информационного моделирования. | 1 | | | |
| | | Итого по разделу: | 2 | | | |
| | | | | | |
| Раздел 5. Коммуникационные технологии |
| 61 | 10.1. | Передача информации в компьютерных сетях | Компьютерные сети: виды, структура, принципы функционирования, технические устройства. Скорость передачи данных. Информационные услуги компьютерных сетей: электронная почта, телеконференции, файловые архивы и пр. | 1 | | | |
| 62 | 10.2. | Электронная почта. | | 1 | | | |
| 63 | 10.3. | Интернет. WWW— «Всемирная паутина». | Интернет, WWW, поисковые системы Интернет. Архивирование и разархивирование файлов. | 1 | | | |
| 64 | 10.4 | Поиск информации | | 1 | | | |
| | | Итого по разделу: | 4 | | | |
| | | | | | | |
| |
| 65 | 11.1. | История ЭВМ и ИКТ. Понятие об информационном обществе. | Предыстория информационных технологий. История чисел и системы счисления. История ЭВМ и ИКТ. Понятие информационных ресурсов. Информационные ресурсы современного общества. | 1 | | | |
| 66 | 11.2. | Проблемы безопасности информации, этические и правовые нормы в информационной сфере | Понятие о информационном обществе. Проблемы безопасности информации, этические и правовые нормы в информационной сфере. | 1 | | | |
| | | Итого по разделу: | 2 | | | |
| | | | | | | |
| 67 68 | | Резерв учебного времени | 2 | | | |
| | | Итого по предмету: | 68 | | | |
Перечень компонентов учебно-методического комплекта
8 класс
Информатика и ИКТ: учебник для 8 класса / Семакин И.Г., Залогова Л.А., Русаков С.В., Шестакова Л.В. — 4-е изд. исправ. — М.: БИНОМ. Лаборатория знаний, 2009 -2012.
Информатика. Задачник-практикум в 2-х т. / Л.А. Залогова, М.А. Плаксин, С.В. Русакова и др. Под ред. И.Г. Семакина, Е.К. Хеннерн: Том 1 — 4-е исправ. и доп. — М.: БИНОМ. Лаборатория знаний, 2009-2012.
Информатика. Задачник-практикум в 2-х т. / Л.А. Залогова, М.А. Плаксин, С.В. Русакова и др. Под ред. И.Г. Семакина, Е.К. Хеннерн: Том 2 — 4-е исправ. и доп. — М.: БИНОМ. Лаборатория знаний, 2009-2012.
Набор ЦОР к базовому курсу информатики в 8-9 классах (УМК к учебнику Семакина И.Г.)
9 класс
Информатика и ИКТ: учебник для 9 класса / Семакин И.Г., Залогова Л.А., Русаков С.В., Шестакова Л.В. — 4-е изд. исправ. — М.: БИНОМ. Лаборатория знаний, 2009-2012.
Информатика. Задачник-практикум в 2-х т. / Л.А. Залогова, М.А. Плаксин, С.В. Русакова и др. Под ред. И.Г. Семакина, Е.К. Хеннерн: Том 1 — 4-е исправ. и доп. — М.: БИНОМ. Лаборатория знаний, 2009-2012.
Информатика. Задачник-практикум в 2-х т. / Л.А. Залогова, М.А. Плаксин, С.В. Русакова и др. Под ред. И.Г. Семакина, Е.К. Хеннерн: Том 2 — 4-е исправ. и доп. — М.: БИНОМ. Лаборатория знаний, 2009-2012.
Набор ЦОР к базовому курсу информатики в 8-9 классах (УМК к учебнику Семакина И.Г.)
Единые требования к уровню подготовки учащихся.
