У

чебный элемент
Тема: «MS Excel. Формулы и функции» - 8 -
П
редмет: «Информатика и ИКТ»
Цели:
Изучив данный учебный элемент, Вы будете знать:
что такое формула в MS Excel;
относительную, абсолютную и смешанную адресацию;
использование функций и логических формул.
Оборудование, материалы и вспомогательные средства:
персональный компьютер;
презентация урока;
раздаточный материал.
Сопутствующие учебные элементы и пособия:
Н. Угринович «Работа с электронными таблицами».
Электронный учебник «Электронные таблицы MS Excel».
Понятие формулы Формула может содержать следующие элементы: операторы, ссылки на ячейки, значения, функции, имена и должна начинаться со знака равенства (=) Ссылка – адрес объекта (ячейки, диапазона ячеек), используемый при записи формулы. Относительная ссылка - это когда во всех ячейках, куда будет помещена формула после её копирования, изменятся и буква столбца, и номер строки. Абсолютная ссылка – это не изменяющаяся при копировании формулы ссылка($A$6), т.е. При копировании формулы во всех ячейках, куда она будет скопирована, появятся точно такие же формулы. Смешанная ссылка – это частично изменяющаяся при копировании ссылка; символ $ ставится перед той частью ссылки, которая должна оставаться неизменной. Мастер функций вызывается кнопкой fx или командой Вставка→ Функция Пример: Разработать таблицу, содержащую следующие сведения об абитуриентах: фамилия, оценки за экзамены по математике, русскому и иностранному языкам, сумму баллов за три экзамена и информацию о зачислении: если сумма баллов больше или равна проходному баллу и оценка за экзамен по математике - 4 или 5, то абитуриент зачислен в учебное заведение, в противном случае – нет Заносим данные в ячейки. Вводим формулу в ячейку Е3. Копирование формулы. В ячейке F3 создаётся формула ЕСЛИ(И(Е3=$C$1; B33); «ДА»; «НЕТ») и копирование в другие ячейки. | =ЕСЛИ(B7=12;B7 = А5 * В6 = 4 + $A$6 = $C3 +$F7      |
Практическая часть
№1 Дан фрагмент ЭТ в режиме отображения формул:
Что будет выведено в ячейки А2 и В2 в режиме отображения значений?
Как будут меняться числа в А2 и В2, если последовательно заносить в А1 число 2, в В1 число 4?
Какое значение нужно занести в В1, чтобы в В2 появилось сообщение об ошибке?
№2
Дан фрагмент ЭТ в режиме отображения значений:
Известно, что в первой строке находятся числа, во второй – формулы.
Какие формулы могут находиться в ячейках А2 и В2?
Известно, что если в ячейку В1 занести 1, то в ячейке В2 появиться сообщение об ошибке. Какая формула может храниться в ячейке В2?
№3
Дан фрагмент ЭТ в режиме отображения формул:
| | А | В |
| 1 | 144 | 12 |
| 2 | А1/ В1/ В1 | А1/ В1^2 |
Что будет выведено в ячейки А2 и В2 в режиме отображения значений?
Как изменится значение в ячейке А2 после занесения в нее формулы: А1/ (В1*В1)?
Какое значение нужно занести в В1, чтобы в ячейках А2 и В2 появилось сообщение об ошибке?
№4.
Дан фрагмент ЭТ в режиме отображения формул:
| | А | В | С |
| 1 | 12 | 12 | |
| 2 | А1+В1/ А1+В1 | А1+В1/ (А1+В1) | (А1+В1) ( А1+В1) |
Что будет выведено в ячейки А2, В2 и С2 в режиме отображения значений?
№5.
Дан фрагмент ЭТ в режиме отображения значений:
Известно, что в первой строке находятся числа, во второй- формулы. Если в ячейки А1 и В1 занести величины 10и 15 соответственно, то значения в А2 и В2 станут равны 25и 150. Какие формулы могут храниться в ячейках А2и В2?
№6
Дан фрагмент ЭТ в режиме отображения формул:
| | А | В | С |
| 1 | 12 | 12 | |
| 2 | А1*В1/(А1*В1) | А1*В1 /1*В1 | (А1*В1) /A1*B1 |
Что будет выведено в ячейках А2, В2и С2 в режиме отображения значений?
Как изменится значение в ячейке С2 после занесения в ее формулы: (А1*В1)/(А1*В1)?
№7.
В какие ячейки следующих таблиц заносятся числа, в какие формулы? Записать эти формулы. Рассмотреть все возможные варианты.
а)
| | А | В | С |
| 1 | Цена единицы товара | Количество товара | стоимость |
| 2 | | | |
б)
| | А | В | С |
| 1 | Длина пути | Скорость | Время пути |
| 2 | | | |
№8
В какой из таблиц предыдущей задачи («а» или «б») могут быть выведены следующие числа в режиме отображения значений?
| | А | В | С |
| 1 | ………….. | …………… | …………. |
| 2 | 150 | 30 | 5 |
№9
В какие ячейки таблицы заносятся числа, в какие – формулы? Записать эти формулы, добавив недостающие столбцы.
