Рациональные неравенства
Список вопросов теста
Вопрос 1
Выберите целые неравенства
Варианты ответов
Вопрос 2
Выберите дробно-рациональные неравенства
Варианты ответов
Вопрос 3
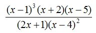
Какой из корней многочлена будет корнем 1-й степени кратности:

Варианты ответов
- -5
- -1
- 3
Вопрос 4
При решении неравенства получили следующие промежутки, на которых функция принимает значения одного знака (см. рисунок). Укажите промежутки, которые будут решениями неравенства f(x)>0:
Варианты ответов
-

-

-
(-1;2)
-
(2;3)
Вопрос 5
Укажите те корни числителя и знаменателя, степень кратности которых не равна 1.

Варианты ответов
- -2
- -0.5
- 1
- 4
- 5
Вопрос 6
При решении неравенства получили следующие промежутки, на которых функция принимает значения одного знака (см. рисунок). Укажите промежутки, которые будут решениями неравенства f(x)<0:
Варианты ответов
Вопрос 7
Укажите те корни числителя и знаменателя, степень кратности которых нечетная.

Варианты ответов
- -2
- -0.5
- 1
- 4
- 5
Вопрос 8
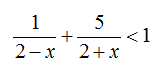
Укажите наибольшее отрицательное целое число, которое является решением неравенства
.
Вопрос 9
Найдите сумму наибольшего целого отрицательного и наименьшего целого положительного решений неравенства:
.
Вопрос 10
При решении неравенства получили следующие промежутки, на которых функция принимает значения одного знака (см. рисунок). Укажите промежутки, которые будут решениями неравенства:
