В результате изучения информатики и информационных технологий ученик должен:
8 класс
знать/понимать
сущность понятия «информация», ее основные виды;
виды информационных процессов; примеры источников и приемников информации:
особенности запоминания, обработки и передачи информации человеком и компьютером;
единицы измерения количества и скорости передачи информации:
программный принцип работы компьютера;
основные виды программного обеспечения компьютера и их назначение;
назначение и функции используемых информационных и коммуникационных технологий;
уметь
• определять количество информации, используя алфавитный подход к измерению информации;
•оперировать информационными объектами, используя графический интерфейс: открывать, именовать, сохранять объекты, архивировать и разархивировать информацию, пользоваться меню и окнами, справочной системой; предпринимать меры антивирусной безопасности:
• оценивать числовые параметры информационных объектов и процессов: объем памяти, необходимый для хранения информации; скорость передачи информации;
• создавать информационные объекты, в том числе:
структурировать текст, используя нумерацию страниц, списки; проводить проверку правописания: использовать в тексте таблицы, изображения:
создавать рисунки, графические представления реального объекта, в частности, в процессе проектирования с использованием основных операций графических редакторов; осуществлять простейшую обработку цифровых изображений;
создавать презентации на основе шаблонов;
пользоваться персональным компьютером и его периферийным оборудованием (принтером, сканером, модемом, мультимедийным проектором, цифровой камерой);
следовать требованиям техники безопасности, гигиены, эргономики и ресурсосбережения при работе со средствами информационных и коммуникационных технологий:
использовать приобретенные знания и умения в практической деятельности к повседневной жизни для:
создания информационных объектов, в том числе для оформления результатов учебной работы;
организации индивидуального информационного пространства, создания личных коллекций информационных объектов:
9 класс
знать/понимать
сущность понятия «информация», её основные виды:
виды информационных процессов; примеры источников и приемников информации;
особенности запоминания, обработки и передачи информации человеком;
единицы измерения количества и скорости передачи информации;
программный принцип работы компьютера:
основные виды программного обеспечения компьютера и их назначение;
назначение и функции используемых информационных и коммуникационных технологий;
назначение и принципы работы компьютерных сетей;
основные свойства алгоритма, типы алгоритмических конструкций: следование, ветвление, цикл; понятие вспомогательного алгоритма;
программный принцип работы компьютера;
назначение и функции используемых информационных и коммуникационных технологий:
назначение и виды моделей, описывающих объекты и процессы;
области применения моделирования объектов и процессов;
уметь
использовать возможности локальной и глобальной сети для обмена информацией и доступа к периферийным устройствам и информационным банкам;
представлять числа в различных системах счисления;
выполнять и строить простые алгоритмы;
использовать готовые информационные модели, оценивать их соответствие реальному объекту и целям моделирования;
оперировать информационными объектами, используя графический интерфейс: открывать именовать, сохранять объекты, архивировать и разархивировать информацию, пользоваться меню и окнами, справочной системой; предпринимать меры антивирусной безопасности;
оценивать числовые параметры информационных объектов и процессов: объем памяти, необходимый для хранения информации, скорость передачи информации;
создавать информационные объекты, в том числе:
структурировать текст, используя нумерацию страниц, списки; проводить проверку правописания; использовать в тексте таблицы, изображения;
создавать и использовать различные формы представления информации: формулы графики, диаграммы, таблицы (в том числе динамические, электронные, в частности – в практических задачах), переходить от одного представления данных к другому;
создавать рисунки, чертежи, графические представления реального объекта, в частности в процессе проектирования с использованием основных операций графических редакторов; осуществлять простейшую обработку цифровых изображений;
создавать записи в базе данных;
создавать презентации на основе шаблонов;
искать информацию с применением правил поиска (построения запросов) в базах данных, компьютерных сетях, некомпьютерных источниках информации (справочниках и словарях, каталогах, библиотеках) при выполнении заданий и проектов по различным учебным дисциплинам;
пользоваться персональным компьютером и его периферийным оборудованием (принтером, сканером, модемом, мультимедийным проектором, цифровой камерой);
следовать требованиям техники безопасности, гигиены, эргономики и ресурсосбережения при работе со средствами информационных и коммуникационных технологий;
использовать приобретенные знания и умения в практической деятельности и повседневной жизни для:
создания простейших моделей объектов и процессов в виде изображений и чертежей, динамических (электронных) таблиц, программ (в том числе - в форме блок-схем);
проведения компьютерных экспериментов с использованием готовых моделей объектов процессов;
создания информационных объектов, в том числе для оформления результатов учебной работы;
организации индивидуального информационного пространства, создания личных коллекций информационных объектов.
О контрольно измерительных материалах
Контроль предполагает выявление уровня освоения учебного материала при изучении, как отдельных разделов, так и всего курса информатики и информационных технологий в целом.
Текущий контроль усвоения материала осуществляется путем устного/письменного опроса. Периодически знания и умения по пройденным темам проверяются письменными контрольными или тестовых заданиями.
При тестировании все верные ответы берутся за 100%, тогда отметка выставляется в соответствии с таблицей:
| Процент выполнения задания | Отметка |
| 95% и более | отлично |
| 80-94%% | хорошо |
| 66-79%% | удовлетворительно |
| менее 66% | неудовлетворительно |
При выполнении практической работы и контрольной работы:
Содержание и объем материала, подлежащего проверке в контрольной работе, определяется программой. При проверке усвоения материала выявляется полнота, прочность усвоения учащимися теории и умение применять ее на практике в знакомых и незнакомых ситуациях.
