Меню
Разработки
Разработки  /  Информатика  /  Подготовка к ЕГЭ  /  11 класс  /  ЕГЭ. Решение задания С1 2013 год

ЕГЭ. Решение задания С1 2013 год

В данной презентации рассматривается пошаговое решение задания С1.
02.04.2013

Описание разработки

Презентация содержит 43 слайда с практическми заданиями.

Презентация Подготовка к ЕГЕ

В презентации подробно разобраны следующие задания:

1. Начертите на плоскости (x,y) область, в которой и только в которой истинно указанное выражение. Границу, не принадлежащую этой области, изобразите пунктиром.

2. Запишите логическое выражение, которое принимает значение "истина" тогда и только тогда, когда точка с координатами (x, y) принадлежит заштрихованной области. 

Содержимое разработки

Задание С1   (заполнение таблицы, доработка программы) ЕГЭ 11 класс Парфенова О.О, учитель информатики и ИКТ МАОУ «Гимназия №87» г. Саратов

Задание С1 (заполнение таблицы, доработка программы)

ЕГЭ 11 класс

Парфенова О.О,

учитель информатики и ИКТ

МАОУ «Гимназия №87» г. Саратов

На выполнение заданий части 1 и части 2 рекомендуется отводить 1,5 часа (90 минут). Остальное время рекомендуется отводить на выполнение заданий части 3. Максимальный балл за выполнение задания С1: 3 Примерное время выполнения задания : 30 минут Уровень сложности задания: Повышенный

На выполнение заданий части 1 и части 2 рекомендуется

отводить 1,5 часа (90 минут). Остальное время рекомендуется отводить на выполнение заданий части 3.

  • Максимальный балл за выполнение задания С1: 3
  • Примерное время выполнения задания : 30 минут
  • Уровень сложности задания: Повышенный
=0) б) (x=0) или (y в) x+y=0 г ) (x+y0) и (y " width="640"

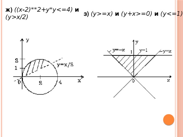
Начертите на плоскости ( x,y ) область, в которой и только в которой истинно указанное выражение. Границу, не принадлежащую этой области, изобразите пунктиром.

а) (x и (y=0)

б) (x=0) или (y

в) x+y=0

г ) (x+y0) и (y

=0) б) (x=0) или (y Ответ: Ответ: в) x+y=0 г ) (x+y0) и (y " width="640"

Начертите на плоскости ( x,y ) область, в которой и только в которой истинно указанное выражение. Границу, не принадлежащую этой области, изобразите пунктиром.

а) (x и (y=0)

б) (x=0) или (y

Ответ:

Ответ:

в) x+y=0

г ) (x+y0) и (y

=0) б) (x=0) или (y Ответ: Ответ: в) x+y=0 г ) (x+y0) и (y " width="640"

Начертите на плоскости ( x,y ) область, в которой и только в которой истинно указанное выражение. Границу, не принадлежащую этой области, изобразите пунктиром.

а) (x и (y=0)

б) (x=0) или (y

Ответ:

Ответ:

в) x+y=0

г ) (x+y0) и (y

x*x); е) (x**2+y**2 и (x**2+y**21); " width="640"

д ) (x*x+y*y и (yx*x);

е) (x**2+y**2 и (x**2+y**21);

x*x); е) (x**2+y**2 и (x**2+y**21); " width="640"

д ) (x*x+y*y и (yx*x);

е) (x**2+y**2 и (x**2+y**21);

x/2) з) (y=x) и (y+x=0) и (y " width="640"

ж) ((x-2)**2+y*y и (yx/2)

з) (y=x) и (y+x=0) и (y

x/2) з) (y=x) и (y+x=0) и (y " width="640"

ж) ((x-2)**2+y*y и (yx/2)

з) (y=x) и (y+x=0) и (y

Запишите логическое выражение, которое принимает значение

Запишите логическое выражение, которое принимает значение "истина" тогда и только тогда, когда точка с координатами ( x, y ) принадлежит заштрихованной области.

Запишите логическое выражение, которое принимает значение =x) и (y=-x) а) (y=1-x) и ((yили (x" width="640"

Запишите логическое выражение, которое принимает значение "истина" тогда и только тогда, когда точка с координатами ( x, y ) принадлежит заштрихованной области.

