Часто при решении примеров удобно раскрыть скобки в выражении, нежели подсчитывать их значения. Сегодня на уроке мы рассмотрим, как правильно раскрывать скобки.
Итак, рассмотрим случаи, когда перед скобками стоит знак «+». Для этого воспользуемся хорошо известным для вас сочетательным свойством сложения:
Если к числу нужно прибавить сумму двух чисел, то можно сначала к этому числу прибавить первое слагаемое, а затем второе.

Обратите внимание, на экране записано два выражения соединённых знаком равенства. Вот только левая часть равенства содержит скобки, а правая – без скобок. Говорят, что при переходе от левой части равенства к правой произошло раскрытие скобок.
Рассмотрим ещё одно выражение:

Как вы думаете, можно ли его преобразовать в выражение без скобок?
Можно. Вы знаете, что вычитание можно заменить сложением. Так и поступим, заменим в этом выражении вычитание сложением.

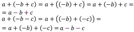
И давайте попробуем преобразовать ещё два выражения со скобками:

Опустим все промежуточные рассуждения и приравняем начальные и конечные части равенств.

Обратите внимание, перед каждой из скобок стоит знак «+».
Сделаем вывод:
Если перед скобками стоит знак «+», то можно опустить скобки и этот знак «+», сохранив знаки слагаемых, стоящих в скобках.
Если первое слагаемое в скобках записано без знака, то его надо записать со знаком «+».
Задание
Раскройте скобки и найдите значения выражений.

Мы разобрали случаи, когда перед скобками стоит знак
«+». А как же поступить, если перед скобками
стоит знак «
».
Давайте рассмотрим выражение: – (2 + 3).
Найти значение этого выражения можно, сложив 2 и 3, а затем взять полученное число с противоположным знаком.

Тот же самый результат можно получить и другим способом. Для этого мы сложим числа противоположные исходным.

Сформулируем правило:
Если перед скобками стоит знак «–», то скобки и этот знак «минус» можно убрать, а знаки перед числами внутри скобок изменить на противоположные.
Например, раскроем скобки в выражениях.

Задание
Раскройте скобки и найдите значения выражений.

Для раскрытия скобок в выражениях, содержащих умножение числа на сумму, используется распределительное свойство умножения:

По правилам умножения рациональных чисел, если a > 0, то знаки слагаемых b и c не изменятся, а если a <0, то изменятся на противоположные.
Например

Итоги
Если перед скобками стоит знак «+», то можно опустить скобки и этот знак «+», сохранив знаки слагаемых, стоящих в скобках.
Если первое слагаемое в скобках записано без знака, то его надо записать со знаком «+».
Если перед скобками стоит знак «–», то скобки и этот знак «минус» можно убрать, а знаки перед числами внутри скобок изменить на противоположные.







крутоооооо