Отметка зависит также от наличия и характера погрешностей, допущенных учащимися.
грубая ошибка – полностью искажено смысловое значение понятия, определения;
погрешность отражает неточные формулировки, свидетельствующие о нечетком представлении рассматриваемого объекта;
недочет – неправильное представление об объекте, не влияющего кардинально на знания определенные программой обучения;
мелкие погрешности – неточности в устной и письменной речи, не искажающие смысла ответа или решения, случайные описки и т.п.
Эталоном, относительно которого оцениваются знания учащихся, является обязательный минимум содержания информатики и информационных технологий. Требовать от учащихся определения, которые не входят в школьный курс информатики – это, значит, навлекать на себя проблемы связанные нарушением прав учащегося («Закон об образовании»).
Исходя из норм (пятибалльной системы), заложенных во всех предметных областях выставляете отметка:
«5» ставится при выполнении всех заданий полностью или при наличии 1-2 мелких погрешностей;
«4» ставится при наличии 1-2 недочетов или одной ошибки:
«3» ставится при выполнении 2/3 от объема предложенных заданий;
«2» ставится, если допущены существенные ошибки, показавшие, что учащийся не владеет обязательными умениями поданной теме в полной мере (незнание основного программного материала):
«1» – отказ от выполнения учебных обязанностей.
Устный опрос осуществляется на каждом уроке (эвристическая беседа, опрос). Задачей устного опроса является не столько оценивание знаний учащихся, сколько определение проблемных мест в усвоении учебного материала и фиксирование внимания учеников на сложных понятиях, явлениях, процессе.
Оценка устных ответов учащихся
Ответ оценивается отметкой «5», если ученик:
полно раскрыл содержание материала в объеме, предусмотренном программой;
изложил материал грамотным языком в определенной логической последовательности, точно используя терминологию информатики как учебной дисциплины;
правильно выполнил рисунки, схемы, сопутствующие ответу;
показал умение иллюстрировать теоретические положения конкретными примерами;
продемонстрировал усвоение ранее изученных сопутствующих вопросов, сформированность и устойчивость используемых при ответе умений и навыков;
отвечал самостоятельно без наводящих вопросов учителя.
Возможны одна – две неточности при освещении второстепенных вопросов или в выкладках, которые ученик легко исправил по замечанию учителя.
Ответ оценивается отметкой «4,. если ответ удовлетворяет в основном требованиям на отметку «5», но при этом имеет один из недостатков:
допущены один-два недочета при освещении основного содержания ответа, исправленные по замечанию учителя:
допущены ошибка или более двух недочетов при освещении второстепенных вопросов или в выкладках, легко исправленные по замечанию учителя.
Отметка «3» ставится в следующих случаях:
неполно или непоследовательно раскрыто содержание материала, но показано общее понимание вопроса и продемонстрированы умения, достаточные для дальнейшего усвоения программного материала определенные настоящей программой;
Отметка «2» ставится в следующих случаях:
не раскрыто основное содержание учебного материала;
обнаружено незнание или неполное понимание учеником большей или наиболее важной части учебного материала;
допущены ошибки в определении понятий, при использовании специальной терминологии, в рисунках, схемах, в выкладках, которые не исправлены после нескольких наводящих вопросов учителя.
Отметка «1» ставится в следующих случаях:
ученик обнаружил полное незнание и непонимание изучаемого учебного материала;
не смог ответить ни на один из поставленных вопросов по изучаемому материалу;
отказался отвечать на вопросы учителя.
Контрольно-измерительные материалы
8 класс
Контрольный тест № 1 по теме «Системы счисления».
Указания учащимся Вы получили задания и ответы к ним. Среди ответов имеется только один верный. Укажите его.
Желаю успеха!
1. Определите, какой последней цифрой заканчивается шестеричная система счисления.
а) 6;
b) 7;
с) 5;
d) А.
2. Какие числа записаны с помощью римских цифр: ММD, XI, СМХСVI, если I - 1, V - 5, X - 10, L - 50, С - 100, D - 500, М -1000?
3500, 11, 1096;
3500, 11, 996;
2500, 11, 996;
2500, 9, 996;
3. Какое минимальное основание должна иметь система счисления, если в ней могут быть записаны числа: 10, 21, 201,1201?
а) троичной;
b) десятичная;
с) семеричная;
d) шестнадцатеричная.
