Различные виды уравнений прямой на плоскости
Носова Оксана Васильевна
11.11.2020.
Тест. Математика, Прочее
Тест по теме "Различные виды уравнений прямой на плоскости"
Система оценки:
5* балльная
Список вопросов теста
Вопрос 1
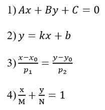
Выберите общее уравнение прямой на плоскости.


Варианты ответов
- 1
- 2
- 3
- 4
Вопрос 2
Выберите верное утверждение, если y=3x+1.

Варианты ответов
- Угол угол между положительным направлением оси ОХ и данной прямой острый.
- Угловой коэффициент k=1.
- Ордината точки пересечения прямой с осью OY равна 3.
Вопрос 3

1.
Пересечение
2.
Параллельность
3.
Совпадение
Варианты ответов
- А
- Б
- В
Вопрос 4
Чему равен угловой коэффициент прямой, заданной уравнением

Варианты ответов
- 1,5
- - 2
- 3
- - 1,5
Вопрос 5
Вектор, который параллелен прямой, называется…

Варианты ответов
- ортогональным вектором данной прямой.
- направляющим вектором данной прямой.
- нормирующим вектором данной прямой.
Вопрос 6
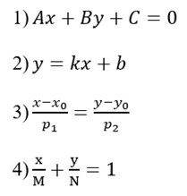
Выберите каноническое уравнение прямой


Варианты ответов
- 1
- 2
- 3
- 4
Вопрос 7
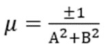
Как называется множитель
?
Варианты ответов
- Канонический множитель
- Показательный множитель
- Нормирующий множитель
Вопрос 8
По какой формуле можно найти тангенс угла

Варианты ответов
- 1
- 2
- 3
- 4
Вопрос 9
Составить уравнение прямой по точке М(1; 2) и направляющему вектору

Варианты ответов
- х – 2у + 3 = 0
- 2х + у + 1 = 0
- -х + 2у – 7 = 0
Получите комплекты видеоуроков + онлайн версии
Пройти тест
Сохранить у себя:
Тесты по математике Прочее
0
953
Нравится
0


