Производная степенной функции
Автор скрыт
17.02.2020.
Тест. Алгебра, 11 класс
Будьте внимательны! У Вас есть 10 минут на прохождение теста. Система оценивания - 5 балльная. Разбалловка теста - 3,4,5 баллов, в зависимости от сложности вопроса. Порядок заданий и вариантов ответов в тесте случайный. С допущенными ошибками и верными ответами можно будет ознакомиться после прохождения теста. Удачи!
Система оценки:
5 балльная
Список вопросов теста
Вопрос 1
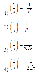
Выберите верную формулу.

Варианты ответов
- 1
- 2
- 3
- 4
- 5
Вопрос 2
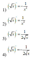
Выберите верную формулу.

Варианты ответов
- 1
- 2
- 3
- 4
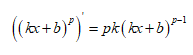
Вопрос 3
Выберите верную формулу.

Варианты ответов
- 1
- 2
- 3
Вопрос 4
Верно ли записана данная формула?

Варианты ответов
- Верно
- Неверно
Вопрос 5
Сопоставьте функции и их производные.
1.
f(x) = x
2.
f(x) = x2
3.
f(x) = x4
Варианты ответов
Вопрос 6
Найдите производную функции f(x) = x15.

Варианты ответов
- 1
- 2
- 3
- 4
Вопрос 7
Найдите производную функции f(x) = (5x - 1)3.

Варианты ответов
- 1
- 2
- 3
- 4
Вопрос 8
Найдите f '(2), если f(x) = x5.
Вопрос 9
Найдите f '(4), если f(x) = (3x - 10)5.
Вопрос 10
При каких значениях x производная функции f(x) = (2x - 1)2 равна 12?
Получите комплекты видеоуроков + онлайн версии
Пройти тест
Сохранить у себя:
Тесты по алгебре 11 класс
0
4492
Нравится
0