4. В каких системах счисления 10 - число нечетное?
а) троичной, пятеричная;
b) десятичной, семеричной;
с) пятеричной, шестнадцатеричной;
d) десятичной, двоичной.
5. Как записывается 510 в двоичной системе счисления?
101;
110;
111;
100.
6. У меня 100 братьев. Младшему 1000 лет, а старшему 1111 лет. Старший учится в 1001 классе. В какой системе счисления это может быть?
а) десятичная;
b) двоичная;
с) троичная;
d) семеричная.
7. Какие целые десятичные числа принадлежат следующему числовому промежутку [1011012; 1100002]?
а) 45,46,47,48;
б) 45,47,48;
с) 35,36,37,38,39;
d) 47,48,49,50.
8. В какой системе счисления десятичное число 51 записывается как 43.
а) пятеричной;
b) восьмеричной;
с) двенадцатеричной;
d) шестнадцатеричной.
9. Чему равно число 2213 в десятичной системе счислений?
а) 20;
b) 25;
с) 29;
d) 30.
10. Перевести число 0,101 из десятичной в шестнадцатеричную систему счисления (до 4 знаков после запятой).
а) 0,19DB;
b) 0,019D;
с) 0,9D22;
d) 0,1D9С.
Перевести число А4516 в восьмеричную систему счисления.
а) 5105;
b) 5115;
с) 4104;
d) А101.
12. Перевести число 10101,018 в двоичную систему счисления.
а) 100010001,0001;
1000001000001,000001;
00100010001,00001;
10101,01.
13. Перевести число 1011101,101112 в шестнадцатеричную систему счисления.
а) 5С,В8;
25,3С;
5D,D1;
5D,В8.
14. Перевести число 304 в двоичную систему счисления.
11000;
110;
1100;
1010.
15. Перевести число FDA,12F в двоичную систему счисления.
111110101101,000100101111;
111111011010,000100101111;
111111011010,111100010010;
101011111101,111100100001.
Итоговый тест по теме «Обработка числовой информации»
Указания учащимся
Вы получили задания и ответы к ним. Среди ответов имеется только один верный.
Желаем успеха!
Сколько клеток входит в диапазон А5 : D8?
2;
5;
8;
16;
13.
Клетка электронной таблицы называется текущей, если
клетка видна на экране;
в ней находится информация;
клетка является пустой;
клетка содержит формулу;
в ней находится курсор.
Диапазон клеток электронной таблицы – это …
множество клеток, образующих область произвольной формы,
множество заполненных клеток электронной таблицы,
множество пустых клеток электронной таблицы,
множество клеток, образующих область прямоугольной формы.
множество клеток, образующих область квадратной формы.
Адрес клетки электронной таблицы – это
имя, состоящее из любой последовательности символов,
имя, состоящее из имени столбца и номера строки,
адрес байта оперативной памяти, отведённого под клетку,
адрес машинного слова оперативной памяти, отведённого под клетку,
имя, состоящее из номера столбца и номера строки.
В клетку электронной таблицы можно занести
только формулы;
числа и текст;
числа, формулы и текст;
диаграмму.
А
рифметическое выражение
может быть записано в электронной таблице в следующим виде:
(4^5+3/6*7)/2/14*23/8;
4^(5+3)/6*7/2/14*23/8;
4^(5+3)/6*7/2*8/14*23;
4^(5+3)/6*7/2*8/14/23;
4^((5+3)/6)*7/2*8/14/23.
Числовая константа 300 000 может быть записана в виде:
3,0Е + 6;
3,0Е + 5;
0,3Е + 7;
30,E + 5;
0,3E + 5.
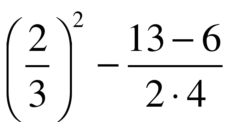
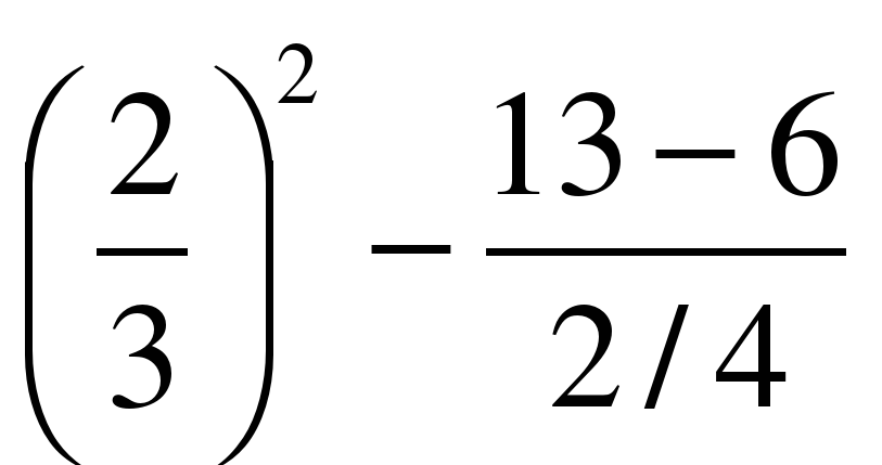
В ЭТ записано арифметическое выражение 2/3^2 – (13 – 6)/2/4. Выбрать математическую запись, соответствующую этому выражению.