б) (yи (y=x) и (y=-x)

а) (y=1-x) и ((yили (x

=x-3); д ) (x=-3) and (x=5) and (x" width="640"

г) ((x-1)*(x-1)+y*yи (yи (y=x-3);

д ) (x=-3) and (x=5) and (x

=-3 then if x1 then write('не принадлежит') else write('принадлежит') end. " width="640"

Задание №1

Требовалось написать программу, при выполнении которой с клавиатуры считывается координата точки на прямой (x – действительное число) и определяется принадлежность этой точки одному из выделенных отрезков В и D (включая границы). Программист торопился и написал программу неправильно.

var x: real; begin readln(x); if x=-3 then if x1 then write('не принадлежит') else write('принадлежит') end.

1. Последовательно выполните следующее.  1 . Перерисуйте и заполните таблицу, которая показывает, как работает программа при аргументах, принадлежащих различным областям (A, B, C, D и E). Границы (точки –3, 1, 5 и 9) принадлежат заштрихованным областям (B и D соответственно).

1.

Последовательно выполните следующее. 1 . Перерисуйте и заполните таблицу, которая показывает, как работает программа при аргументах, принадлежащих различным областям (A, B, C, D и E). Границы (точки –3, 1, 5 и 9) принадлежат заштрихованным областям (B и D соответственно).

В столбцах условий укажите «Да», если условие выполнится; «Нет», если условие не выполнится; «—» (прочерк), если условие не будет проверяться; «не изв.», если программа ведет себя по-разному для разных значений, принадлежащих данной области. В столбце «Программа выведет» укажите, что программа выведет на экран. Если программа ничего не выводит, напишите «—» (прочерк). Если для разных значений, принадлежащих области, будут выведены разные тексты, напишите «не изв.». В последнем столбце укажите «Да» или «Нет».    2 . Укажите, как нужно доработать программу, чтобы не было случаев её неправильной работы. (Это можно сделать несколькими способами, достаточно указать любой способ доработки исходной программы.)

В столбцах условий укажите «Да», если условие выполнится; «Нет», если условие не выполнится; «—» (прочерк), если условие не будет проверяться; «не изв.», если программа ведет себя по-разному для разных значений, принадлежащих данной области. В столбце «Программа выведет» укажите, что программа выведет на экран. Если программа ничего не выводит, напишите «—» (прочерк). Если для разных значений, принадлежащих области, будут выведены разные тексты, напишите «не изв.». В последнем столбце укажите «Да» или «Нет».

2 . Укажите, как нужно доработать программу, чтобы не было случаев её неправильной работы. (Это можно сделать несколькими способами, достаточно указать любой способ доработки исходной программы.)

нет да да да да

нет

да

да

да

да

- - - нет да да да да

-

-

-

нет

да

да

да

да

- - - нет да да да да да да да нет

-

-

-

нет

да

да

да

да

да

да

да

нет

- - - нет да да да да да да - - да нет

-

-

-

нет

да

да

да

да

да

да

-

-

да

нет

- - - нет нет да да да да да да - - да нет

-

-

-

нет

нет

да

да

да

да

да

да

-

-

да

нет

- - - нет нет да да да да да да да да - - да нет

-

-

-

нет

нет

да

да

да

да

да

да

да

да

-

-

да

нет

=-3 then if x1 then write ('не принадлежит') else write ('принадлежит') end. " width="640"

var x: real; begin readln(x); if x=-3 then if x1 then write ('не принадлежит') else write ('принадлежит') end.

=-3 then if x1 then write ('не принадлежит') else write ('принадлежит') end. принадлежит не принадлежит не принадлежит " width="640"

var x: real; begin readln(x); if x=-3 then if x1 then write ('не принадлежит') else write ('принадлежит') end.

принадлежит

не принадлежит

не принадлежит

=-3 then if x1 then write ('не принадлежит') else write ('принадлежит') end. принадлежит не принадлежит не принадлежит " width="640"

var x: real; begin readln(x); if x=-3 then if x1 then write ('не принадлежит') else write ('принадлежит') end.

