ТЕстовый
Список вопросов теста
Вопрос 1
Решите неравенство:
а)
1.
\(x\in\left(30;+\infty\right)\)
2.
\(x\ \in\left[\frac{1}{3};\ +\infty\right)\)
3.
\(x\in\left(5,8;\ +\infty\right)\)
Варианты ответов
- а
- б
- в
Вопрос 2
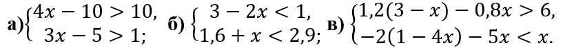
Решите систему неравенств:

1.
\(x\in\left(1;\ 1,3\right)\)
2.
\(x\ \in\left(5;\ +\infty\right)\)
3.
\(x\in\left(-\infty;\ 1,2\right)\)
Варианты ответов
- б
- а
- в
Вопрос 3
При каких значениях x имеет смысл выражение
\(\sqrt{3x-2}+\sqrt{6-x}\)?
Варианты ответов
-
\(x\in\left[\frac{2}{3};\ 6\right]\)
-
\(x\in\left(\frac{2}{3};\ 6\right)\)
-
\(x\in\left[\frac{2}{3};\ +\infty\right)\)
Вопрос 4
Найдите целые решения системы неравенств