Числовая константа 12,3Е + 4 может быть записана в виде:
1230;
123;
123000;
12.3000;
0.00123.
Дан фрагмент ЭТ:
| | A | B | C | D |
| 1 | 1 | 8 | 5 | 9 |
| 2 | 9 | 5 | 3 | 4 |
| 3 | 0 | 0 | 9 | 5 |
| 4 | 3 | 24 | 3 | 6 |
Определить, какое из утверждений истинно для этого фрагмента таблицы:
в ячейку D4 введена формула (A1 + B2 + C3)/3;
в ячейку D1 введена формула СУММ(А2 : В3);
в ячейку D2 введена формула СУММ(В3 : С4)/СУММ(А3 : С3);
в ячейку D3 введена формула C3*C4-(C1-C2)/5;
в ячейку А4 введена формула СУММ(А1:C2)-1.
Дан фрагмент ЭТ в режиме отображения формул:
| | А | В |
| 1 | 10 | =А1+А2 |
| 2 | 20 | |
| 3 | 30 | |
| 4 | 40 | |
Чему будут равны значения клеток В2 и В3 (после выхода из режима отображения формул), если в них было скопировано содержимое клетки В1?
30 и 30
50 и 70
30 и 50
50 и 30
Будет выдано сообщение об ошибке.
12-16. В следующих заданиях вопрос состоит из двух выражений X и Y. В колонке Р приводится дополнительная информация. Выбирать ответ следует, исходя из результата сравнения получившихся значений:
А – значение Х больше значений Y;
В – значение Х меньше значений Y;
С – значения Х и Y равны;
D – сравнение недопустимо.
Дан фрагмент электронной таблицы (для заданий 12-16):
| | A | B | C | D | E |
| 1 | 1 | | 2 | | |
| 2 | 3 | 9 | 3 | 24 | |
| 3 | 0,5 | | | | |
| 4 | | | | | |
| 5 | 4 | | | | |
Ответы для вопросов 12-16:
| | X | Y | P |
| 12 | D3 | B3 | В клетку D3 занесено выражение = (А2+А1)/С1,а в клетку В3 – выражение =А2+А1/С1 |
| 13 | C3 | D3 | В клетку С3 занесено выражение = С1*D2/А1,а в клетку D3 – выражение =C1/А1*D2 |
| 14 | C3 | D3 | В клетку С3 занесено выражение = СУММ(А1:D2),а в клетку D3 – выражение =CУММ(А2:D2) |
| 15 | E1 | 3 | В клетку Е1 занесено выражение =СУММ(А1:А3)/5*0,3 |
| 16 | E2 | E3 | В клетку Е2 занесено выражение = А2*В2/С2,а в клетку Е3 – выражение =А2/С2*В2 |
Дан фрагмент ЭТ в режиме отображения формул:
| | А | В |
| 1 | 1 | 5 |
| 2 | =А1+1 | =2*В1 |
| 3 | | |
Какие формулы будут отображены в клетках А3 и В3, если в клетку А3 скопирована клетка В2, а в клетку В3 – клетка А2?
А3=А2+1 В3=2*В2;
А3=2*А2 В3=В2+1;
А3=2*А1 В3=В1+1;
А3=2*B1 В3=A1+1;
А3=2*B2 В3=A2+1.
Для какой из приведённых ниже таблиц может быть построена следующая круговая диаграмма?

25%
40%
20%
15%
| A. | B. | C. | D. |
| | A | | 1 | 100 | | 2 | =A1*0,2 | | 3 | =A1*0,15 | | 4 | =A1*0,4 | | | | A | | 1 | 100 | | 2 | =A1*0,8 | | 3 | =A1*0,6 | | 4 | =A1*1,6 | | | | A | | 1 | 25 | | 2 | =A1*0,2 | | 3 | =A1*0,15 | | 4 | =A1*0,4 | | | | A | | 1 | 100 | | 2 | =A1*0,8 | | 3 | =A2*0,6 | | 4 | =A3*1,6 | |
Какой из указанных диапазонов клеток не существует?