а)
| | А | В | С | D |
| 1 | А – сторона треугольника | В – сторона треугольника | С – сторона треугольника | D – площадь треугольника |
| 2 | | | | |
б)
| | А | В | С | D |
| 1 | А – сторона прямоугольника | В – сторона прямоугольника | Р. – периметр прямоугольника | S – площадь прямоугольника |
| 2 | | | | |
№10
В какой из таблиц предыдущей задачи («а» или «б») могут быть выведены следующие числа в режиме отображения значений?
| | А | В | С | D |
| 1 | ………. | …………. | ………… | ……….. |
| 2 | 3 | 4 | 14 | 12 |
№11
Найти высоту трапеции, если известны ее основания (5см и 3см) и площадь (4 см2). В какие ячейки таблицы заносятся числа, в какие – формулы? Заполнить таблицу исходными данными и формулами.
| | А | В | С | D |
| 1 | А – основание трапеции. | В – основание трапеции. | Н – высота трапеции. | S – площадь трапеции |
| 2 | | | | |
№12
Следующие математические выражения записать в виде формул для электронной таблицы. Предварительно решить вопрос о размещении переменных в ячейках таблицы.
1) 3,4х + у; 2) (х. + у) z; 3) 0,8 + 0,9у – ху;
4)(х + z)у + 0,1х; 5) (х – z)z + ух
№13
Следующие математические выражения записать в виде формул для электронной таблицы. Предварительно решить вопрос о размещении переменных в ячейках таблицы.
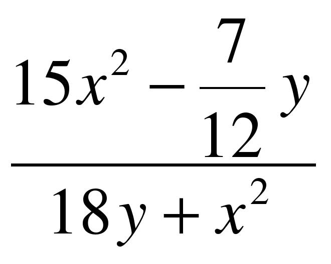
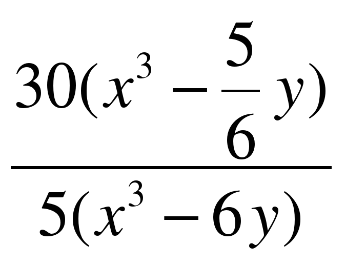
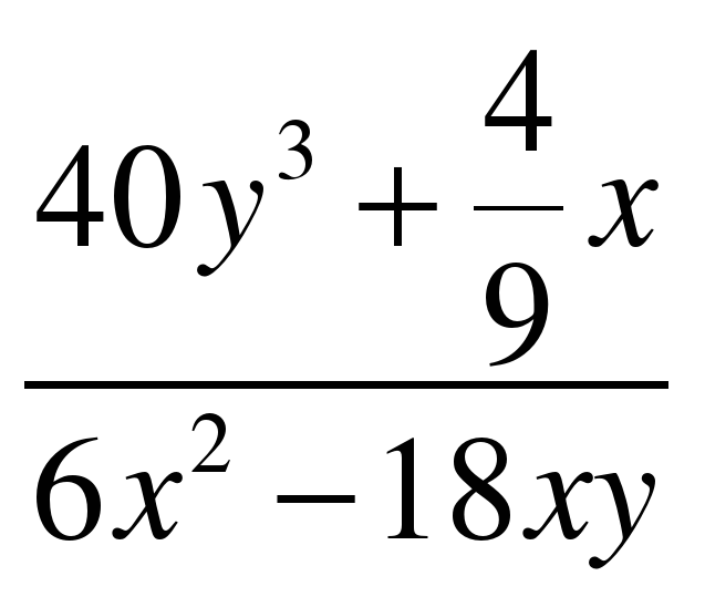
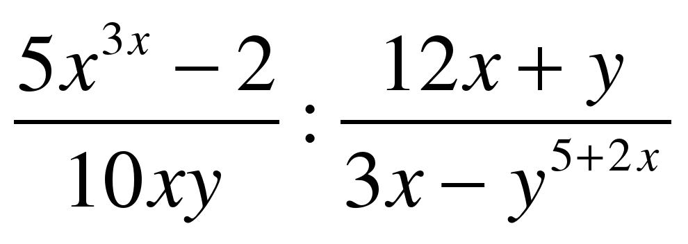
1)
; 2)
; 3)
;4)
;5)
№ 14
Записать в традиционной математической форме следующее формулы из электронной таблицы, предварительно ответив на вопрос: в какой последовательности будут выполняться математические операции?
1) C2+A5/3; 2) (C2+A5)/3; 3) C2/(A5+3); 4)A1*A2/D12*D3;
5) A1*A2/D12/D3
№ 15
Записать в традиционной математической форме следующее формулы из электронной таблицы, предварительно ответив на вопрос: в какой последовательности будут выполняться математические операции?
1) А1^(2+3*A2)/(А1+В2)*(14*В2)/25; 2) А1*А2/(D12*D3);
3)B2^2-D3^5; 4) C5*B5/A5^2+B2^2; 5) F4^3*A4.
Контрольные вопросы
Что такое ссылка в электронной таблице?
Что такое относительная адресация в формулах?
Что такое абсолютная адресация в формулах и как она обозначается?
Расскажите правила копирования формул.
Объясните на примерах результат копирования формулы, содержащей:
П
Л-10
Иванилова Т.С.