Тест по теме: "Механические колебания"
Список вопросов теста
Вопрос 1
Что называют механическими колебаниями?
Варианты ответов
- Любое движение тела
- Движение под действием периодической силы
- Повторяющееся во времени движение около положения равновесия
- Движение по окружности
Вопрос 2
Период колебаний - это:
Варианты ответов
- Количество колебаний в единицу времени
- Время одного полного колебания
- Максимальное смещение от равновесия
- Сила, действующая на тело
Вопрос 3
Частота колебаний измеряется в:
Варианты ответов
- Н
- Дж
- Па
- Гц
Вопрос 4
Амплитуда - это:
Варианты ответов
- Максимальное отклонение от положения равновесия
- Скорость колебаний
- Время одного колебания
- Минимальное смещение
Вопрос 5
Формула периода математического маятника:

Варианты ответов
- A
- B
- C
- D
Вопрос 6
Частота колебаний равна 4 Гц. Найдите период.
Варианты ответов
- 0,25 с
- 4 с
- 0,5 с
- 0,1 с
Вопрос 7
Длина маятника увеличилась в 9 раз. Период:
Варианты ответов
- уменьшится в 9 раз
- уменьшится в 3 раза
- увеличится в 3 раза
- увеличится в 9 раз
Вопрос 8
Какие колебания называют свободными?
Варианты ответов
- Возникают только под действием внешней силы
- Происходят после выведения системы из равновесия, без внешних сил
- Всегда затухающие
- Колебания, поддерживаемые двигателем
Вопрос 9
Укажите пример гармонического колебания:
Варианты ответов
- Прыжки на батуте
- Колебания груза на пружине без трения
- Движение автомобиля
- Колебания маятника с сопротивлением воздуха
Вопрос 10
Закон гармонических колебаний имеет вид:

Варианты ответов
- A
- B
- C
- D
Вопрос 11
Найти период колебаний: m = 1 кг, k = 100 Н/м
Формула:

Варианты ответов
- 2 с
- 0,2 с
- 0,628 с
- 3,14 с
Вопрос 12
Тело делает 30 колебаний за 15 секунд. Найдите частоту.
Варианты ответов
- 0,5 Гц
- 2 Гц
- 4 Гц
- 15 Гц
Вопрос 13
Какие колебания называют затухающими?
Варианты ответов
- Колебания, не изменяющиеся со временем
- Колебания, амплитуда которых со временем уменьшается
- Колебания, поддерживаемые внешним источником энергии
- Колебания с постоянной амплитудой
Вопрос 14
Что является причиной затухания колебаний?
Варианты ответов
- Увеличение частоты
- Уменьшение периода
- Действие сопротивления среды
- Изменение длины маятника
Вопрос 15
Вынужденные колебания возникают, когда:
Варианты ответов
- Система совершает свободные колебания
- Амплитуда уменьшается
- Период увеличивается
- На систему действует внешняя периодическая сила
Вопрос 16
Резонанс - это:
Варианты ответов
- Падение амплитуды
- Резкое увеличение амплитуды при совпадении частот
- Уменьшение периода при уменьшении длины
- Полное прекращение колебаний
Вопрос 17
Какая величина НЕ влияет на период математического маятника?
Варианты ответов
- Длина нити
- Ускорение свободного падения
- Масса груза
- Угол отклонения (малый)
Вопрос 18
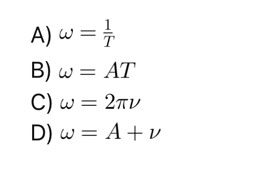
Формула циклической частоты (ω) для гармонического колебания:
Варианты ответов
- A
- B
- C
- D
Вопрос 19
Амплитуда увеличилась в 2 раза. Как изменится период?
Варианты ответов
- Увеличится в 2 раза
- Уменьшится в 2 раза
- Не изменится
- Увеличится в 4 раза
Вопрос 20
Пружинный маятник имеет жёсткость пружины k = 200 Н/м и массу груза m = 0,5 кг. Найдите период:
Варианты ответов
- 0,314 с
- 0,5 с
- 6,28 с
- 0,1 с


