ВПР 2021 по математике для 6 класса (1 вариант)
Иванов Никита Георгиевич
15.11.2021.
Тест. Математика, 6 класс
ВПР 2021 по математике для 6 класса. На выполнение работы по математике даётся 60 минут. Работа содержит 13 заданий.
Система оценки:
5 балльная
Список вопросов теста
Вопрос 1

Вопрос 2

Варианты ответов
-
\(\frac{4}{9}\)
-
\(\frac{3}{9}\)
-
\(\frac{2}{8}\)
-
\(\frac{2}{4}\)
-
\(\frac{5}{9}\)
Вопрос 3

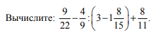
Вопрос 4

Вопрос 5

Вопрос 6

Вопрос 7

Вопрос 8

1.
А)
2.
Б)
3.
В)
Варианты ответов
- 2)
- 5)
- 3)
Вопрос 9

Варианты ответов
-
\(\frac{1}{6}\)
-
\(\frac{2}{6}\)
-
\(\frac{3}{6}\)
-
\(\frac{4}{6}\)
-
\(\frac{5}{6}\)
-
\(\frac{2}{7}\)
-
\(\frac{3}{7}\)
-
\(\frac{4}{7}\)
Вопрос 10

Вопрос 11

Вопрос 12

Получите комплекты видеоуроков + онлайн версии
Пройти тест
Сохранить у себя:
Тесты по математике 6 класс
0
994
Нравится
0


