Прямая пропорциональность и её график
Список вопросов теста
Вопрос 1
Дополните:
Функция, которую можно задать формулой y = kx, где x - независимая переменная, а k - некоторое число не равное нулю, называется...
В ответ запишите только слова через пробел без запятых. Например: обратной пропорциональностью
Вопрос 2
Дополните:
Графиком прямой пропорциональности y = kx является ..., проходящая через начало координат.
В ответ запишите только слово. Например: окружность
Вопрос 3
Сопоставьте:
1.
расположен в первой и третьей четвертях
2.
расположен во второй и четвёртой четвертях
Варианты ответов
- При k > 0 график прямой пропорциональности...
- При k < 0 график прямой пропорциональности...
Вопрос 4
Принадлежит ли графику функции y = 2,5x точка А(3; 7,5)?
Варианты ответов
- Принадлежит
- Не принадлежит
Вопрос 5
Прямая пропорциональность задана формулой y = 0,5x. Чему равно значение y, соответствующее x, равному -9?
Варианты ответов
- 18
- -18
- 4,5
- -4,5
Вопрос 6
Прямая пропорциональность задана формулой y = 10x. Чему равно значение x, соответствующее y, равному 0,1?
Варианты ответов
- 0,01
- 0,1
- 10
- 0,001
Вопрос 7
Отметьте точки, которые принадлежат графику функции y = -3,3x.
Варианты ответов
- A(0; 0)
- B(1; 3,3)
- C(10; 33)
- D(5; -16,5)
Вопрос 8
С помощью графика найдите значение x, соответствующее y, равному -2.

Варианты ответов
- 0
- 1
- -1
- -2
Вопрос 9
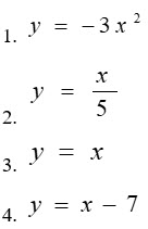
Отметьте функции, которые являются прямой пропорциональностью.

Варианты ответов
- 1
- 2
- 3
- 4
Вопрос 10
Верно ли, что площадь квадрата и его сторона прямо пропорциональны?
Варианты ответов
- Верно
- Неверно