BZ10000:IA9999;
GC8000:GC8001;
JA1000:JC2000;
A12000:B15000.
Укажите верно записанную формулу для ЭТ:
=2А*8;
=В+Y8/5;
=H7+СУММ(В8:С9);
=D3:3;
=8B3+9.
Итоговый тест по теме «Хранение информации»
Указания учащимся Вы получили задания и ответы к ним. Среди ответов имеется только один верный. Каждому номеру поставьте в соответствие букву. Желаю успеха!
- База данных — это …
набор данных, собранных на одной дискете;
данные, предназначенные для работы программы;
совокупность взаимосвязанных данных, организованных по определенным правилам, предусматривающих общие принципы описания, хранения и обработки данных;
данные, пересылаемые по коммуникационным сетям.
В реляционной БД информация организована в виде
cети;
иерархической структуры;
файла;
дерева;
прямоугольной таблицы.
- Запись — это …
- строка таблицы;
- столбец таблицы;
- совокупность однотипных данных;
- некоторый показатель, который характеризуется числовым, текстовым или иным значением.
БД содержит информацию об учениках школы: фамилия, класс, балл за тест, балл за практическое задание, общее количество баллов. Какого типа должно быть поле ОБЩЕЕ КОЛИЧЕСТВО БАЛЛОВ?
символьное;
логическое;
числовое;
любого типа.
БД содержит информацию о собаках из клуба собаководства: кличка, порода, дата рождения, пол, количество медалей. Какого типа должны быть поля?
текстовое, текстовое, числовое, текстовое, числовое;
текстовое, текстовое, дата, текстовое, числовое;
текстовое, текстовое, дата, логическое, числовое;
текстовое, текстовое, числовое, логическое, числовое;
текстовое, текстовое, дата, логическое, текстовое.
Какой знак отношений необходимо поставить между словами КВАРТЕТ и КОМПЛИМЕНТ, чтобы получилось истинное отношение?
;
=;
=.
Какое из приведенных отношений типа «дата» истинно (в формате: ЧЧ.ММ.ГГГГ )?
03.12.2000
23.09.200424.09.2004;
12.03.2005=12.06.2005;
08.01.200808.01.2007.
Какое из приведенных отношений типа «время» ложно (в формате: ЧЧ.ММ.СС)?
03:12:20:04:20;
23:09:04:09:04;
12:03:25=12:03:25;
08:01:08:01:07.
В результате логического умножения (конъюнкции) получается истина, если…
оба операнда ложны;
хотя бы одно значение операнда истинно;
оба операнда истинны;
хотя бы одно значение операнда ложно.
Пусть a, b – логические величины, которые имеют следующие значения: a = истина, b = ложь. Определите результат вычисления логического выражения
a или b
истинно;
ложно.
Выберите запрос к БД, после применения, которого на экране будет выведены инвентарные номера всех книг, стоящих на пятой и седьмой полках.
справка ( или . выбрать) НОМЕР для (или где) ПОЛКА=5 и ПОЛКА=7;
для (или где) НОМЕР справка ( или . выбрать) ПОЛКА=5 или ПОЛКА=7;
для (или где) НОМЕР справка ( или . выбрать) ПОЛКА=5 и ПОЛКА=7;
справка ( или . выбрать) НОМЕР для (или где) ПОЛКА=5 или ПОЛКА=7.
Выберите запрос к БД, после применения которого на экране будет выведены инвентарные номера всех книг, стоящих ниже пятой и изданных после 1990 года.
справка ( или . выбрать) НОМЕР для (или где) ПОЛКАи ГОД1990;
справка ( или . выбрать) НОМЕР для (или где) ПОЛКАили ГОД1990;
справка ( или . выбрать) НОМЕР для (или где) и 1990;
справка ( или . выбрать) ПОЛКАи ГОД1990 для (или где) НОМЕР .
13-14 Реляционная база данных задана таблицей
| | Фамилия | пол | возраст | клуб | спорт |
| 1 | Панько | жен | 22 | Спарта | футбол |
| 2 | Арбузов | муж | 20 | Динамо | лыжи |
| 3 | Тимофеева | жен | 19 | Ротор | футбол |
| 4 | Иванов | муж | 21 | Звезда | лыжи |
| 5 | Седова | жен | 18 | Спарта | биатлон |
| 6 | Багаева | жен | 23 | Звезда | лыжи |
Какие записи будут выбраны по условию:
(клуб = «Спарта» И клуб = «Ротор») И НЕ (пол = «жен»)
3,5;
1,3,5;
2,3,4,5;
таких записей нет.
