Преобразование выражений, содержащих радикалы
Список вопросов теста
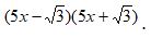
Вопрос 1
Выполнить действия
Варианты ответов
Вопрос 2
После внесения множителя под знак корня подкоренным числом будет число ______
Вопрос 3
После внесения множителя под знак корня подкоренным числом будет число ______. Ответ запишите в виде обыкновенной дроби, разделяя числитель и знаменатель символом "/".
Вопрос 4
Вынести множитель из-под знака корня . В ответ запишите только получившееся подкоренное число.
Вопрос 5
После вынесения множителя из-под знака корня, учитывая, что , выражение примет вид:
Варианты ответов
Вопрос 6
После упрощения выражение примет вид:
Варианты ответов
Вопрос 7
Вынести множитель из-под знака корня . В ответ запишите только получившееся подкоренное выражение. Переменную введите латинской прописной буквой.
Вопрос 8
Внесите множитель под знак корня . В ответ запишите только подкоренное число.
Вопрос 9
Модуль значения выражения равен ________
Вопрос 10
Преобразовать выражение к виду
. В ответ запишите чему равно основание степени числа . Ответ запишите в виде десятичной дроби, разделяя целую часть от дробной запятой.