принадлежит

не принадлежит

не принадлежит

=-3 then if x1 then write ('не принадлежит') else write ('принадлежит') end. НЕТ принадлежит не принадлежит не принадлежит НЕТ " width="640"

var x: real; begin readln(x); if x=-3 then if x1 then write ('не принадлежит') else write ('принадлежит') end.

НЕТ

принадлежит

не принадлежит

не принадлежит

НЕТ

=-3 then if x1 then write ('не принадлежит') else write ('принадлежит') end. НЕТ принадлежит ДА не принадлежит не принадлежит НЕТ " width="640"

var x: real; begin readln(x); if x=-3 then if x1 then write ('не принадлежит') else write ('принадлежит') end.

НЕТ

принадлежит

ДА

не принадлежит

не принадлежит

НЕТ

=-3 then if x1 then write ('не принадлежит') else write ('принадлежит') end. НЕТ принадлежит ДА не принадлежит ДА не принадлежит НЕТ " width="640"

var x: real; begin readln(x); if x=-3 then if x1 then write ('не принадлежит') else write ('принадлежит') end.

НЕТ

принадлежит

ДА

не принадлежит

ДА

не принадлежит

НЕТ

=-3 then if x1 then write ('не принадлежит') else write ('принадлежит') end. НЕТ принадлежит ДА не принадлежит ДА не принадлежит НЕТ НЕТ " width="640"

var x: real; begin readln(x); if x=-3 then if x1 then write ('не принадлежит') else write ('принадлежит') end.

НЕТ

принадлежит

ДА

не принадлежит

ДА

не принадлежит

НЕТ

НЕТ

=-3) and (x=5) and (x" width="640"

Возможная доработка (Паскаль): if (x=-3) and (x=5) and (x

Задание №2

Задание №2

Задание №3 var x, у: real;  begin  readln(x,y);  if x*x + y*y = 16 then  write{'принадлежит')  else  write{'не принадлежит')  end.

Задание №3

var x, у: real; begin readln(x,y); if x*x + y*y = 16 then write{'принадлежит') else write{'не принадлежит') end.

да да да нет

да

да

да

нет

да нет нет да да да нет

да

нет

нет

да

да

да

нет

var x, у: real;  begin  readln(x,y);  if x*x + y*y = 16 then  write{'принадлежит')  else  write{'не принадлежит')  end. Не принадлежит нет да нет да Не принадлежит да да принадлежит нет нет

var x, у: real; begin readln(x,y); if x*x + y*y = 16 then write{'принадлежит') else write{'не принадлежит') end.

Не принадлежит

нет

да

нет

да

Не принадлежит

да

да

принадлежит

нет

нет

var x, у: real;  begin  readln(x,y);  if x*x + y*y = 16 then  write{'принадлежит')  else  write{'не принадлежит')  end. да нет нет Не принадлежит нет Не принадлежит да да да да принадлежит да нет нет

var x, у: real; begin readln(x,y); if x*x + y*y = 16 then write{'принадлежит') else write{'не принадлежит') end.

да

нет

нет

Не принадлежит

нет

Не принадлежит

да

да

да

да

принадлежит

да

нет

нет

= 16) and (х*х+у*у " width="640"

Возможная доработка (Паскаль): if (х*х+у*у = 16) and (х*х+у*у

Источники http://kpolyakov.narod.ru/school/ege.htm http://inf.reshuege.ru http://www.videouroki.net/ Тренировочные и диагностические  работы МИОО

Источники

http://kpolyakov.narod.ru/school/ege.htm

http://inf.reshuege.ru

http://www.videouroki.net/

Тренировочные и диагностические

работы МИОО

-80%
Курсы дополнительного образования

Создание динамических веб-страниц с помощью PHP и MySQL

Продолжительность 72 часа
Документ: Cвидетельство о прохождении курса
4000 руб.
800 руб.
Подробнее
Скачать разработку
Сохранить у себя:
ЕГЭ. Решение задания С1 2013 год (0.76 MB)

Комментарии 1

Чтобы добавить комментарий зарегистрируйтесь или на сайт

Лебель Н.Н., 04.04.2013 12:04
Огромное СПАСИБО!!!
Пользовательское соглашение Политика обработки персональных данных Политика использования файлов cookie
Учителю!
Огромная база учебных материалов на каждый урок с возможностью удаленного управления
Тесты, видеоуроки, электронные тетради