Решение систем линейных уравнений
Список вопросов теста
Вопрос 1
Дополните:
Пара значений переменных, обращающая каждое уравнение системы в верное равенство, называется ...
В ответ запишите только слова через пробел без запятых. Например: корень уравнения
Вопрос 2
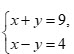
Является ли пара чисел x =7, y = 2 решением данной системы уравнений?

Варианты ответов
- Является
- Не является
Вопрос 3
Дополните:
Графиком линейного уравнения с двумя переменными является ...
В ответ запишите только слово. Например: круг
Вопрос 4
Сопоставьте:
1.
система имеет бесконечно много решений
2.
система имеет единственное решение
3.
система не имеет решений
Варианты ответов
- Если прямые пересекаются, то ...
- Если прямые параллельны, то ...
- Если прямые совпадают, то ...
Вопрос 5
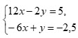
Сколько решений имеет данная система?

Варианты ответов
- Система имеет единственное решение
- Система имеет два решения
- Система имеет бесконечно много решений
- Система не имеет решений
Вопрос 6
Дополните:
Системы уравнений с двумя переменными, которые имеют одни и те же решения, называются ...
В ответ запишите только слово. Например: линейными
Вопрос 7
Являются ли системы уравнений, которые не имеют решений, равносильными?
Варианты ответов
- Являются
- Не являются
Вопрос 8
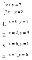
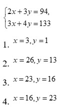
Решите данную систему уравнений?

Варианты ответов
- 1
- 2
- 3
- 4
Вопрос 9
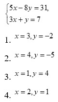
Решите данную систему уравнений?

Варианты ответов
- 1
- 2
- 3
- 4
Вопрос 10
Решите данную систему уравнений?

Варианты ответов
- 1
- 2
- 3
- 4



Выполнить тест