Решение уравнений 1 и 2 степени
Роман Кристина Викторовна
11.11.2024.
Тест. Математика, Прочее
Тестирование ограниченно по времени. Внимательно читайте и выполняйте задания!
Система оценки:
5* балльная
Список вопросов теста
Вопрос 1
Решите уравнение: 5х(2х+1)=0.
Варианты ответов
- 0
- -0,5
- 0,5
Вопрос 2
Решите уравнение: 100х2-25=0
Варианты ответов
- 1/2
- -1/2
- 4
- -4
Вопрос 3
Решите уравнение: х2 – 9 х + 18 =0
Варианты ответов
- 3
- 6
- нет решений
- -3
- -6
Вопрос 4
Решить уравнение: х2 + х =0
Варианты ответов
- 0
- -1
- 1
Вопрос 5
Решите уравнение: 6(2 - х2) = 7(3 – х2) – 9
В ответ вписать ЧИСЛО без пробелов
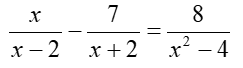
Вопрос 6
Решите уравнение:

Варианты ответов
- 1
- 5
- 0
- -1
- -5
Вопрос 7
Решите уравнение:

В ответ запишите ЧИСЛО без пробелов
Получите комплекты видеоуроков + онлайн версии
Пройти тест
Сохранить у себя:
Тесты по математике Прочее
0
209
Нравится
0