Какие записи будут выбраны по условию:
спорт = «лыжи» И пол = «жен» ИЛИ возраст
2, 3, 4, 5, 6;
3, 5, 6;
1, 3, 5, 6;
таких записей нет.
15-16 Реляционная БД задана таблицей:
| | Название | Категория | Кинотеатр | Начало сеанса |
| 1 | Буратино | х/ф | Рубин | 14 |
| 2 | Кортик | х/ф | Искра | 12 |
| 3 | Винни-Пух | м/ф | Экран | 9 |
| 4 | Дюймовочка | м/ф | Россия | 10 |
| 5 | Буратино | х/ф | Искра | 14 |
| 6 | Ну, погоди | м/ф | Экран | 14 |
| 7 | Два капитана | х/ф | Россия | 16 |
Записи пронумерованы от 1 до 7 соответственно их порядку в таблице.
Выбрать главный ключ для таблицы (допуская, что в кинотеатре один зал)
название + кинотеатр;
кинотеатр;
кинотеатр + начало сеанса;
начало сеанса.
В каком порядке будут идти записи, если их отсортировать по двум ключам: название + кинотеатр в порядке возрастания?
1, 5, 3, 4, 7, 2, 6;
5, 1, 3, 7, 4, 2, 6;
6, 2, 4, 7, 3, 1, 5;
6, 2, 7,4, 3, 1, 5.
| 17. В какой последовательности расположатся записи в базе данных после сортировки по убыванию в поле Винчестер? |  |
3, 2, 1,4;
2, 3, 4,1;
2, 4, 3,2;
2, 3, 1,4.
18. По какому полю базы данных упорядочены записи
| Фамилия | Улица | Дом | Квартира | № телефона |
| Иванов | Советская | 42 | 15 | 258-36-19 |
| Петров | Пушкина | 15/2 | 366 | 366-56-98 |
| Сидоров | Гоголя | 35 | 25 | 255-41-88 |
| Кузьмин | Гафури | 69 | 38 | 564-89-71 |
Фамилия;
Улица;
№ телефона;
Дом;
Квартира.
Итоговый тест по теме «Алгоритмы и исполнители» Задание 1
Указания учащимся Вы получили задания и ответы к ним. Среди ответов имеется только один верный. Укажите его. Желаю успеха!
Структура алгоритма, все команды которого выполняются по очереди только один раз, называется
А) Циклической;
Б) Ветвящейся;
В) Вспомогательной;
Г) Линейной;
Д) Основной.
Алгоритмы, которые решают некоторую подзадачу главной задачи и, как правило, выполняются многократно, называются
А) Циклическими;
Б) Линейными;
В) Ветвящимися;
Г) Вспомогательными;
Д) Основными.
Вместо многоточия вставить подходящий ответ для следующего утверждения: от любого исполнителя не требуется
А) умение точно выполнять команды;
Б) соблюдать последовательность действий алгоритма;
В) понимать смысл алгоритма;
Г) формально выполнять команды алгоритма;
Д) выполнять вспомогательные алгоритмы.
Задание 2
Указания учащимся Вы получили задания и ответы к ним. Выполните алгоритмы в тетради, а затем запишите в ответ нужную букву.
Желаем успеха!
Система команд графического исполнителя кенгуренка ROO
ШГ — (ШАГ
ПР— (ПРЫЖОК)
ПТ— (ПОВОРОТ)
СД — (СДЕЛАЙ
КН ПРОЦ — конец описания тела вспомогательного алгоритма
КН ЦИКЛА — конец цикла
КН ВЕТВЛЕНИЯ — конец ветвления
При записи программы одна команда от другой отделяется пробелом. Перед работой ROO находится в ЛЕВОМ ВЕРХНЕМ УГЛУ, направление — ВНИЗ.
Зная систему команд исполнителя ROO, указать какую из представленных фигур ROO в принципе не сможет начертить?
А

) Б) В)
Г
) Д)

Что будет изображено на экране после выполнения программы?
