| 7А сыныбы | Мұғалімі Баймишева Баян. | |||||||||||||||||||||||||||||||||||||
| 17.11.2016 | Тақырыбы:Арифметикалық өрнектерді жазу.Практикалық жұмыс. | |||||||||||||||||||||||||||||||||||||
| Мақсаты | Оқушыларға арифметикалық өрнектерді есепте пайдалануды үйрету. Өрнектің неден құралатының және оның құрылысын бір-бірінен ажыратуды үйрету. div және mod айнымалыларын қолдануды үйрету.
| |||||||||||||||||||||||||||||||||||||
| Әдіс-тәсілі | Топтық жұмыс,жеке жұмыс, «Раунд-Робин» әдісі.
| |||||||||||||||||||||||||||||||||||||
| Нәтижесі | Арифметикалық өрнектерді өз беттерімен қолданады, оларды бір-бірінен ажырата алады және div, modайнымалыларының мүмкіндігін қолдана біледі. | |||||||||||||||||||||||||||||||||||||
| І.Ұйымдастыру кезеңі. | Психологиялық тренинг. «тілек айту». (2 минут) Сабақтың тақырыбын, мақсатын түсіндіру . Бағалау парағын тарату | |||||||||||||||||||||||||||||||||||||
| ІІ. Топқа бөлу. | Суреттер арқылы топқа бөлу: (2 минут) 1топ:Компьютер 2 топ: Ноутбук
| |||||||||||||||||||||||||||||||||||||
| ІІІ.Үй тапсырмасын сұрау | «Раунд-Робин» әдісі | 2 топқа 1 ғана плакат беріледі.Плакатқа 2топ та не білетінін жазады.Әр топ өзіне берілген 1 түсті маркермен жазады..Әр топқа 2 минуттан уақыт беріледі. Бағалау: 2 жұлдыз,1 тілек. (6 минут)
| ||||||||||||||||||||||||||||||||||||
| ІІІ. Жаңа сабақ | Тақырыбы: Арифметикалық өрнектерді жазу.Практикалық жұмыс. | Өрнек деп арифметикалық амал таңбаларымен біріктірілген айнымалылардың, функциялардың, тұрақтылардың жиынтығын айтады. Қарапайым жағдайда өрнек тек айнымалылардан, тұрақтылардан немесе функциялардан тұруы мүмкін. Алгоритмдік тілде де, Паскаль тілінде де арифметикалық амалдардың амалдарының орындалу тәртібі олардың математикада орындалу тәртібіне сәйкес келеді, яғни алдымен жақша ішіндегі амалдар, сонан соң көбейту, бөлу, қосу, азауту амалдары орындалады.
| ||||||||||||||||||||||||||||||||||||
|
ІV.Жеке жұмыс. |
Тақырып бойынша тапсырма орындау | 1.11 div 5=? 2.123 div 4=? 3 10 div 3=? 4. 17 div 5=? 5. 20div 3=?
|
1.10 mod 3= ? 2. 14 mod 5= ? 3. 17mod 5= ? 4.22 mod 5= ? 5. 33 mod 16= ?
Әр есепке 1 ұпайдан (5 минут)
| |||||||||||||||||||||||||||||||||||
|
V.Топпен жұмыс. | . «Сен маған,мен-саған» ойыны. | Оқушылар қағаздан ұшақ жасап,ішіне 3 сұрақ жазып,қарсы топқа ұшырады. (5 минут)
| ||||||||||||||||||||||||||||||||||||
|
VІ. Сергіту сәті. |
«Білім жәрмеңкесі» ойыны. |
Сұрақ-жауап |
1.Блокнот-Пиксель дегеніміз не? 2.Штрих-Жад дегеніміз не? 3.Желім-Ақпараттың қандай түрлерін білесің? 4.Сызғыш-Вирус деген не?Оған қарсы программа. 5.Өшіргіш-Алгоритмнің неше түрі бар? 6.Ручка-Принтер деген не? (5 минут) | |||||||||||||||||||||||||||||||||||
|
VІІ.Оқулықпен жұмыс. |
Тест |
Оқушылар оқулықтағы 77-беттегі Тестті орындайды.
Әр қайсысына 1 ұпайдан. (5 минут) | ||||||||||||||||||||||||||||||||||||
|
VІІ.Компьютермен жұмыс. |
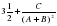
Pascal бағдарламасында арифметикалық өрнектерді жазады. 1. 2х4-3х3 +4х2 -5х+6; 2) 3) 4) 20(17,5+2,3-5,6); (5 минут) 5) | |||||||||||||||||||||||||||||||||||||
|
VІІІ.Бағалау. |
Бағалау парағы. Күні: ___.11.2016ж. Менің атым_____________________________________
Бүгінгі сабақта _____________________________________ _________________________________________________________________________________________________________________________________________________________
| |||||||||||||||||||||||||||||||||||||
|
ІХ.Рефлексия |
Оқушылар бүгінгі сабақ туралы өз ойларын жеткізеді. | |||||||||||||||||||||||||||||||||||||


;
Әр есепке 1 ұпайдан.
Арифметикалық өрнектерді жазу (23.65 KB)