СД Символ
ПРОЦЕДУРА Символ
СД Линия ПТ ПР ПР ПТ СД Линия ПТ ПР ПТ ШГ ПТ ШГ КН ПРОЦ ПРОЦЕДУРА Линия ШГ ШГ КН ПРОЦ
А

) Б) В)
Г
) Д)
Программа формирует изображение 4-х квадратов со стороной 1 шаг, на расстоянии 1 шаг по горизонтали друг от друга:
СД Два ПТ ПТ ПР ПР ПТ ПТ ПТ СД Два
Выбрать описание тела процедуры Два, в которой используется процедура Квадрат:
процедура Квадрат: ПРОЦЕДУРА Квадрат ШГ ПТ ШГ ПТ ШГ ПТ ШГ КН ПРОЦ
A) СД Квадрат ПТ ПТ ПР ПР ПТ ПР ПТ СД Квадрат
Б). СД Квадрат ПТ ПТ ПР ПР ПТ ПТ ПТ СД Квадрат
В) СД Квадрат ПТ ПТ ШГ ШГ ПТ ПР ПТ СД Квадрат
Г) СД Квадрат ПТ ПТ ПР ШГ ПТ ПР ПТ СД Квадрат
Д) СД Квадрат ПТ ПР ШГ ПР ПТ ПР ПТ СД Квадрат
Кенгуренок рисует горизонтальную линию, отстоящую от правой и левой границ на два шага. В программу вместо многоточия вставить подходящий фрагмент:
ПТ ПР ПР ПОКА ВПЕРЕДИ НЕ КРАЙ ПОВТОРЯТЬ ШГ ПР ПР ЕСЛИ ВПЕРЕДИ НЕ КРАЙ ТО ... КН ВЕТВЛЕНИЯ КН ЦИКЛА
А) ПТ ШГ ПР ПР ПТ ПТ
Б) ПТ ПТ ПР ПР ПТ
В) ПТ ПТ ПР ПР
Г) ПТ ПТ ПР ПР ПТ ПТ
Д) ПТ ПР ПР ПТ ПТ
Что будет изображено на экране после выполнения программы?
СД РИС СД РИС ПРОЦЕДУРА РИС ПТ ШГ ПТ ПТ ПТ ШГ ШГ КН ПРОЦ
А) прямоугольник с горизонтальной стороной, равной 2 шагам и вертикальной стороной — 1 шаг
Б) прямоугольник с горизонтальной стороной, равной 1 шагу и вертикальной стороной — 2 шага
В) квадрат со стороной, равной 2 шагам
Г) две ступени лестницы высотой, равной 2 шагами шириной — 1 шаг
Д) две ступени лестницы с высотой и шириной 2 шага
Что делает Кенгуренок при выполнении программы?
ПОКА ВПЕРЕДИ НЕ КРАЙ ПОВТОРЯТЬ
ШГ ЕСЛИ ВПЕРЕДИ КРАЙ ТО ПТ ПТ КН ВЕТВЛЕНИЯ КН ЦИКЛА
А) начертит рамку вдоль границ и остановится;
Б) будет чертить рамку вдоль границ, не останавливаясь;
В) расчертит все поле вертикальными линиями и остановится;
Г) начертит вертикальную линию вдоль левой границы не останавливаясь;
Д) начертит вертикальную линию вдоль левой границы и остановится.
Задание 3. Практическая часть
Указания учащимся
Вы получили задания. Составьте алгоритмы и проверьте их в компьютерной среде ROO.
Желаем успеха!
Используя вспомогательный алгоритм, нарисовать:

Составить программу, переводящую ГРИС в угол поля из любого исходного состояния.
Расчертить все поле в клетку со стороной, равной шаг.
Нарисовать орнамент:

Контрольная работа № 1 по теме «Оператор ветвления»
Указания учащимся Вы получили задания. Необходимо составить программы для решения задач и записать их в тетради, а затем проверить их на компьютере.
Желаю успеха!
Даны два числа. Найдите среднее арифметическое кубов этих чисел и среднее геометрическое модулей этих чисел.
Составить программу сортировки по возрастанию значений в трех переменных: А, В, С.
Написать программу, которая по номеру дня недели (натуральному числу от 1 до 7) выдает в качестве результата количество уроков в Вашем классе в этот день.
Контрольная работа № 2 по теме «Оператор цикла»
Какие циклы можно выделить в Паскале?
Какие значения будут присвоены переменным x и i после выполнения следующих фрагментов программ?
i: =n;
while i 5 do
begin
x: =x+1;
i: =i+1;
end;
при 1) n=7; x=0;
2) n=3; x=0.
Вы
полнить следующие задания: Нарисовать блок-схему для этого фрагмента программы.
Проверку оформить в виде таблицы.
Написать программу по заданной блок-схеме.

10